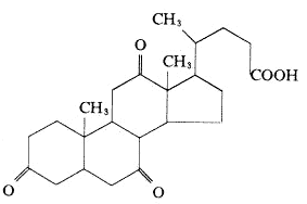
去氢胆酸〔典〕〔基〕 Dehydrocholic Acid
http://www.100md.com
大众医药网
(脱氢胆酸,Dehydrocholin)
【性状】白色疏松状粉末;无臭,无味。在氯仿中略溶,在乙醇中微溶,在水中几乎不溶,在氢氧化钠试液中溶解。
【药理及应用】本品为胆酸的合成衍生物,可促进胆汁分泌,惟其固体成分并不增加,对脂肪的消化及吸收有促进作用,但不能增加口服维生素K的吸收。临床上用于胆囊及胆道功能失调,胆囊切除后综合征、慢性胆囊炎、胆石症及某些肝脏疾患(如慢性肝炎)。
【用法】口服,每次0.25~15g,1日3次;或用其钠盐溶液静注,每日0.5g,以后可根据病情逐渐增加至每日2g。与阿托品或硫酸镁合用可试用于排出胆道小结石。
【注意】对胆道完全阻塞及严重肝肾功能减退病人忌用。
【制剂】片剂:每片0.25g。注射液(钠盐):每支0.5g(10ml);1g(5ml);2g(10ml)。, 百拇医药

【性状】白色疏松状粉末;无臭,无味。在氯仿中略溶,在乙醇中微溶,在水中几乎不溶,在氢氧化钠试液中溶解。
【药理及应用】本品为胆酸的合成衍生物,可促进胆汁分泌,惟其固体成分并不增加,对脂肪的消化及吸收有促进作用,但不能增加口服维生素K的吸收。临床上用于胆囊及胆道功能失调,胆囊切除后综合征、慢性胆囊炎、胆石症及某些肝脏疾患(如慢性肝炎)。
【用法】口服,每次0.25~15g,1日3次;或用其钠盐溶液静注,每日0.5g,以后可根据病情逐渐增加至每日2g。与阿托品或硫酸镁合用可试用于排出胆道小结石。
【注意】对胆道完全阻塞及严重肝肾功能减退病人忌用。
【制剂】片剂:每片0.25g。注射液(钠盐):每支0.5g(10ml);1g(5ml);2g(10ml)。, 百拇医药