当前位置: 首页 > 期刊 > 《中国医学论坛报》 > 2008年第42期
编号:11712113
有效控制患者血糖 改善患者生活质量 IMPROVE:门冬胰岛素30临床实践应用结果——全球观察性研究IMPROVE中国结果发布会报道(二)
http://www.100md.com 2008年10月30日 《中国医学论坛报》 2008年第42期
有效控制患者血糖 改善患者生活质量 IMPROVE:门冬胰岛素30临床实践应用结果——全球观察性研究IMPROVE中国结果发布会报道(二)
有效控制患者血糖 改善患者生活质量 IMPROVE:门冬胰岛素30临床实践应用结果——全球观察性研究IMPROVE中国结果发布会报道(二)
有效控制患者血糖 改善患者生活质量 IMPROVE:门冬胰岛素30临床实践应用结果——全球观察性研究IMPROVE中国结果发布会报道(二)

     IMPROVETM研究于2006年3月正式启动,其宗旨是观察新一代预混胰岛素类似物诺和锐30的有效性和安全性。这项研究令人振奋的结果将为糖尿病的日常诊治带来提示和借鉴。本报上期介绍了观察性研究的重要意义和门冬胰岛素30(诺和锐?誖30)治疗有效性和安全性的国际研究结果,本期将详细介绍IMPROVE研究中国地区总体及亚组的分析结果,期望对您有所启迪。(敬请关注下期“预混胰岛素类似物的灵活应用”)

    IMPROVE研究中国结果及启示

    基线特征:HbA1c达9.5%,大血管和微血管并发症发生率高

    IMPROVE研究共纳入21729例中国2型糖尿病患者。入组前有59.3%的患者应用口服降糖药(OAD)治疗,32.3%的患者未用药治疗,8.1%的患者应用胰岛素治疗时间少于1个月。患者平均年龄54.0岁,平均体重68.9公斤,平均病程4.9年,糖化血红蛋白(HbA1c)平均水平达(9.5±2.1)%。中国患者中,并发大血管和微血管并发症的比例分别为24.0%和40.5%,同一例患者还可能有多种并发症(图1)。基线特征提示,我国糖尿病控制状况亟待提高。
, 百拇医药
    总体人群:71%的患者HbA1c达标,生活质量提高

    应用诺和锐30治疗后患者重度低血糖事件发生率下降,夜间低血糖事件发生率轻度升高,从基线的2.1%升至3.4%,但差异不显著。轻度低血糖事件发生率轻度增高,日间低血糖发生率从基线的5.0%增至9.7%。

    患者基线、随访3个月和6个月时HbA1c水平分别为9.46%、7.25%和6.64%,研究结束时降低了2.82%。HbA1c下降程度与患者糖尿病病程有关,病程<1年的患者从基线到研究末HbA1c降低最多,为3.6%,提示尽早启动胰岛素治疗对患者血糖达标更为有益。治疗结束时,71% 的患者HbA1c 达到7.0%的治疗目标。患者空腹血糖(FPG)从基线到研究末下降了4.9 mmol/L。餐后(早餐、中餐、晚餐)血糖也均显著降低(表1)。生活质量评估显示,诺和锐30治疗后患者满意度显著升高,由治疗前的55.1(满分为100)上增到73.5,提示患者生活质量明显提高。
, 百拇医药
    未使用任何药物治疗者:HbA1c、空腹及餐后血糖显著降低

    入组前未治疗的患者经诺和锐30治疗后HbA1c显著下降(9.86%对6.59%,-3.27%),治疗前后差异显著,患者HbA1c<6.5%的达标率为43%,HbA1c<7.0%的患者比例高达72%,达到医生设定目标的患者比例约为44%(医生遵循个体化原则设定目标)。从基线到研究末,患者FPG、早餐餐后血糖(PPG)、午餐PPG、晚餐PPG均下降1倍左右。诺和锐30治疗后患者轻度低血糖事件发生率较以前增加,体重则无显著变化。

    因此,对于未治疗的患者,诺和锐30可以降低HbA1c,使更大比例的患者治疗达标,并改善FPG和PPG,是有效的胰岛素起始治疗方案。

    入组前OAD治疗者:血糖显著降低,生活质量改善

    入组前应用OAD治疗的患者所占比例最大,达59.3%,其中应用双胍类和磺脲类治疗的患者比例较高(40.4%和35.4%),其次为α-糖苷酶抑制剂或格列奈类等。
, 百拇医药
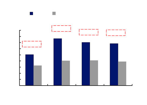
    应用诺和锐30治疗后,入组前用OAD治疗的患者重度低血糖发生率也显著下降,轻度低血糖发生率增加,HbA1c显著下降(9.23%对6.66%,-2.57%)。39%的患者达到HbA1c<6.5%的目标,71%达到HbA1c<7.0%的目标,45%达到医生设定的目标。FPG和PPG也均显著下降,以早餐后血糖下降最为突出(图2)。患者生活质量改善。

    入组前胰岛素治疗者:血糖显著降低,患者满意度提高

    入组前应用胰岛素治疗者重度低血糖发生率显著降低,轻度低血糖发生率也有显著下降,体重无明显增加。HbA1c显著下降(9.59%对6.63%,-2.96%),达到HbA1c<6.5%、<7.0%和医生设定的目标患者比例分别为41%、72%和46%,FPG和PPG也显著下降。因此,曾经使用胰岛素治疗血糖控制不佳的患者,改用诺和锐30治疗后血糖水平改善,患者对治疗的满意度提高,生活质量改善。

    表1 IMPROVE研究中国结果小结
, 百拇医药
    研究前治疗方案

    未使用任何药物治疗OAD治疗胰岛素治疗

    达到HbA1c<7%的患者比例72%71%72%

    ΔHbA1c-3.3%-2.6%-3.0%

    ΔFPG-6.1mmol/L-4.5mmol/L-3.5mmol/L

    Δ重度低血糖发生率-67%-96%-97%

    Δ轻度低血糖事件+2.4例事件/患者年+0.8例事件/患者年-2.2例事件/患者年

    胰岛素剂量(基线/研究末)26.5(U/d)/29.5(U/d)27.1(U/d)/30.9(U/d)33.9(U/d)/31.1(U/d)
, 百拇医药
    图1 IMPROVE研究中国人群基线大血管和微血管并发症发生率

    图2 入组前应用OAD治疗者空腹和餐后血糖下降情况

    图3 IMPROVE研究结果与随机对照研究结果一致,在显著降低患者HbA1c的同时,重度低血糖发生率降低

    总之, IMPROVE研究中国结果显示,患者总体血糖水平显著降低(HbA1C下降2.8%、FPG下降 4.9 mmol/L、早中晚餐PPG明显下降),血糖达标率(<7%)超过70%,重度低血糖发生率显著降低。患者对治疗的满意度总体提高,治疗前后体重增加较少,重度低血糖事件发生率降低(图3),仅有轻度低血糖发生率略有增加。在临床实际治疗中,诺和锐30对于中国糖尿病患者是一种高效且安全的胰岛素起始治疗方案。, 百拇医药