当前位置: 首页 > 期刊 > 《中国医学论坛报》 > 2008年第42期
编号:11712128
治疗晚期NSCLC 贝伐单抗联合化疗研究更新
http://www.100md.com 2008年10月30日 《中国医学论坛报》 2008年第42期
治疗晚期NSCLC 贝伐单抗联合化疗研究更新
治疗晚期NSCLC 贝伐单抗联合化疗研究更新

     贝伐单抗是一种重组人源化单克隆抗体,以血管内皮生长因子(VEGF)为靶点。基础研究已证实,贝伐单抗可与所有已知的VEGF异构体结合,从而阻止VEGF与受体的结合,阻断下游信号通路,导致血管退化,使肿瘤休眠。在Ⅰ、Ⅱ期临床试验的基础上,2006年和2007年美国临床肿瘤学会(ASCO)年会分别报道了贝伐单抗联合化疗治疗晚期非小细胞肺癌(NSCLC)的Ⅲ期临床试验(ECOG 4599研究和AVAIL研究)结果,这些研究结果显示,贝伐单抗与多种化疗方案联合可产生显著疗效,对肺癌一线治疗具有重要意义。

    ECOG 4599研究

    研究设计

    ECOG 4599研究是一项大样本Ⅲ期随机对照临床研究,研究纳入878名ⅢB/Ⅳ期或复发的NSCLC患者(鳞癌、脑转移及有出血病史者不能入组),随机分组分别接受化疗或贝伐单抗联合化疗治疗。

    化疗方案为PC方案,即紫杉醇(200 mg /m2)+卡铂(AUC=6),21天为1周期,共6周期。贝伐单抗用药剂量为15 mg /kg,每3周1次,直至出现疾病进展或发生不可耐受的毒性反应。
, 百拇医药
    主要研究终点为总生存期(OS),次要研究终点为有效率(RR)、无进展生存期(PFS)和毒性反应。

    治疗效果

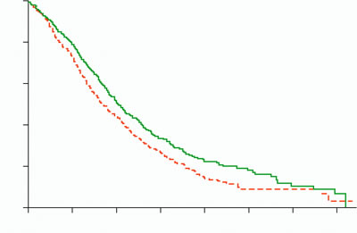
    结果显示,与化疗组相比,贝伐单抗联合化疗组OS较长[12.3个月对10.3个月,P=0.003,风险比(HR)=0.79,95%可信区间(CI)0.67~0.92],中位PFS较长(6.2个月对4.5个月,P<0.001,HR=0.66,95%CI 0.57~0.77)(见图),RR较高(35%对15%,P<0.001),1年生存率(51%对44%)和2年生存率(23%对15%)均较高。

    亚组分析发现,男性患者更能从治疗中获益。

    不良反应

    ECOG 4599研究显示,贝伐单抗联合化疗组的整体耐受性良好。但与化疗组相比,>3级的肺、胃肠道、中枢、鼻出血在贝伐单抗联合化疗组发生率较高(4.4%对0.7%,P<0.001);治疗前肺内病灶空洞形成和近期咯血是贝伐单抗治疗后潜在出血的危险因素。
, 百拇医药
    除此之外,贝伐单抗联合化疗组在以下几方面不良事件发生率略高于对照组:4级中性粒细胞减少(25.5%对16.8%)、4级血小板减少(1.6%对 0.2%)、≥3级中性粒细胞减少性发热(5.2%对2.0%)、≥3级的低钠血症(3.5%对1.1%)、≥3级高血压(7.0%对0.7%)、≥3级蛋白尿(3.1%对0)、≥3级的头痛(3.0%对0.5%)、≥3级皮疹(2.3%对0.5%)。亚组分析表明,毒性反应和治疗相关死亡在>70岁的老年患者更易发生(表 1)。

    研究意义

    基于2006年ASCO会议报道的ECOG 4599研究结果,贝伐单抗被美国国立癌症综合网络(NCCN)指南列为NSCLC的规范治疗用药,推荐符合贝伐单抗治疗者可联合化疗用于晚期NSCLC一线治疗,其符合标准包括无脑转移、非鳞癌、既往无咯血史、目前未合并抗凝治疗。2006年10月,美国FDA批准贝伐单抗联合PC方案一线治疗晚期非鳞NSCLC。
, 百拇医药
    AVAIL研究

    研究设计

    AVAIL研究为ECOG4599 的补充性研究,入组标准与ECOG 4599研究类似。AVAIL研究评价了不同剂量贝伐单抗联合吉西他滨+顺铂(GP)方案治疗ⅢB/Ⅳ期初治或复发的非鳞状上皮细胞NSCLC患者的效果。

    研究共纳入1043例患者,随机分组,分别接受GP方案联合贝伐单抗或安慰剂治疗。GP方案为吉西他滨(1250 mg/m2,d1、8)+顺铂(80 mg/m2,d1),每3周为1周期,共6周期。贝伐单抗剂量为15 mg/kg或7.5 mg/kg,d1,每3周1次,直至疾病进展。安慰剂组患者不允许交叉到贝伐单抗组接受贝伐单抗治疗。主要研究终点为PFS,次要终点为OS。

    治疗效果

    结果显示,与安慰剂组相比,联合贝伐单抗组的有效率较高。安慰剂组、低剂量贝伐单抗组、高剂量贝伐单抗组的治疗有效率分别为20%、34%(P<0.0001)、30%(P=0.0017)。联合贝伐单抗组的PFS显著长于安慰剂组,安慰剂组PFS为6.2个月,低剂量贝伐单抗组为6.8个月(P=0.0003,HR=0.75,95% CI 0.64~0.87),高剂量贝伐单抗组为6.6个月(P=0.0456,HR=0.85,95% CI 0.73~1.00)。
, 百拇医药
    在2008 年欧洲肿瘤内科学会(ESMO)会议上,德国海德堡大学马内戈尔德(Manegold) 教授报告了该研究的生存结果。安慰剂组中位OS为13.1个月,低剂量贝伐单抗组为13.6 个月(HR=0.92,95%CI 0.77~1.10),高剂量贝伐单抗组为13.4个月(HR=1.02,95%CI 0.85~1.22)。这提示GP方案中加入贝伐单抗一线治疗晚期非鳞状上皮细胞NSCLC未改善总生存(表2)。

    不良反应

    AVAIL 研究同样显示,联合贝伐单抗治疗组的整体耐受性良好,安慰剂组、低剂量贝伐单抗组、高剂量贝伐单抗组的3~5级不良事件发生率分别为75%、76%、81%;不良事件导致死亡发生率分别为4%、4%、5%。

    咯血发生率在联合贝伐单抗组和安慰剂组之间无差异,安慰剂组、低剂量贝伐单抗组、高剂量贝伐单抗组患者的肺出血发生率分别为4.9%、7%、9.7%。但≥3级的肺出血、高血压和蛋白尿在联合贝伐单抗治疗组发生率较高,≥3级肺出血发生率分别为0.6%、1.5%、0.9%(表3)。
, 百拇医药
    在贝伐单抗联合化疗二线治疗的晚期NSCLC患者中,也发现联合贝伐单抗组的咯血、高血压、腹泻、鼻出血、致死性出血的发生率略高于单独化疗组。

    研究意义

    AVAIL研究是第二项显示贝伐单抗联合化疗可提高晚期NSCLC治疗有效率和延长PFS的Ⅲ期临床研究。贝伐单抗两种剂量(7.5 mg/kg和15 mg/kg)的疗效相似,患者耐受性良好,严重咯血/肺出血发生率低。基于该研究结果,2007年8月,欧洲药品管理局(EMEA)批准贝伐单抗联合含铂类方案一线治疗晚期或复发的非鳞状上皮细胞NSCLC。

    在AVAIL研究中,已经公布的研究结果显示,贝伐单抗联合GP方案未改善OS,主要研究者Manegold 教授将其归因于大量患者接受了一线治疗方案后的二线治疗[化疗、酪氨酸激酶抑制剂(TKI)、外科治疗和其他干预措施],这些后续治疗的潜在效应可能干扰了对生存期的分析。
, 百拇医药
    图 ECOG 4599研究总生存和无进展生存曲线(PC:紫杉醇+卡铂;BPC:贝伐单抗+PC)

    表1 ECOG 4599研究治疗不良反应

    不良事件类型PC组(440例)BPC组(427例)P值

    例数(%)3级4级5级3级4级5级

    中性粒细胞减少74(16.8)109(25.5)0.002

    血小板减少1(0.2)7(1.6)0.04

    贫血4(0.9)0NS

    中性粒细胞减少性发热8(1.8)1(0.2)17(4.0)5(1.2)0.02

, 百拇医药     低钠血症4(0.9)1(0.2)11(2.6)4(0.9)0.02

    高血压2(0.5)1(0.2)29(6.8)1(0.2)<0.001

    蛋白尿11(2.6)2(0.5)<0.001

    头痛2(0.5)13(3.0)0.003

    皮疹或脱屑2(0.5)10(2.3)0.02

    出血事件3(0.7)19(4.4)<0.001

    PC:紫杉醇+卡铂; BPC:贝伐单抗+PC; NS:无显著性差异

    表2 AVAIL研究有效率与生存数据

    GP组GP+7.5 mg/kgP值GP+15mg /kgP值
, 百拇医药
    (347例)贝伐单抗组(与GP组相比)贝伐单抗组(与GP组相比)

    RR[%(例数)]20(324)34(345)<0.000130(351)0.0017

    PFS(月)6.26.80.00036.60.0456

    OS(月)13.113.6NS13.4NS

    NS:无显著性差异

    表3 AVAIL研究不良反应发生率数据

    GP组GP+7.5 mg/kgGP+15mg /kg

    贝伐单抗组贝伐单抗组

    ≥3级血液学毒性反应(%)
, 百拇医药
    中性粒细胞减少324036

    血小板减少232723

    贫血141010

    中性粒细胞减少性发热122

    ≥3级非血液学不良反应(%)

    出血244

    咯血0.61.50.9

    高血压269

    蛋白尿00.31

    消化道穿孔0.600.3

    缺血性事件523
, http://www.100md.com
    静脉血栓形成677

    表4 ECOG 4599研究和AVAIL研究数据比较

    GP组GP+7.5 mg/kgGP+15 mg /kgPC组PC+15 mg/kg

    贝伐单抗组贝伐单抗组贝伐单抗组

    病例数(例)347345351433417

    RR(%)2034301535

    PFS(月)6.26.86.64.56.2

    OS(月)13.113.613.410.312.3

    ■ 点评

, 百拇医药     在ESMO会议上关于贝伐单抗的专题讨论中,巴黎大学古斯塔夫·鲁西研究所的索里亚(Soria)教授认为在AVAIL研究中,对照组13.1个月的OS优于GP方案一线治疗NSCLC的其他试验结果(8.1~11个月),其主要原因是该研究入组了较高比例的非吸烟者(24%)。

    Soria教授认为,ECOG 4599研究和AVAIL研究的疗效结果存在差异(表4)。AVAIL研究提示,低剂量贝伐单抗也是安全和有效的,甚至疗效要略优于高剂量。而在ECOG 4599研究中,PFS的获益程度(HR=0.66)要高于AVAIL研究,且紫杉醇+卡铂联合贝伐单抗产生了明显的生存益处。造成这种分歧的原因目前尚不清楚,可能由于治疗人群的不同和所使用的化疗方案不同,与PC方案相比,GP方案与贝伐单抗联合应用时可能降低了贝伐单抗的附加效应。

    故Soria教授认为,紫杉醇联合卡铂可能是与贝伐单抗联合的更佳方案。

    ■ 尚待解决的问题
, 百拇医药
    ECOG 4599和AVAIL 研究的维持治疗方案使用了相同的治疗策略,即贝伐单抗在化疗结束后维持治疗直至肿瘤进展或出现明显的治疗相关毒副反应。目前有临床前研究证实,在停止使用抗VEGF治疗时,肿瘤血管倾向于重新生长,重新生长的肿瘤血管结构与未经抗肿瘤血管治疗者相似,均有VEGFR表达和对VEGF的依赖。这些研究结果提供了贝伐单抗维持治疗的理论依据,并且能够解释为什么单用贝伐单抗就能够延长疾病进展时间。目前,还不清楚贝伐单抗维持治疗是否有额外的获益,因此,对稳定期和一线治疗有效的患者,是否采用维持治疗及维持治疗的时间是将来临床研究中应该解决的关键问题。

    尽管上述两项临床研究给初治的晚期NSCLC患者的治疗带来了新的曙光,目前贝伐单抗联合铂类药物为主的化疗方案尚不能作为一个治疗的普遍标准。因为重要的患者亚组被从这些研究中排除,包括组织学类型为鳞癌的患者,出现脑转移、有抗凝治疗史的NSCLC患者。但在AVAIL试验中有9%的患者曾接受过抗凝治疗,且并未发生严重的肺出血。由于这些入组限制条件,根据目前的指南,只有<50%的晚期NSCLC患者可接受贝伐单抗联合化疗的治疗方案。
, 百拇医药
    到目前为止,贝伐单抗治疗NSCLC还有需要解决的问题,包括明确可预测疗效的生物学或临床指标、用药的最佳剂量、化疗结束后贝伐单抗维持治疗时限、对脑转移的疗效、与其他分子靶向治疗联合的有效性及在辅助治疗中的作用等,要回答上述问题需要开展更进一步的临床试验。

    小结 以上研究表明,贝伐单抗联合化疗可延长晚期NSCLC患者PFS,治疗总体安全性良好,是第一个可延长晚期NSCLC患者生存期至超过1年的一线治疗药物,可以说是晚期NSCLC治疗领域的重大突破。

    以上两项Ⅲ期临床研究的结果提示,抗肿瘤新生血管与多种化疗方案联合的一线治疗可能均有效,而且联合低剂量与标准剂量贝伐单抗均可提高疗效,这两项研究的结果对今后肺癌一线治疗具有重要指导意义。, http://www.100md.com