泽兰 Zelang
http://www.100md.com
浙江中医学院
本品为较常用中药。商品主要为唇形科植物地笋和毛叶地笋的干燥地上部分。部分地区用菊科佩兰属多种植物的地上部分。
泽兰始载于《神农本草经》,列为中品。历代本草书常将本品与《神农本草经》上品的兰草(即今之佩兰)混淆,至李时珍时始将其明确分为二物(见佩兰项下)。《唐本草》载:"泽兰茎方节紫色,叶似兰草而不香"。《图经本草》载:"……根紫黑色如粟根,二月生苗,高二、三尺,茎干青紫色,作四棱,叶生相对,如薄荷,微香,七月开花,带紫白色,萼通紫色,亦似薄荷花……"。由其描述考之,即为今之唇形科植物地笋Lycopus lucidus Turcz.及其变种毛叶地笋var.hirtus Regel。故认为古今所用泽兰,种类基本一致。
, http://www.100md.com
1. 地笋 别名:地瓜儿苗(通称),提娄(河北),地参(云南)。
Lycopus lucidus Turcz.-唇形科 Labiatae
多年生草本。高可达1m余。根茎横走,稍肥大,呈圆柱形,浅黄白色,具节,节上具鳞叶及须根。茎直立,通常不分枝,四棱形,节上常带紫红色,无毛或在节上有毛丛。叶交互对生,具极短柄或近于无柄;叶片长圆状披针形,多少弧弯,长4~10cm,宽1~3cm,先端长锐尖或渐尖,基部楔形,边缘具锐尖粗牙齿状锯齿,上面无毛,略有光泽,下面具凹陷的腺点,无毛或脉上疏生白色柔毛。轮伞花序腋生,无梗,多花密集,其下承以小苞片,小苞片卵圆形至披针形,先端刺尖,位于外方者超过花萼,具3脉,位于内方者短于或等于花萼 ,具1脉,边缘有毛;花萼钟形,长约4mm,先端5齿裂,具刺尖头,边缘有毛;花冠钟形,白色,稍露出于花萼,长4.5~5mm,外面在冠檐上具腺点,内面在喉部具白色短柔毛,冠檐不明显二唇形,上唇近圆形,下唇3裂,中裂片较大;前对雄蕊能育,超出于花冠,药室略叉开,后对雄蕊退化,先端棍棒状;子房长圆形,4深裂,着生于花盘上,花柱伸出于花冠外,柱头2裂。小坚果扁平,长1~1.5mm,暗褐色。花期6~9月,果期8~10月。
, 百拇医药
生于沼泽地、山野低洼地沟边潮湿处、溪流沿岸的灌木丛或高大草丛中。亦有少量栽培。
分布于黑龙江、吉林、辽宁、河北、陕西、四川、贵州、云南等省。
2. 毛叶地笋 别名:地瓜儿苗(《植物名实图考》,河北),行叶地瓜儿苗(通称),矮地瓜儿苗(吉林),地环、地喇叭(河北),地石蚕(陕西),地罗子(山西),地牛七、山螺丝(湖北),竹节草、水香(江苏),野生地(福建),假油麻、地王草(广东),观音笋(江西),麻泽兰(贵州),地笋子(四川),银条菜(湖南)。
, 百拇医药
Lycopus lucidus Turcz. var.hirtus Regel-唇形科 Labiatae
本变种与正种不同在于茎棱上被向上小硬毛,节上密集硬毛;叶披针形,暗绿色,两端渐尖,上面密被细刚毛状硬毛,下面主要在肋及脉上被刚毛状硬毛,边缘具锐齿,并有缘毛。
生于沼泽地、水边等潮湿处。亦见有栽培。
, 百拇医药
分布于黑龙江、吉林、辽宁、内蒙古、河北、山西、山东、江苏、浙江、江西、安徽、福建、台湾、湖南、湖北、、广东、广西、、陕西、甘肃、贵州、四川、云南等省区。
于夏、秋间茎叶生长茂盛时采收,割取地上部分,去净泥沙,晒干(以阴干为好)。或拣去杂质,除去残根,喷水稍润,切段晒干。
泽兰Herba Lycopi全国大部地区均产,多系自产自销。
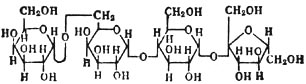
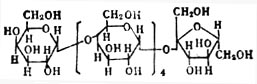
1. 地笋全草含挥发油、葡萄糖甙、鞣质和树脂,还含黄酮甙、酚类、氨基酸、有机酸、皂甙,葡萄糖、泽兰糖(Lycpose)、蔗糖、棉子糖(Raffinose)及水苏糖(Stachyose)。本文作者测定其地上部分挥发油含量为0.2~0.4%,油的折光率n20D1.4701,比重d20200.9516。
, 百拇医药
2. 毛叶地笋全草含挥发油和鞣质。作者测定其含量为0.2%,比重d20200.8814,折光率n20D1.4792。
水苏糖
泽兰糖
性状鉴别
1. 地笋 茎呈方柱形,四面均有浅纵沟,长50~100cm,直径2~5mm;表面黄绿色或稍带紫色,节明显,节间长2~11cm;质脆,易折断,髓部中空。叶对生,多皱缩,展开后呈披针形或长圆形,边缘有锯齿,上面黄绿色或灰绿色,下表面有棕色腺点。花簇生于叶腋成轮状,花冠多脱落,苞片及花萼宿存。气无,味淡。
2. 毛叶地笋 与地笋的不同点:茎有白色毛茸,节处较密集。叶两面的脉上均有刚毛。
以质嫩、叶多,色绿者为佳。
显微鉴别
1.地笋
叶表面观:上表皮细胞壁较平直,有少量腺毛,毛茸基部的表皮细胞放射状排列,隐现波状层纹,非腺毛由1~3(~5)细胞组成,表面隐现疣状突起,长75~360μm,叶脉上的毛长可达520μm,基部细胞较宽,直径32~80μm,并有少数腺毛,腺头由1~2个细胞组成,直径16~28μm,单细胞柄。下表皮细胞壁波状弯曲,腺鳞较多,头部直径55~80μm,由6~8个细胞组成,亦有少数单细胞头腺毛,叶脉上非腺毛较多,长80~520μm,表面有疣状突起。气孔直轴式。
图左:地笋叶上表面(×333)图右:地笋叶下表面(×333)
茎表面观 表皮细胞长方形,角质层有纹理;腺毛的头部1~2个细胞,单细胞柄;腺鳞头部直径56~60μm,由6~8个细胞组成。气孔稀少。偶见非腺毛。
, 百拇医药
地笋茎表面观(×333)
2. 毛叶地笋
叶表面观:与地笋的不同点:上表面非腺毛较多,由(1~)2~5个细胞组成,长45~375~495μm,基部直径32~50μm,表面疣状突起明显;并有腺毛。下表面腺毛较多,主脉及侧脉上均有很多非腺毛,由3~6个细胞组成长(62~)370~600μm;腺鳞头部直径64~72μm。
图左:毛叶地笋叶上表面(×333)图右:毛叶地笋叶下表面(×333)
茎表面观 表皮细胞多角形或长方形,角质层隐现纹理。有腺毛及腺鳞。单细胞非腺毛长20~28μm,茎的棱处有少数6~7个细胞组成的非腺毛,长可达750μm,表面亦有疣状突起。
, 百拇医药
图左:毛叶地笋茎上非腺毛(×93)图右:毛叶地笋茎表面观(×333)
理化鉴别
薄层层析 样品制备:取本品粗粉100g,置挥发油测定器中进行蒸馏,至不再出现油滴。所得挥发油用乙醚提取,用无水硫酸钠脱水后,回收乙醚即得挥发油。
取挥发油0.1ml溶于石油醚1ml中,点样。吸附剂:硅胶G(青岛),用0.4%CMC水溶液湿法铺板,干后于105℃活化1小时。展开剂:已烷。展距17cm。在紫外光灯(365nm)下斑点均呈玫瑰红色荧光。
泽兰挥发油薄层层析图谱
S:α-蒎稀 1.地笋 2.毛叶地笋
味苦,性微温。有行血利尿、散郁舒肝的功能。用于月经不调、经闭、痛经、瘀血腹疼、身面浮肿、跌打损伤、疮疡肿痛。用量4.5~9g。
本品制剂有强心作用。
药用泽兰除上述正品外,尚有以下植物在不同地区亦作泽兰入药。
, 百拇医药
1. 同属植物欧地笋Lycopus europaeus Linn.分布于河北北部,陕西及新疆等地。在新疆作泽兰入药。
2.菊科佩兰属(Eupatorium)的佩兰E.fortunei Turcz.在广东、广西、四川、湖北、湖南、福建等地的部分地区作泽兰用。单叶佩兰E.japonicum Thunb.在广西、贵州等地将其茎叶作泽兰药用,(外形及显微特征见佩兰正文2)。在云南称"红泽兰",以根入药,其根茎粗圆柱形,直径0.7~2cm,表面棕红色,其上生许多细长根,直径1~2.5mm,表面棕红色,有纵向条纹,皮部常剥落而露出黄色木心;质脆,断面中央淡黄色,皮部灰黄色;气弱,味微苦。显微特征:根横切面,表皮细胞1列,类方形或径向延长;皮层宽广,为20~26列类圆形薄壁细胞,胞间隙明显,有厚壁细胞与孔纹细胞相间散在,均木化,韧皮部窄;木质部稍宽见(图)。异叶佩兰E.heterophyllum DC.分布于四川、云南、贵州、西藏等地。在云南作泽兰用,又为当地民间草药称"红升麻"。药材茎圆柱形,直径2~7mm,下部木质,灰棕色,上部嫩茎淡绿色,被白色短毛;质脆,易折断,叶多皱缩破碎,完整的展平后,呈椭圆形或披针形,边缘有圆锯齿,暗绿色或灰绿色,两面有黄色腺点及短白毛,臭微,味稍苦。显微特征:叶表面观:上表皮细胞类多角形,垂周壁较平直;腺毛较多,头部由四个细胞组成,直径40~44μm;非腺毛有两种,一种由3~7个细胞组成,长132~260μm,基部直径32~40μm;另一种由2~4个细胞组成,中间1或2个细胞常呈缢缩状,长100~140μm,基部直径14~16μm,常有淡棕色内含物;气孔为不定式。下表皮细胞垂周壁波状弯曲,腺毛、非腺毛与上表面相似,顺脉上非腺毛很多。
异叶佩兰 Eupatorium heterophyllum DC.
1.花枝 2.头状花序 3.管状花
图左:异叶佩兰叶上表面(×333)图右:异叶佩兰叶下表面(×333)
3.四川成都称嚼床科垂序马兰〔Strobilanthes japonicys(Thunb.)Miq.〕为江泽兰,做红泽兰用。本种曾在四川西部作泽兰用过。
以上6种植物检索表
1. 茎四棱形;叶对生;轮伞花序或短穗状花序,雄蕊4,2强..2.草本;茎节结处不肿胀;轮伞花序,花冠唇形,白色....3.茎下部叶有时近羽状深裂,中部叶不深裂有疏锯齿,上部叶近全缘......4.茎无毛或在节上疏生小硬毛;叶两面均无毛…………………地笋 Lycopus lucidus......4.茎棱上被向上小硬毛,节上密集硬毛;叶上面及下面脉上密被刚毛状硬毛…………........…………………………………………………毛叶地笋Lycopus lucidus var.hirtus....3.茎下部及中部叶在基部两侧近于对称的羽状深裂,上部叶大多具粗牙齿………………......…………………………………………………………………欧地笋Lycopus europaeus..2.灌木状草本;茎节处肿胀;短穗状花序由枝顶叶腋抽出,花冠漏斗状,淡紫色…………....…………………………………………………………垂笆马兰 Strobilanthes japonicus
1. 茎圆柱形;叶互生;头状花序,雄蕊5,聚药..5.叶两面无毛,无腺点,总胞片顶端钝或稍钝;瘦果无腺点…………………………………....……………………………………………………………………佩兰Eupatorium fortunei..5.叶两面有毛,具腺点或仅在下面具腺点;瘦果具腺点....6.茎中部通常3全裂,深裂或浅裂,两面被疏绒毛,边缘有深缺刻状圆锯齿……………......………………………………………………………异叶佩兰Eupatorium heterophyllum....6.茎中部叶通常不裂,叶两面粗涩,被短柔毛,边缘有粗或重锯齿………………………......……………………………………………………………单叶佩兰Eupatorium japonicum, 百拇医药
[历史]
泽兰始载于《神农本草经》,列为中品。历代本草书常将本品与《神农本草经》上品的兰草(即今之佩兰)混淆,至李时珍时始将其明确分为二物(见佩兰项下)。《唐本草》载:"泽兰茎方节紫色,叶似兰草而不香"。《图经本草》载:"……根紫黑色如粟根,二月生苗,高二、三尺,茎干青紫色,作四棱,叶生相对,如薄荷,微香,七月开花,带紫白色,萼通紫色,亦似薄荷花……"。由其描述考之,即为今之唇形科植物地笋Lycopus lucidus Turcz.及其变种毛叶地笋var.hirtus Regel。故认为古今所用泽兰,种类基本一致。
[原植物]
, http://www.100md.com
1. 地笋 别名:地瓜儿苗(通称),提娄(河北),地参(云南)。
Lycopus lucidus Turcz.-唇形科 Labiatae
[点击上图放大] |
, 百拇医药
生于沼泽地、山野低洼地沟边潮湿处、溪流沿岸的灌木丛或高大草丛中。亦有少量栽培。
分布于黑龙江、吉林、辽宁、河北、陕西、四川、贵州、云南等省。
2. 毛叶地笋 别名:地瓜儿苗(《植物名实图考》,河北),行叶地瓜儿苗(通称),矮地瓜儿苗(吉林),地环、地喇叭(河北),地石蚕(陕西),地罗子(山西),地牛七、山螺丝(湖北),竹节草、水香(江苏),野生地(福建),假油麻、地王草(广东),观音笋(江西),麻泽兰(贵州),地笋子(四川),银条菜(湖南)。
, 百拇医药
Lycopus lucidus Turcz. var.hirtus Regel-唇形科 Labiatae
[点击上图放大] |
生于沼泽地、水边等潮湿处。亦见有栽培。
, 百拇医药
分布于黑龙江、吉林、辽宁、内蒙古、河北、山西、山东、江苏、浙江、江西、安徽、福建、台湾、湖南、湖北、、广东、广西、、陕西、甘肃、贵州、四川、云南等省区。
[采制]
于夏、秋间茎叶生长茂盛时采收,割取地上部分,去净泥沙,晒干(以阴干为好)。或拣去杂质,除去残根,喷水稍润,切段晒干。
[药材及产销]
泽兰Herba Lycopi全国大部地区均产,多系自产自销。
[化学成份]
1. 地笋全草含挥发油、葡萄糖甙、鞣质和树脂,还含黄酮甙、酚类、氨基酸、有机酸、皂甙,葡萄糖、泽兰糖(Lycpose)、蔗糖、棉子糖(Raffinose)及水苏糖(Stachyose)。本文作者测定其地上部分挥发油含量为0.2~0.4%,油的折光率n20D1.4701,比重d20200.9516。
, 百拇医药
2. 毛叶地笋全草含挥发油和鞣质。作者测定其含量为0.2%,比重d20200.8814,折光率n20D1.4792。
水苏糖
泽兰糖
[药材鉴别]
, 百拇医药 [点击上图放大] |
性状鉴别
[点击上图放大] |
, http://www.100md.com [点击上图放大] |
以质嫩、叶多,色绿者为佳。
显微鉴别
1.地笋
叶表面观:上表皮细胞壁较平直,有少量腺毛,毛茸基部的表皮细胞放射状排列,隐现波状层纹,非腺毛由1~3(~5)细胞组成,表面隐现疣状突起,长75~360μm,叶脉上的毛长可达520μm,基部细胞较宽,直径32~80μm,并有少数腺毛,腺头由1~2个细胞组成,直径16~28μm,单细胞柄。下表皮细胞壁波状弯曲,腺鳞较多,头部直径55~80μm,由6~8个细胞组成,亦有少数单细胞头腺毛,叶脉上非腺毛较多,长80~520μm,表面有疣状突起。气孔直轴式。
, http://www.100md.com [点击上图放大] |
图左:地笋叶上表面(×333)图右:地笋叶下表面(×333)
茎表面观 表皮细胞长方形,角质层有纹理;腺毛的头部1~2个细胞,单细胞柄;腺鳞头部直径56~60μm,由6~8个细胞组成。气孔稀少。偶见非腺毛。
[点击上图放大] |
, 百拇医药
地笋茎表面观(×333)
2. 毛叶地笋
叶表面观:与地笋的不同点:上表面非腺毛较多,由(1~)2~5个细胞组成,长45~375~495μm,基部直径32~50μm,表面疣状突起明显;并有腺毛。下表面腺毛较多,主脉及侧脉上均有很多非腺毛,由3~6个细胞组成长(62~)370~600μm;腺鳞头部直径64~72μm。
, http://www.100md.com [点击上图放大] |
图左:毛叶地笋叶上表面(×333)图右:毛叶地笋叶下表面(×333)
茎表面观 表皮细胞多角形或长方形,角质层隐现纹理。有腺毛及腺鳞。单细胞非腺毛长20~28μm,茎的棱处有少数6~7个细胞组成的非腺毛,长可达750μm,表面亦有疣状突起。
[点击上图放大] |
, 百拇医药
图左:毛叶地笋茎上非腺毛(×93)图右:毛叶地笋茎表面观(×333)
理化鉴别
薄层层析 样品制备:取本品粗粉100g,置挥发油测定器中进行蒸馏,至不再出现油滴。所得挥发油用乙醚提取,用无水硫酸钠脱水后,回收乙醚即得挥发油。
取挥发油0.1ml溶于石油醚1ml中,点样。吸附剂:硅胶G(青岛),用0.4%CMC水溶液湿法铺板,干后于105℃活化1小时。展开剂:已烷。展距17cm。在紫外光灯(365nm)下斑点均呈玫瑰红色荧光。
, 百拇医药 [点击上图放大] |
泽兰挥发油薄层层析图谱
S:α-蒎稀 1.地笋 2.毛叶地笋
[性味及功效]
味苦,性微温。有行血利尿、散郁舒肝的功能。用于月经不调、经闭、痛经、瘀血腹疼、身面浮肿、跌打损伤、疮疡肿痛。用量4.5~9g。
[药理作用]
本品制剂有强心作用。
[附注]
药用泽兰除上述正品外,尚有以下植物在不同地区亦作泽兰入药。
, 百拇医药
1. 同属植物欧地笋Lycopus europaeus Linn.分布于河北北部,陕西及新疆等地。在新疆作泽兰入药。
[点击上图放大] |
, 百拇医药 [点击上图放大] |
异叶佩兰 Eupatorium heterophyllum DC.
1.花枝 2.头状花序 3.管状花
图左:异叶佩兰叶上表面(×333)图右:异叶佩兰叶下表面(×333)
3.四川成都称嚼床科垂序马兰〔Strobilanthes japonicys(Thunb.)Miq.〕为江泽兰,做红泽兰用。本种曾在四川西部作泽兰用过。
以上6种植物检索表
1. 茎四棱形;叶对生;轮伞花序或短穗状花序,雄蕊4,2强..2.草本;茎节结处不肿胀;轮伞花序,花冠唇形,白色....3.茎下部叶有时近羽状深裂,中部叶不深裂有疏锯齿,上部叶近全缘......4.茎无毛或在节上疏生小硬毛;叶两面均无毛…………………地笋 Lycopus lucidus......4.茎棱上被向上小硬毛,节上密集硬毛;叶上面及下面脉上密被刚毛状硬毛…………........…………………………………………………毛叶地笋Lycopus lucidus var.hirtus....3.茎下部及中部叶在基部两侧近于对称的羽状深裂,上部叶大多具粗牙齿………………......…………………………………………………………………欧地笋Lycopus europaeus..2.灌木状草本;茎节处肿胀;短穗状花序由枝顶叶腋抽出,花冠漏斗状,淡紫色…………....…………………………………………………………垂笆马兰 Strobilanthes japonicus
1. 茎圆柱形;叶互生;头状花序,雄蕊5,聚药..5.叶两面无毛,无腺点,总胞片顶端钝或稍钝;瘦果无腺点…………………………………....……………………………………………………………………佩兰Eupatorium fortunei..5.叶两面有毛,具腺点或仅在下面具腺点;瘦果具腺点....6.茎中部通常3全裂,深裂或浅裂,两面被疏绒毛,边缘有深缺刻状圆锯齿……………......………………………………………………………异叶佩兰Eupatorium heterophyllum....6.茎中部叶通常不裂,叶两面粗涩,被短柔毛,边缘有粗或重锯齿………………………......……………………………………………………………单叶佩兰Eupatorium japonicum, 百拇医药