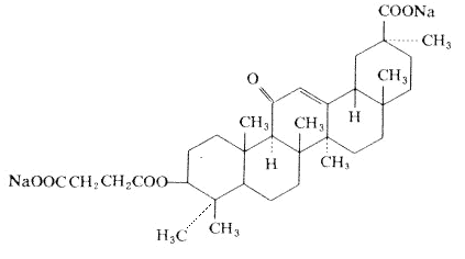
甘珀酸钠 Carbenoxolone Sodium
http://www.100md.com
大众医药网
(生胃酮钠,BIOGASTRONE,DUOGASTRONE)
【性状】为甘草次酸的半琥珀酸酯二钠盐。白色或类白色粉末;味微甜继带皂味;有引湿性。粉末对鼻粘膜有刺激。在水中易溶,在乙醇中溶解,在氯仿或乙醇中不溶。
【药理及应用】本品能增加胃粘膜的粘液分泌,减少胃上皮细胞的脱落,能在胃粘膜细胞内抑制胃蛋白酶原,在胃内可与胃蛋白酶结合,抑制酶的活力约50%,从而保护溃疡面,促进组织再生和愈合。本品还通过刺激肾上腺或增强内源性皮质激素的作用而呈现抗炎作用。本品大部在胃中吸收,胃内pH>2时,吸收减少。有肠肝循环,主要自粪便排泄。99%以上与血浆蛋白结合,血浆中治疗浓度为10~100μg/ml。临床主要用于治疗慢性胃溃疡,对不宜手术和不能卧床休息的患者尤为适用。对十二指肠溃疡疗效略差;凝胶或糖锭用于口腔溃疡。轻度肾上腺皮质功能不全病人也可试用本品治疗。
【用法】口服:每次50~100mg,1日3次;1周后可减为每次50mg,1日3次,饭后服。疗程4~6周,最长不超过3个月。
【注意】本品副作用及不良反应较多,发生率约33.3%。
(1)可有头痛、腹泻、潮红等不良反应。
(2)长期应用也可引起水、钠潴留而出现水肿、血压升高、低血钾,甚至可发生心力衰竭,出现此情况时应停药。为消除水肿,可服保钾利尿剂氨苯蝶啶,长期服药患者饮食应限钠或酌情补钾。
(3)心、肝、肾功能不全及老年患者慎用。
(4)抗酸药及抗胆碱药可能减少本品的吸收;正在使用洋地黄的病人不宜服用本品。
【制剂】片(胶囊)剂:每片(胶囊)50mg。
复方甘珀酸钠片(PYROGASTRONE):为含甘珀酸钠及氢氧化铝等的复方片剂。
【贮法】密闭,贮于干燥处。, http://www.100md.com

【性状】为甘草次酸的半琥珀酸酯二钠盐。白色或类白色粉末;味微甜继带皂味;有引湿性。粉末对鼻粘膜有刺激。在水中易溶,在乙醇中溶解,在氯仿或乙醇中不溶。
【药理及应用】本品能增加胃粘膜的粘液分泌,减少胃上皮细胞的脱落,能在胃粘膜细胞内抑制胃蛋白酶原,在胃内可与胃蛋白酶结合,抑制酶的活力约50%,从而保护溃疡面,促进组织再生和愈合。本品还通过刺激肾上腺或增强内源性皮质激素的作用而呈现抗炎作用。本品大部在胃中吸收,胃内pH>2时,吸收减少。有肠肝循环,主要自粪便排泄。99%以上与血浆蛋白结合,血浆中治疗浓度为10~100μg/ml。临床主要用于治疗慢性胃溃疡,对不宜手术和不能卧床休息的患者尤为适用。对十二指肠溃疡疗效略差;凝胶或糖锭用于口腔溃疡。轻度肾上腺皮质功能不全病人也可试用本品治疗。
【用法】口服:每次50~100mg,1日3次;1周后可减为每次50mg,1日3次,饭后服。疗程4~6周,最长不超过3个月。
【注意】本品副作用及不良反应较多,发生率约33.3%。
(1)可有头痛、腹泻、潮红等不良反应。
(2)长期应用也可引起水、钠潴留而出现水肿、血压升高、低血钾,甚至可发生心力衰竭,出现此情况时应停药。为消除水肿,可服保钾利尿剂氨苯蝶啶,长期服药患者饮食应限钠或酌情补钾。
(3)心、肝、肾功能不全及老年患者慎用。
(4)抗酸药及抗胆碱药可能减少本品的吸收;正在使用洋地黄的病人不宜服用本品。
【制剂】片(胶囊)剂:每片(胶囊)50mg。
复方甘珀酸钠片(PYROGASTRONE):为含甘珀酸钠及氢氧化铝等的复方片剂。
【贮法】密闭,贮于干燥处。, http://www.100md.com