当药 Dangyao
http://www.100md.com
浙江中医学院
本品为民间草药,商品为龙胆科獐牙菜属植物瘤毛獐牙菜的干燥全草。此外同属植物中还有几种植物也作当药药用。
本品在历代本草中未见记载。为河北、内蒙古一带的民间草药。《内蒙古中草药》载有本品,《中华人民共和国药典》1977年版一部亦收载。
瘤毛獐牙菜 别名:紫花当药(通称),地格达、比拉山特-地格达(内蒙古)
Swertia pseudochinensis Hara--龙胆科Gentianaceae
一,二年生草本,高10~40cm。根通常黄色或黄褐色,味苦。茎直立,具4棱,通常从下部分枝,交互对生。单生或对生,无柄;叶片披针形至线状披针形,长2~4cm,宽3~10mm,先端渐尖,基部狭,全缘。聚伞花序圆锥状,顶生及腋生,花较大,兰紫色,直径2~2.5cm;花萼5深裂,基部稍连合,裂片线状披针形;花冠5深裂,裂片窄椭圆形,有紫色脉纹,茎部具细长毛状腺窝2个(在显微镜下观察);雄蕊5,着生于花冠的基部,花药暗紫色;子房1室,花柱极短,2歧。蒴果长圆形,熟时分裂成两果瓣;种子多数,卵圆形。花期8~9月,果期9~11月。
生于草地、山坡、林缘等地。
分布于东北、华北、河南、山东等省。
夏、秋两季采收全草,晒干至8成时,捆成小把,再晒干。
, 百拇医药
当药Herba Swertiae pseudochinensis主产东北、华北。销河北省。
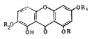
全草含下列成分:1.生物碱:龙胆碱(Gentianine)。2.黄酮化合物:当药黄酮(Swertisin)、异荭草素(Homoorientin)、异牡荆素(Isovitexin)。3.呫吨酮类:雏菊叶龙胆酮(Bellidifolin),(Swertianol)、当药呫吨酮(Swertianin)、甲基当药呫吨酮(Methylswertianin)、甲基雏菊叶龙胆酮(Methylellidifolin)、对叶当药呫吨酮(Decussatin)、及微量去甲基雏菊叶龙胆酮(Demethylbellidifolin)、去甲基当药呫吨酮(Norswertianin)。此外尚含齐墩果酸(Olenolic acid)。
......................R.....R1...R2.....龙胆碱
, http://www.100md.com
去甲基雏菊叶龙胆酮....H.....H....H
雏菊叶龙胆酮..........H.....CH3..H
甲基雏菊叶龙胆酮......H.....CH3..CH3
雏菊叶龙胆甙......葡萄糖基..CH3..H
..................R....R1...R2
去甲基当药呫吨酮..H....H....H
当药呫吨酮........H....CH3..H
, 百拇医药
甲基当药呫吨酮....H....CH3..CH3
对叶当药呫吨酮....CH3..CH3..CH3
, http://www.100md.com
性状鉴别
全草长10~40cm。根呈圆锥形,黄色或黄褐色。茎方柱形,多分枝,直径1~2.5cm,黄棕色或稍带紫色,节处略膨大。质脆,易折断,断面中空。叶对生,多皱缩卷曲,展平后呈条状披针形,全缘,棕黄色。圆锥状聚伞花序,顶生或腋生,花黄色。气微,味苦。
显微鉴别
, http://www.100md.com
叶表面观:上表皮细胞形状略不规则,垂周壁波状弯曲,表面复角质层,细胞中央层纹密集,向四周放射状排列。下表面角质层纹较疏,气孔为不等式。
图左:当药叶上表皮表面观(×250)图右:当药叶下表皮表面观(×250)
茎(直径2.5mm)横切面 表皮细胞类方形或切向延长,长12~42μm,宽20~32μm,外壁向外突出,壁略厚,外复角质层;内皮层为一列切向延长的细胞,长24~48μm,宽10~20μm;韧皮部窄,木质部占半径1/4。髓细胞多角形,髓部多数中空。
图左:当药茎表面观(×175)图右:当药茎横切面详图(×250)
, http://www.100md.com
理化鉴别
1. 检查三萜、黄酮和山酮:本品粉末10g,加甲醇50ml,在60℃水中温浸1小时,滤过,备用。
⑴取上滤液1ml,置试管中加醋酐1ml后,沿试管壁加入少量浓硫酸(不要搅乱两液接触面),在两液层中间出现蓝色或蓝绿色环。(检查三萜)
⑵取上滤液1ml,加三氯化铁乙醇液1~2滴,溶液呈绿色。(检查山酮类)
⑶取上滤液1ml,加盐酸4滴及少量镁粉,于水浴上加热数分钟,溶液呈桃红色。(检查黄酮)
⑷薄层层析 取上溶液1ml,浓缩至少量。吸附剂:硅胶G(青岛)用0.5碳酸钾水溶液湿法铺板,自然干燥。展开剂:正丁醇-乙酸乙酯-水(4:1:5)。展距11cm。显色剂:酯酐-硫酸-乙醇(12:1:20)。于105℃烘烤显色,其中有与齐墩果酸相对应的紫色斑点。
当药薄层层析图谱
S:左、齐墩果酸 右、龙胆碱 1.当药
2. 检查生物碱:样品制备:取本品粉末10g,加浓氨水湿润,搅拌,密闭放置4小时,再加氯仿50ml,回流提取,滤过,滤液用10%硫酸提取3次,用氨水碱化至pH9,用氯仿提取3次,浓缩备用。
⑴沉淀反应:取上滤液滴于玻璃片上,别滴加碘化铋钾试剂,滤液呈棕红色沉淀;加5%硅钨酸试剂显白色沉淀。
⑵薄层层析 取上浓缩液少量点样。吸附剂:硅胶G(青岛)用0.5%氢氧化钠水溶液湿法铺板,自然干燥。展开剂:乙醚-丙酮(9:1)。展距11cm。显色剂:改良碘化铋钾试剂,结果有与龙胆碱相对应的桔红色斑点。
, 百拇医药
味苦、性寒。有清湿热、健胃的功能。用于急、慢性黄疸型肝炎,急慢性细菌性痢疾、消化不良等症。用量3~15g。
日本当药(Swertia japonica Makino)中也含当药呫吨酮、去甲基当药呫吨酮、甲基当药呫吨酮等成分,均有抗结核活性。
除瘤毛獐牙菜作当药应用外,尚有同属植物双斑獐牙菜(S. bimaculata Sieb. et Zucc.)Hook. f. et Thoms.别名大苦草、黑节苦草、走胆草、双点獐牙草、绿茎牙痛草,分布于河南、陕西、甘肃、江苏、安徽、浙江、江西、福建、广东、广西、湖南、湖北、四川、贵州、云南等省区,在云南地区用全草也作当药药用,并治牙痛、咽喉肿痛、小儿口疮。獐牙菜(S. chinensis Franch.)藏名加达,分布于东北、河北、甘肃、西藏等省区,在西藏作当药药用,河北省制成肝复灵片,治疗小儿肝炎有较好疗效,全草含齐墩果酸。腺鳞草(S. dichotomum L.)(Anagallidium dichotomum (L.) Griseb.)分布于河北、山西、陕西、甘肃、新疆,在西北地区也作当药药用。乌金草(S. heternatha Ling)别名异花獐牙菜,特产我国陕西太白山,在陕西作当药用。
, 百拇医药
以上几种当药植物的检索表:
1. 叶1对,近基部着生;花冠上天条纹或斑点……………………………乌金草S. heternatha
1. 叶多对生于茎上..2.花冠上有条纹或斑点....3.花冠淡兰色,有紫色条纹,腺窝边缘流苏状长毛具瘤状突起…………………………….......……………………………………………………………瘤毛獐牙菜S. pseudochinensis....3.花冠淡黄绿色或白色,上部具紫色小斑点,中部有2个黄色大斑点……………………….......……………………………………………………………………双斑獐牙菜S. bimaculata..2.花冠上无条纹或斑点,腺窝外缘具鳞片,雄花花丝基部具流苏状毛………………腺鳞草.....……………………………………………………………………………………S. dichotomum, 百拇医药
[历史]
本品在历代本草中未见记载。为河北、内蒙古一带的民间草药。《内蒙古中草药》载有本品,《中华人民共和国药典》1977年版一部亦收载。
[原植物]
瘤毛獐牙菜 别名:紫花当药(通称),地格达、比拉山特-地格达(内蒙古)
Swertia pseudochinensis Hara--龙胆科Gentianaceae
, http://www.100md.com [点击上图放大] |
生于草地、山坡、林缘等地。
分布于东北、华北、河南、山东等省。
[采制]
夏、秋两季采收全草,晒干至8成时,捆成小把,再晒干。
, 百拇医药
[药材及产销]
当药Herba Swertiae pseudochinensis主产东北、华北。销河北省。
[化学成份]
全草含下列成分:1.生物碱:龙胆碱(Gentianine)。2.黄酮化合物:当药黄酮(Swertisin)、异荭草素(Homoorientin)、异牡荆素(Isovitexin)。3.呫吨酮类:雏菊叶龙胆酮(Bellidifolin),(Swertianol)、当药呫吨酮(Swertianin)、甲基当药呫吨酮(Methylswertianin)、甲基雏菊叶龙胆酮(Methylellidifolin)、对叶当药呫吨酮(Decussatin)、及微量去甲基雏菊叶龙胆酮(Demethylbellidifolin)、去甲基当药呫吨酮(Norswertianin)。此外尚含齐墩果酸(Olenolic acid)。
, http://www.100md.com
去甲基雏菊叶龙胆酮....H.....H....H
雏菊叶龙胆酮..........H.....CH3..H
甲基雏菊叶龙胆酮......H.....CH3..CH3
雏菊叶龙胆甙......葡萄糖基..CH3..H
去甲基当药呫吨酮..H....H....H
当药呫吨酮........H....CH3..H
, 百拇医药
甲基当药呫吨酮....H....CH3..CH3
对叶当药呫吨酮....CH3..CH3..CH3
[药材鉴别]
[点击上图放大] |
, http://www.100md.com
性状鉴别
[点击上图放大] |
显微鉴别
, http://www.100md.com
叶表面观:上表皮细胞形状略不规则,垂周壁波状弯曲,表面复角质层,细胞中央层纹密集,向四周放射状排列。下表面角质层纹较疏,气孔为不等式。
图左:当药叶上表皮表面观(×250)图右:当药叶下表皮表面观(×250)
茎(直径2.5mm)横切面 表皮细胞类方形或切向延长,长12~42μm,宽20~32μm,外壁向外突出,壁略厚,外复角质层;内皮层为一列切向延长的细胞,长24~48μm,宽10~20μm;韧皮部窄,木质部占半径1/4。髓细胞多角形,髓部多数中空。
图左:当药茎表面观(×175)图右:当药茎横切面详图(×250)
, http://www.100md.com
理化鉴别
1. 检查三萜、黄酮和山酮:本品粉末10g,加甲醇50ml,在60℃水中温浸1小时,滤过,备用。
⑴取上滤液1ml,置试管中加醋酐1ml后,沿试管壁加入少量浓硫酸(不要搅乱两液接触面),在两液层中间出现蓝色或蓝绿色环。(检查三萜)
⑵取上滤液1ml,加三氯化铁乙醇液1~2滴,溶液呈绿色。(检查山酮类)
⑶取上滤液1ml,加盐酸4滴及少量镁粉,于水浴上加热数分钟,溶液呈桃红色。(检查黄酮)
⑷薄层层析 取上溶液1ml,浓缩至少量。吸附剂:硅胶G(青岛)用0.5碳酸钾水溶液湿法铺板,自然干燥。展开剂:正丁醇-乙酸乙酯-水(4:1:5)。展距11cm。显色剂:酯酐-硫酸-乙醇(12:1:20)。于105℃烘烤显色,其中有与齐墩果酸相对应的紫色斑点。
, http://www.100md.com [点击上图放大] |
当药薄层层析图谱
S:左、齐墩果酸 右、龙胆碱 1.当药
2. 检查生物碱:样品制备:取本品粉末10g,加浓氨水湿润,搅拌,密闭放置4小时,再加氯仿50ml,回流提取,滤过,滤液用10%硫酸提取3次,用氨水碱化至pH9,用氯仿提取3次,浓缩备用。
⑴沉淀反应:取上滤液滴于玻璃片上,别滴加碘化铋钾试剂,滤液呈棕红色沉淀;加5%硅钨酸试剂显白色沉淀。
⑵薄层层析 取上浓缩液少量点样。吸附剂:硅胶G(青岛)用0.5%氢氧化钠水溶液湿法铺板,自然干燥。展开剂:乙醚-丙酮(9:1)。展距11cm。显色剂:改良碘化铋钾试剂,结果有与龙胆碱相对应的桔红色斑点。
, 百拇医药
[性味及功效]
味苦、性寒。有清湿热、健胃的功能。用于急、慢性黄疸型肝炎,急慢性细菌性痢疾、消化不良等症。用量3~15g。
[药理作用及临床应用]
日本当药(Swertia japonica Makino)中也含当药呫吨酮、去甲基当药呫吨酮、甲基当药呫吨酮等成分,均有抗结核活性。
[附注]
除瘤毛獐牙菜作当药应用外,尚有同属植物双斑獐牙菜(S. bimaculata Sieb. et Zucc.)Hook. f. et Thoms.别名大苦草、黑节苦草、走胆草、双点獐牙草、绿茎牙痛草,分布于河南、陕西、甘肃、江苏、安徽、浙江、江西、福建、广东、广西、湖南、湖北、四川、贵州、云南等省区,在云南地区用全草也作当药药用,并治牙痛、咽喉肿痛、小儿口疮。獐牙菜(S. chinensis Franch.)藏名加达,分布于东北、河北、甘肃、西藏等省区,在西藏作当药药用,河北省制成肝复灵片,治疗小儿肝炎有较好疗效,全草含齐墩果酸。腺鳞草(S. dichotomum L.)(Anagallidium dichotomum (L.) Griseb.)分布于河北、山西、陕西、甘肃、新疆,在西北地区也作当药药用。乌金草(S. heternatha Ling)别名异花獐牙菜,特产我国陕西太白山,在陕西作当药用。
, 百拇医药
以上几种当药植物的检索表:
1. 叶1对,近基部着生;花冠上天条纹或斑点……………………………乌金草S. heternatha
1. 叶多对生于茎上..2.花冠上有条纹或斑点....3.花冠淡兰色,有紫色条纹,腺窝边缘流苏状长毛具瘤状突起…………………………….......……………………………………………………………瘤毛獐牙菜S. pseudochinensis....3.花冠淡黄绿色或白色,上部具紫色小斑点,中部有2个黄色大斑点……………………….......……………………………………………………………………双斑獐牙菜S. bimaculata..2.花冠上无条纹或斑点,腺窝外缘具鳞片,雄花花丝基部具流苏状毛………………腺鳞草.....……………………………………………………………………………………S. dichotomum, 百拇医药