附录六 确定诊断标准
有人对500例健康者和120例肝病病人测定了肝大指数*,数据见附表6-1。二者都接近正态分布,它们的算术平均数和标准差如下:

肝病病人
附录6-1 健康人和肝病病人的肝大指数分布
|
肝大指数 |
健康人例数 |
肝病病人例数 |
肝大指数 |
健康人例数 |
肝病病人例数 |
|
4.8- |
3 |
7.8- |
15 | ||
|
5.0- |
12 |
8.0- |
12 | ||
|
5.2- |
24 |
8.2- |
12 | ||
|
5.4- |
43 |
8.4- |
12 | ||
|
5.6- |
51 |
8.6― |
9 | ||
|
5.8- |
62 |
8.8- |
10 | ||
|
6.0- |
96 |
9.0- |
4 | ||
|
6.2- |
91 |
9.2- |
5 | ||
|
6.4- |
63 |
1 |
9.4- |
4 | |
|
6.6- |
31 |
- |
9.6- |
2 | |
|
6.8- |
17 |
3 |
9.8- |
1 | |
|
7.0- |
6 |
3 |
10.0- |
6 | |
|
7.2- |
1 |
4 |
12.0- |
||
|
7.4- |
8 |
10.4- |
1 | ||
|
7.6- |
8 |
合计 |
500 |
120 |

由附表6-1可见健康人及肝病病人的肝大指数有部分重叠。不论把诊断标准订在其间何处,都会有漏诊和误诊,或至少会出现其中一种情况。在确定诊断标准时,可按下列要求确定。即用求u值的公式计算。如:
(1)要求缩小漏诊率:即尽量把病人都找出来,然后再进一步确诊。若将漏诊率限定
为1%,可用求u的公式
计算c,c为所求的肝大指数值。
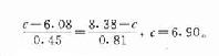
当漏诊率为1%时,即p/2为0.01时,u=2.326,代入上式

即当肝大指数的诊断标准定为6.50时,漏诊率可以降到1%。但误诊率将升高,结果如下:
,p/2为0.176,即误诊率为17.6%。即当要求把
漏诊率控制在1%时,可定肝大指数的诊断标准为6.50,但误诊率即升高达17.6%。
(2)要求缩小误诊率:即严格挑选病人。若把误诊率限定为1‰,即P/2为0.001时,u=3.090。

即应把诊断标准定为肝大指数7.47。此时 ,漏诊率将提高。
,与此u值相应的P/2=0.132,即漏诊率高达13.2%。
由上可见要求缩小误诊率,漏诊率相应升高。反之也一样。对于筛检来说,漏诊后果严重的病应该用灵敏度较高的方法,而把特异度较高的方法留作临床确诊时用。
(3)要求漏诊率、误诊率都较小:一般把诊断标准定在“漏诊率=误诊率”的位置上。可如下法求此值:

此式即是使c与两个平均值之间的u值相等。

u=1.82时,p/2=0.034,即漏诊率和误诊率都是3.4%。
校对时间:99-11-25 14:47 杜育苗
, http://www.100md.com