尼索地平
http://www.100md.com
大众医药网
(硝苯异丙啶)
【药物别名】 尼尔欣、蒂益欣
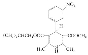
【分子式成分】 化学名为1,4--二氢--2,6--二甲基--4--(2--硝基苯)--3,5--吡啶二羧酸异丁甲酯。
【制剂规格】 片剂:5mg;10mg。缓释片:10mg。胶囊:5mg。
【药理毒理】 尼索地平是一种新型二氢吡啶类钙通道阻滞剂,化学结构与硝苯地平相似,临床用于治疗全身性高血压和心绞痛,少数用于治疗充血性心衰。它通过抑制钙离子进入可兴奋的组织,引起外周血管和冠脉血管舒张。尼索地平的舒张外周血管作用比维拉帕米强,但对心脏传导的作用不如维拉帕米。
1 降低全身血管的阻力和血压
, 百拇医药
钙通道阻滞剂具有舒张动脉血管的作用,舒张外周血管的作用是硝苯地平的5-10倍。Soward等研究发现,正常人口服尼索地平10-20mg,血压有轻微的剂量依赖性下降伴有轻度的心率加快。同样剂量的尼索地平用于治疗高血压时,对血压的作用更加明显。
2 对心率的影响
关于口服尼索地平对心率的作用报道不一致,一项研究表明,在安静状态或剧烈运动状态下,药物对心率无影响;另一项研究却报告,口服尼索地平在上述两种状态下均引起心率加快。
3 降低冠脉血管阻力和增加冠状窦血流
尼索地平是一种有效的冠状血管舒张剂。它在人体内有减少冠状血管阻力和增加冠状血流量的作用。尼索地平对正常心肌和局部缺血心肌均有增加血流量的作用。尼索地平能明显扩张心外膜冠状动脉的正常段和狭窄段。与其他冠状舒张药如双嘧达莫(潘生丁)等不同,服用尼索地平并不引起冠状血流改道现象。Rousseau等的研究表明,口服尼索地平10-20mg/d的长疗程中,并未发现冠状血流改道引起的心脑缺血的征候。
, http://www.100md.com
4 改善心脏和肺的血液流动力学
几名研究者将尼索地平iv、口服及冠状注射治疗冠状脉疾病,结果发现肺楔压没有变化。Freedman等报道尼索地平能减少运动下肺楔压的升高,而ram等的研究表明,在剧烈运动状态下口服尼索地平10mg,可使肺楔压降低。一切研究展示了尼索地平改善肺的血液动力学。在另一研究中,剧烈运动状态下口服尼索地平5mg,使平均肺动脉压显著降低约15%。Amende等用冠状注射尼索地平发现,在局部缺血前对肺毛细血管压无影响,但对局部缺血引起的肺毛细血管压升高有微小的减弱作用。
很多研究表明,心输出量/心脏指数在服用尼索地平后明显升高。Josephs等发现,口服尼索地平1.5μg/kg后,安静状态下心输出量增加17%,运动状态下增加6%。Ram等的研究表明,口服尼索地平10mg后心输出量在安静状态和运动下均增长。左心室功能受损的病人,服尼索地平后其心脏指数和心输出量均显著增加。
, http://www.100md.com 大多数钙通道阻滞剂具有心肌抑制作用,一般不宜用于左心室功能不良/低射血分数者,而治疗剂量的尼索地平没有心肌抑制作用,而且可能提高左心室的射血分数。在剧烈运动时,尼索地平显著增加左心室射血分数。Serrings等研究表明,尼索地平2μg/kg·min,iv3min,25各部位的不正常收缩恢复正常,从而提高了射血分数。
4.其它作用
钙通道阻滞剂并不舒张肾的血管系统,因此没有血管紧张钛酶原血管紧张肽-醛固酮系统的激活作用。正在研究的钙通道阻滞剂对血小板的活化有抑制作用。运动对富含血小板血浆的聚集反应有增强作用,实验表明服尼索地平10mg\d,每日一次将抑制这种作用.尽管结果不明显,这项关于抑制血小板聚集反应的发现仍十分有意义,值得进一步研究。长期服用治疗剂量的尼索地平片对血糖和血脂浓度几乎没有影响。对血脂正常的高血压病人进行短期研究,结果表明病人的脂蛋白浓度发生了有利的变化。
各种血管疾病病人服用治疗剂量的尼索地平的电生理学研究表明,心脏的传导时间和不应期无明显变化。
, 百拇医药
【药 动 学】 尼索地平口服后吸收良好,1.5h后达峰浓度,其血药浓度呈剂量依赖性。尼索地平在首次通过肝脏时即迅速代谢,故其生物利用度很低。药物的蛋白结合率很高,分布容积大,使其具有较高的组织穿透作用。
尼索地平的半衰期已报道为2-15h,没有活性代谢产物。药物及其代谢产物主要通过尿排泄,患肝病者其消除半衰期延长,肾功能不全者对尼索地平的药代动力学的影响还未见报道。
胶囊健康成人口服本品40mg后可很快吸收,达峰时间为0.94±0.28h,消除半衰期为9.19±2.5h。吸收后可在各组织中分布,体内几乎全部被代谢,主代谢途径为由1,4---二氢吡啶环脱氢生成吡啶环,异丁基羟基化生成三元醇,酯开裂生成一元羧酸。大部分经尿中排泄,少部分经粪便排泄。
【适 应 证】 钙离子拮抗剂,具冠状血管扩张作用和抗高血压作用。适应治疗心衰和高血压危象,作用迅速。
, 百拇医药
【不良反应】 有时出现轻度,一过性心悸、面红、头晕、耳鸣、乏力、恶心、皮疹等。
(1)循环系统:有时出现心悸、血压降低、胸部痛、面红、热感。 (2)精神神经系统:有时出现头痛、头晕、耳鸣、乏力。 (3)消化系统:有时出现腹痛、腹泄、恶心。 (4)肝脏:有时出现GOT、GPT、ALP的异常。 (5)肾脏:有时出现BUN异常。 (6)过敏症:有时出现皮疹。 (7)偶见尿频、牙龈增生、男性乳房女性化。
【用法用量】 片剂:通常每次10mg,一天2次,口服。
胶囊:口服,成人每次5~10mg,每日2次。
【注意事项】 尼索地平的不良反应,轻微而短暂与剂量有关。常见不良反应与其它二氢吡啶类钙阻滞剂相似,有头痛、心悸、面色潮红、头晕、腿水肿、焦虑不安、疲劳、胃肠紊乱等。突然停药会导致不稳定性心绞痛。 休克患者禁用。孕妇及哺乳期妇女禁用。过度血压低的患者、严重肝功能障碍的患者、高龄患者应慎用。停药时应逐渐减量。
【生产单位】
山东新华制药股份有限公司、批准文号:国药准字(1999)X-48号
江苏帝益药业有限公司、批准文号:国药准字X20010056, http://www.100md.com

【药物别名】 尼尔欣、蒂益欣
【分子式成分】 化学名为1,4--二氢--2,6--二甲基--4--(2--硝基苯)--3,5--吡啶二羧酸异丁甲酯。
【制剂规格】 片剂:5mg;10mg。缓释片:10mg。胶囊:5mg。
【药理毒理】 尼索地平是一种新型二氢吡啶类钙通道阻滞剂,化学结构与硝苯地平相似,临床用于治疗全身性高血压和心绞痛,少数用于治疗充血性心衰。它通过抑制钙离子进入可兴奋的组织,引起外周血管和冠脉血管舒张。尼索地平的舒张外周血管作用比维拉帕米强,但对心脏传导的作用不如维拉帕米。
1 降低全身血管的阻力和血压
, 百拇医药
钙通道阻滞剂具有舒张动脉血管的作用,舒张外周血管的作用是硝苯地平的5-10倍。Soward等研究发现,正常人口服尼索地平10-20mg,血压有轻微的剂量依赖性下降伴有轻度的心率加快。同样剂量的尼索地平用于治疗高血压时,对血压的作用更加明显。
2 对心率的影响
关于口服尼索地平对心率的作用报道不一致,一项研究表明,在安静状态或剧烈运动状态下,药物对心率无影响;另一项研究却报告,口服尼索地平在上述两种状态下均引起心率加快。
3 降低冠脉血管阻力和增加冠状窦血流
尼索地平是一种有效的冠状血管舒张剂。它在人体内有减少冠状血管阻力和增加冠状血流量的作用。尼索地平对正常心肌和局部缺血心肌均有增加血流量的作用。尼索地平能明显扩张心外膜冠状动脉的正常段和狭窄段。与其他冠状舒张药如双嘧达莫(潘生丁)等不同,服用尼索地平并不引起冠状血流改道现象。Rousseau等的研究表明,口服尼索地平10-20mg/d的长疗程中,并未发现冠状血流改道引起的心脑缺血的征候。
, http://www.100md.com
4 改善心脏和肺的血液流动力学
几名研究者将尼索地平iv、口服及冠状注射治疗冠状脉疾病,结果发现肺楔压没有变化。Freedman等报道尼索地平能减少运动下肺楔压的升高,而ram等的研究表明,在剧烈运动状态下口服尼索地平10mg,可使肺楔压降低。一切研究展示了尼索地平改善肺的血液动力学。在另一研究中,剧烈运动状态下口服尼索地平5mg,使平均肺动脉压显著降低约15%。Amende等用冠状注射尼索地平发现,在局部缺血前对肺毛细血管压无影响,但对局部缺血引起的肺毛细血管压升高有微小的减弱作用。
很多研究表明,心输出量/心脏指数在服用尼索地平后明显升高。Josephs等发现,口服尼索地平1.5μg/kg后,安静状态下心输出量增加17%,运动状态下增加6%。Ram等的研究表明,口服尼索地平10mg后心输出量在安静状态和运动下均增长。左心室功能受损的病人,服尼索地平后其心脏指数和心输出量均显著增加。
, http://www.100md.com 大多数钙通道阻滞剂具有心肌抑制作用,一般不宜用于左心室功能不良/低射血分数者,而治疗剂量的尼索地平没有心肌抑制作用,而且可能提高左心室的射血分数。在剧烈运动时,尼索地平显著增加左心室射血分数。Serrings等研究表明,尼索地平2μg/kg·min,iv3min,25各部位的不正常收缩恢复正常,从而提高了射血分数。
4.其它作用
钙通道阻滞剂并不舒张肾的血管系统,因此没有血管紧张钛酶原血管紧张肽-醛固酮系统的激活作用。正在研究的钙通道阻滞剂对血小板的活化有抑制作用。运动对富含血小板血浆的聚集反应有增强作用,实验表明服尼索地平10mg\d,每日一次将抑制这种作用.尽管结果不明显,这项关于抑制血小板聚集反应的发现仍十分有意义,值得进一步研究。长期服用治疗剂量的尼索地平片对血糖和血脂浓度几乎没有影响。对血脂正常的高血压病人进行短期研究,结果表明病人的脂蛋白浓度发生了有利的变化。
各种血管疾病病人服用治疗剂量的尼索地平的电生理学研究表明,心脏的传导时间和不应期无明显变化。
, 百拇医药
【药 动 学】 尼索地平口服后吸收良好,1.5h后达峰浓度,其血药浓度呈剂量依赖性。尼索地平在首次通过肝脏时即迅速代谢,故其生物利用度很低。药物的蛋白结合率很高,分布容积大,使其具有较高的组织穿透作用。
尼索地平的半衰期已报道为2-15h,没有活性代谢产物。药物及其代谢产物主要通过尿排泄,患肝病者其消除半衰期延长,肾功能不全者对尼索地平的药代动力学的影响还未见报道。
胶囊健康成人口服本品40mg后可很快吸收,达峰时间为0.94±0.28h,消除半衰期为9.19±2.5h。吸收后可在各组织中分布,体内几乎全部被代谢,主代谢途径为由1,4---二氢吡啶环脱氢生成吡啶环,异丁基羟基化生成三元醇,酯开裂生成一元羧酸。大部分经尿中排泄,少部分经粪便排泄。
【适 应 证】 钙离子拮抗剂,具冠状血管扩张作用和抗高血压作用。适应治疗心衰和高血压危象,作用迅速。
, 百拇医药
【不良反应】 有时出现轻度,一过性心悸、面红、头晕、耳鸣、乏力、恶心、皮疹等。
(1)循环系统:有时出现心悸、血压降低、胸部痛、面红、热感。 (2)精神神经系统:有时出现头痛、头晕、耳鸣、乏力。 (3)消化系统:有时出现腹痛、腹泄、恶心。 (4)肝脏:有时出现GOT、GPT、ALP的异常。 (5)肾脏:有时出现BUN异常。 (6)过敏症:有时出现皮疹。 (7)偶见尿频、牙龈增生、男性乳房女性化。
【用法用量】 片剂:通常每次10mg,一天2次,口服。
胶囊:口服,成人每次5~10mg,每日2次。
【注意事项】 尼索地平的不良反应,轻微而短暂与剂量有关。常见不良反应与其它二氢吡啶类钙阻滞剂相似,有头痛、心悸、面色潮红、头晕、腿水肿、焦虑不安、疲劳、胃肠紊乱等。突然停药会导致不稳定性心绞痛。 休克患者禁用。孕妇及哺乳期妇女禁用。过度血压低的患者、严重肝功能障碍的患者、高龄患者应慎用。停药时应逐渐减量。
【生产单位】
山东新华制药股份有限公司、批准文号:国药准字(1999)X-48号
江苏帝益药业有限公司、批准文号:国药准字X20010056, http://www.100md.com