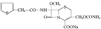
头孢西丁钠
http://www.100md.com
大众医药网
(噻吩甲氧头孢菌素,甲氧头霉噻吩)
是由链霉菌 Streptomyces lactamdurans产生的头霉素(Cephamycin C,即甲氧头孢菌素C),经半合成制得的一类新型抗生素,其母核与头孢菌素相似,且抗菌性能也类似,习惯列入第二代头孢菌素类中。
【性状】白色结晶性粉末,溶于水;水溶液呈浅琥珀色。其游离酸的pKa为3.5,新制备液的pH为4.2~7.0。
【药理及应用】作用与第二代头孢菌素相似。对革兰阳性菌的抗菌性能弱。对革兰阴性菌作用强。对大肠杆菌、克雷白杆菌、流感嗜血杆菌、淋球菌、奇异变形杆菌、吲哚阳性变形杆菌等有抗菌作用。本品还对一些厌氧菌有良好的作用,如消化球菌、消化链球菌、梭状芽胞杆菌、拟杆菌(包括脆弱拟杆菌)对本品敏感。绿脓杆菌、肠球菌和阴沟杆菌的多数菌株对本品不敏感。
肌注1g,血药浓度于20~30分钟达峰值,约为24μg/ml;静注1g,5分钟血药浓度为110μg/ml,4小时降为1μg/ml。t1/2~1小时。约85%药物以原形于6小时内由尿排泄。肌注1g,尿药峰浓度可达3000μg/ml。
临床应用于敏感的革兰阴性菌或厌氧菌所致的下呼吸道、泌尿生殖系、腹腔、骨和关节、皮肤和软组织等部位感染,也可用于败血症。
【用法】成人:1次1~2g,1日3~4次。肾功能不全者按其肌酐清除率制订给药方案:肌酐清除率为30~50ml/分者每8~12小时用1~2g;10~29ml/分者每12~24小时用1~2g;5~9ml/分者每12~24小时用0.5~1g;<5ml/分者每24~48小时用0.5~1g。
【注意】参见头孢呋辛
【药物相互作用】本品与多数头孢菌素均有拮抗作用,配伍应用可致抗菌疗效减弱。
【制剂】注射用头孢西丁钠:每瓶1g。, 百拇医药

是由链霉菌 Streptomyces lactamdurans产生的头霉素(Cephamycin C,即甲氧头孢菌素C),经半合成制得的一类新型抗生素,其母核与头孢菌素相似,且抗菌性能也类似,习惯列入第二代头孢菌素类中。
【性状】白色结晶性粉末,溶于水;水溶液呈浅琥珀色。其游离酸的pKa为3.5,新制备液的pH为4.2~7.0。
【药理及应用】作用与第二代头孢菌素相似。对革兰阳性菌的抗菌性能弱。对革兰阴性菌作用强。对大肠杆菌、克雷白杆菌、流感嗜血杆菌、淋球菌、奇异变形杆菌、吲哚阳性变形杆菌等有抗菌作用。本品还对一些厌氧菌有良好的作用,如消化球菌、消化链球菌、梭状芽胞杆菌、拟杆菌(包括脆弱拟杆菌)对本品敏感。绿脓杆菌、肠球菌和阴沟杆菌的多数菌株对本品不敏感。
肌注1g,血药浓度于20~30分钟达峰值,约为24μg/ml;静注1g,5分钟血药浓度为110μg/ml,4小时降为1μg/ml。t1/2~1小时。约85%药物以原形于6小时内由尿排泄。肌注1g,尿药峰浓度可达3000μg/ml。
临床应用于敏感的革兰阴性菌或厌氧菌所致的下呼吸道、泌尿生殖系、腹腔、骨和关节、皮肤和软组织等部位感染,也可用于败血症。
【用法】成人:1次1~2g,1日3~4次。肾功能不全者按其肌酐清除率制订给药方案:肌酐清除率为30~50ml/分者每8~12小时用1~2g;10~29ml/分者每12~24小时用1~2g;5~9ml/分者每12~24小时用0.5~1g;<5ml/分者每24~48小时用0.5~1g。
【注意】参见头孢呋辛
【药物相互作用】本品与多数头孢菌素均有拮抗作用,配伍应用可致抗菌疗效减弱。
【制剂】注射用头孢西丁钠:每瓶1g。, 百拇医药