烧伤后急性肾功能衰竭
http://www.100md.com
大众医药网
【概述】
烧伤后低血容量性休克是引起急性肾功能衰竭的主要原因。休克时入球动脉血压降低或血清钠减少,刺激肾球旁装置,产生大量肾毒、血管紧张素Ⅱ,使肾血管收缩,肾脏缺血缺氧,肾小球虑过率降低,出现少尿甚至无尿。
【诊断】
1、少尿
补足血容量及水分后仍少尿,少尿应鉴别肾前性及肾后性。
2、尿比重低
固定在1.010~1.018,尿沉渣有粒管型、上皮细胞碎片、红细胞和白细胞。
3、氮质血症
尿尿素氮/血尿素氮<14∶1,尿肌酐/血肌酐<10∶1,血尿素氮/血肌酐<10∶1
, http://www.100md.com
4、自由水清除率的测定
自由水清除率正常值是负值,越接近零值,说明肾功能损害越严重。自由水清除率比血液化学测定(BUN,Cr)敏感,有助于早期诊断。
5、滤过钠排泄分数FENa
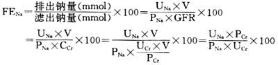
肾功不全为功能性改变时,肾小管能大量地重吸收钠离子,FENa减少;而肾小管器质性改变时,对钠离子的重吸收能力明显下降,FENa增大,因而可通过FENa来推测肾小管对钠重吸入的能力,从而判断肾功不全的性质和程度,其计算公式为:
注:UNa尿钠(mmol);Pna血钠(mmol);
, 百拇医药
Cr肌酐清除率;PCr血肌酐(mg/dl);
V尿量(L);GFR肾小球滤过率;
UCr尿肌酐(mg/dl);
FENa正常值1~3。
FENa<1提示肾功能不全为肾前性或功能性的。FENa>3提示急性肾小管损害,肾功不全为肾性的或器质性的。
【治疗措施】
1、积极有效的抗休克、抗感染和创面处理
是防止发生急性肾衰的关键。早期切除坏死组织同时覆盖创面,可避免霉素释放和感染。
, http://www.100md.com
2、能量供应
烧伤后急性肾衰每日需供应5000KCal热量,必须通过口服联合静脉供给营养的方法来达到。为减少液体入量,可应用浓缩的高热量静脉营养。对急性肾衰患者使用一定量的必需氨基酸并不会使尿素氮升高,相反有了充足的必需氨基酸及热量供应,促使利用内源性尿素,以减少内源性蛋白质的分解,使血尿素氮下降,财时也降低血钾,但对肌酐清除率明显下降的病人,应适当控制蛋白质的供应量。
3、控制液体入量
在治疗过程中要严防输液过多,每天测体重,准确估计病人的液体入量。
成人烧伤合并ARF的液体需要量=500ml+24小时尿量+胃肠丢失量+体表蒸发失水量+额外失水量。
额外丢失量包括气管切开失水量1000ml、使用热吹风时增加的失水量2000~3000ml。
, 百拇医药
4、透析治疗
常用的有腹膜透析和血液透析两种方法。腹膜透析方法简便,使用高渗透析液较易控制体液过多,不必限制饮食。但腹膜透析时间长,不便于翻身和创面处理;白蛋白和氨基酸丢失较多;易并发腹腔和胸腔的感染。
血液透析需要作动静脉瘘手术;血液通过透析器时必须进行肝素化,操作相对复杂些,但血液透析每次透析时间短有利于创面处理,无腹腔和胸腔感染的危险,而且血液透析效果好,速度快。
透析的指征:①血清钾高于6.5mEq/L;②水中毒、充血性心力衰竭、肺水肿、脑水肿、软组织水肿;③血尿素氮大于100mg/dl或每日上升30mg/dl;④进行性酸中毒,CO2-CP<15mmol/L或血pH<7.15者。
【病因学】
1、休克
, http://www.100md.com
烧伤后低血容量性休克是引起急性肾功能衰竭的主要原因。休克时入球动脉血压降低或血清钠减少,刺激肾球旁装置,产生大量肾毒、血管紧张素Ⅱ,使肾血管收缩,肾脏缺血缺氧,肾小球虑过率降低,出现少尿甚至无尿。
2、毒性物质
严重的深度烧伤及败血症时产生有毒物质,包括游离的血红蛋白、肌红蛋白、细菌霉素均可直接或单位地加重肾损害。
3、抗生素
氨基糖甙类抗生素、多粘菌素B、磺胺类药物对肾脏有霉性反应。
4、其他原因
严重腹泻、热风疗法及应激性糖尿病等原因造成的脱水未及时纠正。休克期血容量补足前大剂量应用血管收缩剂或利尿可预发肾功不全。老年病人及伤前有肾脏病患者容量发生肾衰。, 百拇医药
烧伤后低血容量性休克是引起急性肾功能衰竭的主要原因。休克时入球动脉血压降低或血清钠减少,刺激肾球旁装置,产生大量肾毒、血管紧张素Ⅱ,使肾血管收缩,肾脏缺血缺氧,肾小球虑过率降低,出现少尿甚至无尿。
【诊断】
1、少尿
补足血容量及水分后仍少尿,少尿应鉴别肾前性及肾后性。
2、尿比重低
固定在1.010~1.018,尿沉渣有粒管型、上皮细胞碎片、红细胞和白细胞。
3、氮质血症
尿尿素氮/血尿素氮<14∶1,尿肌酐/血肌酐<10∶1,血尿素氮/血肌酐<10∶1
, http://www.100md.com
4、自由水清除率的测定

自由水清除率正常值是负值,越接近零值,说明肾功能损害越严重。自由水清除率比血液化学测定(BUN,Cr)敏感,有助于早期诊断。
5、滤过钠排泄分数FENa
肾功不全为功能性改变时,肾小管能大量地重吸收钠离子,FENa减少;而肾小管器质性改变时,对钠离子的重吸收能力明显下降,FENa增大,因而可通过FENa来推测肾小管对钠重吸入的能力,从而判断肾功不全的性质和程度,其计算公式为:

注:UNa尿钠(mmol);Pna血钠(mmol);
, 百拇医药
Cr肌酐清除率;PCr血肌酐(mg/dl);
V尿量(L);GFR肾小球滤过率;
UCr尿肌酐(mg/dl);
FENa正常值1~3。
FENa<1提示肾功能不全为肾前性或功能性的。FENa>3提示急性肾小管损害,肾功不全为肾性的或器质性的。
【治疗措施】
1、积极有效的抗休克、抗感染和创面处理
是防止发生急性肾衰的关键。早期切除坏死组织同时覆盖创面,可避免霉素释放和感染。
, http://www.100md.com
2、能量供应
烧伤后急性肾衰每日需供应5000KCal热量,必须通过口服联合静脉供给营养的方法来达到。为减少液体入量,可应用浓缩的高热量静脉营养。对急性肾衰患者使用一定量的必需氨基酸并不会使尿素氮升高,相反有了充足的必需氨基酸及热量供应,促使利用内源性尿素,以减少内源性蛋白质的分解,使血尿素氮下降,财时也降低血钾,但对肌酐清除率明显下降的病人,应适当控制蛋白质的供应量。
3、控制液体入量
在治疗过程中要严防输液过多,每天测体重,准确估计病人的液体入量。
成人烧伤合并ARF的液体需要量=500ml+24小时尿量+胃肠丢失量+体表蒸发失水量+额外失水量。
额外丢失量包括气管切开失水量1000ml、使用热吹风时增加的失水量2000~3000ml。
, 百拇医药
4、透析治疗
常用的有腹膜透析和血液透析两种方法。腹膜透析方法简便,使用高渗透析液较易控制体液过多,不必限制饮食。但腹膜透析时间长,不便于翻身和创面处理;白蛋白和氨基酸丢失较多;易并发腹腔和胸腔的感染。
血液透析需要作动静脉瘘手术;血液通过透析器时必须进行肝素化,操作相对复杂些,但血液透析每次透析时间短有利于创面处理,无腹腔和胸腔感染的危险,而且血液透析效果好,速度快。
透析的指征:①血清钾高于6.5mEq/L;②水中毒、充血性心力衰竭、肺水肿、脑水肿、软组织水肿;③血尿素氮大于100mg/dl或每日上升30mg/dl;④进行性酸中毒,CO2-CP<15mmol/L或血pH<7.15者。
【病因学】
1、休克
, http://www.100md.com
烧伤后低血容量性休克是引起急性肾功能衰竭的主要原因。休克时入球动脉血压降低或血清钠减少,刺激肾球旁装置,产生大量肾毒、血管紧张素Ⅱ,使肾血管收缩,肾脏缺血缺氧,肾小球虑过率降低,出现少尿甚至无尿。
2、毒性物质
严重的深度烧伤及败血症时产生有毒物质,包括游离的血红蛋白、肌红蛋白、细菌霉素均可直接或单位地加重肾损害。
3、抗生素
氨基糖甙类抗生素、多粘菌素B、磺胺类药物对肾脏有霉性反应。
4、其他原因
严重腹泻、热风疗法及应激性糖尿病等原因造成的脱水未及时纠正。休克期血容量补足前大剂量应用血管收缩剂或利尿可预发肾功不全。老年病人及伤前有肾脏病患者容量发生肾衰。, 百拇医药