当前位置: 首页 > 期刊 > 《中国烧伤创疡杂志》 > 1998年第2期
编号:10923092
浅谈框架软膏剂MEBO烧伤膏的物化效应
http://www.100md.com 《中国烧伤创疡杂志》 1998年第2期
杜怀恩 冯洪江 聊城地区交通工人医院(252000) 杜怀恩;聊城地区人民医院 冯洪江 中国烧伤创疡杂志 1998 0 0 2
关键词:MEBO 物理化学 药剂 期刊 zgsscyzz 0 专题研究 fur -->

内容摘要 本文通过对MEBO长期的药学基础理论研究,揭示了药物的理化性质在治疗过程中的重要作用,以物理化学为主的各种化学知识解释了湿法治疗烧伤的特点与优势,对于广大医务工作者加深对MEBO药理知识的理解,具有一定的参考价值。

A Brief Talk on the Physicochemical Effect of MEBO with its Characteristic Frame Structure Du Huaien Feng Hongjiang * Hospital for Communications Workers,Liaocheng Prefecture 252000 ** People's Hospital,Liaocheng Prefrcture

Abstract This paper reports the results of the basic theoretical research onthe effect of MEBO and reveals the role of the physicochemical property of the framestructure of MEBO in the treating course.This helps the clinicians better understand thecharacteristics and advantages of MEBO.
Key words MEBO Physicochemical drug

药物在应用于机体后,一般都要发生物理的或化学的变化,不发生变化而能起治疗作用的药剂几乎是不存在的。MEBO应用于烧伤创面,其物理变化与化学变化尤为显著,我们称之为物化效应。以下结合临床实践,浅谈一下物理化学变化在治疗过程中的具体表现。

一、白色药膜的形成

常温下,MEBO是一种浅黄色,半透明的半固体制剂,涂布于烧伤创面后,受体温的影响变成半流体状态。由于MEBO的基质为脂溶性的,创面渗出液的主要成分是水,二者之间有一个相界面,当渗出液以水滴微粒的形式弥散于MEBO的基质中时,我们就看到了白色物质。这是因为光在油和水中的传播速度是不一致的,当光线穿过基质照射到MEBO中的水滴时,在油与水的相界面上,发生了漫反射现象,物理学上称这种反射光为乳光,呈乳白色。每当我们检测创面上的MEBO是否耗尽的时候,用低倍显微镜就可以看到乳白色的药液中既有浅黄色未反应的药物,也有药物包围着的白色水滴微粒。

二、框架的形成

MEBO基质中,蜂蜡是形成框架的基本物质。蜂蜡是由蜜蜂的腹部分泌出来的,是蜜蜂造巢的材料,主要成分是软脂酸蜂蜡脂,分子式为C15 H31 COOC30 H61 [1] ,熔点为62~67℃,可增加药膏的稠度,且有较弱的吸水性,吸水后形成粗的油包水型(W/O)乳剂[2] 。由于蜂蜡分子量较大,熔点较高,且易形成网络,所以起到了框架的作用,这种框架隔断中的每个空间是19~25毫微米。含有大量有效成分的油滴在框架内可自由通过,易被创面吸收,发生降解,包括:水解、酶解、酸败和皂化四种化学变化。蜂蜡则留在了创面的外边,框架与水溶性的物质形成了白色的膜。

三、主动引流的发生

当MEBO这种药剂应用于创面后,基质不断地从机体或空气中吸收热能,发生软化甚至液化,这是一种物理变化过程,溶于麻油的有效成分如:β-谷甾醇、小檗碱、黄芩甙等,由于分子结构中含有亲水基团,可与渗出液中的水以氢键的形式结合,这些分子中的亲油基团则以疏水键的形式与基质结合,根据各种物质的油水分配系数不同而分别停留于不同的物质之中,有的则通过创面的靶细胞或小静脉,进入血液中发挥全身的治疗作用;有的则起到包绕创面渗出液的作用。根据体外加速实验法,作者应用试管内同时加入MEBO与水许水搅拌的乳化试验,证实了水能够均匀存在于MEBO基质中并无分层的现象。说明了主动引流过程是一种物理化学中的乳化分散过程,这与MEBO成分中的物理化学性质有着非常重要的联系。

四、抗感染与止痛作用的发生

细菌与致炎物质的物理性质都是水溶性的,因此,首先溶于创面的渗出液,随着引流的不断进行,创面上的渗出液就源源不断的离开创面,细菌与致炎物质逐渐被稀释,创面逐渐变的清洁无菌、无致炎物质,起到抗感染与止痛作用。当然MEBO中含有的抑菌与止痛成分能够迅速作用于创面,也是不可忽视的重要因素,但脱离了MEBO这种药物的剂型因素同样不能发挥其治疗效果,也就是说MEBO这种药物的主动引流作用能够治本,其中有的药物能急于治标,达到了药物与剂型的完美结合是致关重要的组方目的。这种制剂成功的关键还在于达到了物理化学中的乳化条件,与分子选择性应用化学键的双重作用。

就拿β-谷甾醇来说吧,具史料记载β-谷甾醇一般用于降低血液胆固醇,它既无抗菌作用,也没有抗炎作用,降低胆固醇的原理在于β-谷甾醇在肠道内虽不能被吸收,但能与胆固醇竞争 吸收位置[3] ,从而使血液中胆固醇的含量下降,降低了血粘度,可以促进血液循环。而在MEBO中β-谷甾醇具有①抗炎作用,原理认为是它与甾体激素具有相似的分子结构;②控制和对抗细菌生长的作用,其原理我们根据药物化学中关于物效关系的理论,认为β-谷甾醇与胆固醇具有相似的化学结构式与相同的官能团,而细菌又是一种低级生物,识别能力差,结果在其生物膜的合成过程中,误用了β-谷甾醇作原料[4] ,导致细菌发生变异或基因出现差错。这种温和条件下的抗菌并不需要触杀和胃毒,是依靠分子的固有条件与性质,又有源源不断地供药基质作载体,通过各种药物的物理与化学变化,在需要时显示出特异的性能。

五、适宜的酸碱性与渗透压

凡是抗生的,能引起蛋白质变性的药物,均不利于创面愈合,强酸、强碱以及高渗或低渗都会对创面带来强烈的刺激性。一般干性疗法在创面所用的SD-Ag等,虽能杀菌,但多数能引起蛋白质的变性,酸碱度不合乎要求,创面渗透压过高,破坏酶系统的作用等。MEBO酸碱度接近中性,遇水不变成离子状态,不引起创面渗透压的改变,能创造生理性的湿润环境,保护生物膜,保护细胞正常状态下的物质代谢与能量代谢,也不破坏酶系统的作用,在创面“再造自然”,这是SD-Ag等单纯性的抗菌药所不能代替的。SD-Ag的抗菌原理大家都明白,无非是在创面渗出液的溶解过程中,电离出银离子(Ag+ ),靠促使蛋白质变性来杀灭细菌;另一部分是磺胺嘧啶(SD),阻断细菌对叶酸的利用,影响蛋白质合成。

六、温和的药理作用来源于温合的提取条件

据MEBO发明人徐荣祥教授透露,MEBO中的小檗碱、黄芩素等,都是采取最温和的条件提取的。所谓“温和条件”在《天然药物化学》中是指在提取液中不添加任何强酸或强碱等,这就说明所得到的被提取物不会发生任何结构的改变,也防止了溶媒对药物进行的化学修饰。这说明MEBO中所含的小檗碱与一般药厂生产的盐酸小檗碱有着严格的区别。因此,其药理作用也不尽相同,MEBO中的小檗碱除具有广泛的抗菌作用外,还有松驰平滑肌的作用,即止痛作用,而一般单纯的小檗碱却没有。这种止痛作用追溯到分子结构上看,它与罂粟碱同属于异喹啉类生物碱 ,具有相似的骨架,但目前还没有关于这两种药物是否具有相同止痛原理的报告。

小结:每一种药物的物理性质与化学性质与它的药理作用有着直接联系,由多种药物组成的药剂也是这样,往往药剂制造或应用过程中的某一个细节被忽略,也可能造成药理作用的严重差异,MEBO从制造到应用于临床都采取了“保持原样”的手段,其治疗方式既有物理手段(指主动引流过程),也有化学手段(指“四大”化学反应),作者笼统地称之为物化效应,更重要的是这些物理与化学手段应用的巧妙结合,才显得MEBO具有生命力。

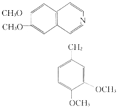
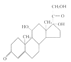
附表:β-谷甾醇、胆固醇、小檗碱、罂粟碱等的分子结构式如图(1-5)

参考文献

[1]山东医科大学,有机化学,244
[2]奚念朱,顾学裘*药剂学*人民卫生出版社,1980,351
[3]李正化*药物化学*人民卫生出版社,第二版,182页
[4]徐荣祥,中国烧伤创疡杂志,1997,3:40

图1 β-谷甾醇(β-Sitosterol)

图2 胆固醇(Cholesterol,Chol)

图3 氢化可的松(Hydrocortisonum),属甾体激素类

图4 小檗碱(Berberine)

图5 罂粟碱(Papaverinum)

说明:结构相近的药物,其药理作用相近或相反。

, 百拇医药