当前位置: 首页 > 期刊 > 《中草药》 > 1999年第12期
编号:10661459
Triterpenoid Saponins from Yellowflower Milkwort Root(Polygala arillata)
http://www.100md.com 《中草药》 1999年第12期
Triterpenoid Saponins from Yellowflower Milkwort Root (Polygala arillata)
Triterpenoid Saponins from Yellowflower Milkwort Root (Polygala arillata)

     Ouyang Ming'an Wang Hanqing Yang Chongren 欧阳明安,华侨大学化学系(泉州 362011) 中草药 1999 0 30 12


    关键词: 期刊 zcy 0 有效成分 fur -->/info/meeting/meeting02.asp?keyword=中医学


    

Ouyang Ming'an

    
( Department ofChemistry, Huaqiao University, Quanzhou, Fujian 362011 )

    
Yang Chongren

    
( Kunming Institute ofBotany, Chinese Academy of Sciences, Kunming )

    
Wang Hanqing

    
( Lanzhou Institute ofChemical Physics, Chinese Academy of Sciences, Lanzhou )

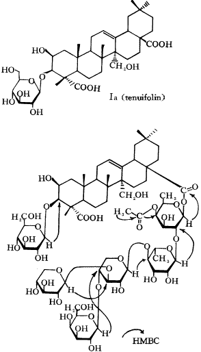
Abstract Six new oleanane-type saponins,arilloside A-F ( Ⅰ~Ⅵ ), along with a known saponin, polygalasaponin ⅩⅩⅩⅤ ( ), were isolated from the root of Polygala arillataBuch.-Ham.. The structures of these new compounds were elucidated as 3-O- β -D-glucopyranosyl presenegenin28-O- β -D-xylopyranosyl(1 4)- α -L-rhamnopyranosyl (1 2)-(3, 4-di-O-acetyl)- β -D-fucopyranoside( ); 3-O- β -D-glucopyranosyl presenegenin 28-O- β -D-xylopyranosyl (1 3)- β -D-xylopyranosyl (1 4)- α -L-rhamnopyranosyl (1 2)- β -D-fucopyranoside( ); 3-O- β -D-glucopyranosyl presenegenin 28-O- β -D-xylopyranosyl (1 3)- β -D-xylopyranosyl (1 4)- α -L-rhamnopyranosyl (1 2)-(3,4-di-O-acetyl)- β -D-fucopyranoside( ); 3-O- β -D-glucopyranosyl presenegenin 28-O- β -D-xylopyranosyl (1 3)- -D-galactopyranosyl (1 4) ] - β -D- β -D-xylopyranosyl (1 4)- α -L-rhamnopyranosyl (1 2)- β -D-fucopyranoside( ); 3-O- β -D-glucopyranosyl presenegenin 28-O- β -D-xylopyranosyl (1 3)- -D-galactopyranosyl (1 4) ] - β -D-xylopyranosyl (1 4)- α -L-rhamnopyranosyl (1 2)-(3-O-acetyl)- β -D-fucopyranoside( ) and 3-O- β -D-glucopyranosyl presenegenin 28-O- β -D-xylopyranosyl (1 3)- -D-galactopyranosyl (1 4) ] - β -D-xylopyranosyl (1 4)- α -L-rhamnopyranosyl (1 2)-(3,4-di-O-acetyl)- β -D-fucopyranoside( ) on the basis of spectroscopic and chemical methods.

     ......


您现在查看是摘要页,全文长 108992 字符