当前位置: 首页 > 期刊 > 《中风与神经疾病杂志》 > 1999年第1期
编号:10678789
MRA和TCD对椎基底动脉短暂缺血性发作的研究
http://www.100md.com 《中风与神经疾病杂志》 1999年第1期
磁共振血管成像|经颅多普勒|脑血流量|椎基底动脉|短暂缺血性发作,关键词:
MRA和TCD对椎基底动脉短暂缺血性发作的研究
MRA和TCD对椎基底动脉短暂缺血性发作的研究

     唐开雄 陈瑞陶 蔡瑞洲 周剑勇 黄俊杰 龙晚生 莫仲娟 唐开雄 陈瑞陶 蔡瑞洲 黄俊杰 529070 广东江门市中心医院神经内科;周剑勇 耳鼻喉科;龙晚生 放射科;莫仲娟 电生理室 中风与神经疾病杂志 1999 0 16 1


    关键词:磁共振血管成像;经颅多普勒;脑血流量;椎基底动脉;短暂缺血性发作 期刊 zfysjjbzz 0 论著与经验总结 fur -->


    

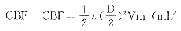
摘 要 目的 探讨椎基底动脉短暂缺血性发作(VBTIA)的发病机理。方法 患者组65例,对照组26例,作磁共振血管成像(MRA)和经颅多普勒(TCD)检查。测量VBTIA的脑血流量(CBF)。结果 对照组双侧椎动脉(VA)CBF为112.3~278.9ml/min(均值195.6),较患者组48.0~262.0ml/min(均值14.90)高(P<0.01)。15例患者CBF降低,双侧VA广泛迂曲者下降明显,均值为107.5ml/min,VA重、中、轻度狭窄或发育不良者均值分别为120.0、141.3、154.2(ml/min)。三者健侧CBF占双侧CBF的百分比分别为91.5%、82.0%、65.8%。结论 通过MRA和TCD可以测量CBF,它是诊断VBTIA的量化指标,对诊断VBTIA和认识其发病机理具有重要意义。

Study of magneticresonance angiography and transcranial

     ......


您现在查看是摘要页,全文长 9357 字符