当前位置: 首页 > 期刊 > 《中国生物医学工程学报》 > 2000年第2期
编号:10667272
小腿微波医学成像三维分析模型
http://www.100md.com 《中国生物医学工程学报》 2000年第2期
张国基 吴祥应 季飞 王亦方 赖声礼 张国基(华南理工大学电子与通信工程系,广州 510641);吴祥应(华南理工大学电子与通信工程系,广州 510641);季飞(华南理工大学电子与通信工程系,广州 510641);王亦方(华南理工大学电子与通信工程系,广州 510641);赖声礼(华南理工大学电子与通信工程系,广州 510641) 中国生物医学工程学报 2000 0 19 2
关键词:微波散射;FDTD;白血病无损探测 期刊 zgswyxgcxb 0 生物医学信息 fur -->

通过对人体小腿上部微波散射特性的分析及其成像,可以利用微波探测白血病及监测白血病的治疗过程。本文首次建立了该探测系统的三维分析模型,采用柱坐标系下的时域有限差分(FDTD)法分析人体小腿上部微波散射特性。考虑微波成像的分辨率及检测灵敏度,选取800MHz工作频率,计算了在此工作频率下人体小腿上部微波散射特性及其与白血病病变程度的关系;探讨了天线尺寸对检测结果的影响。数值结果表明,当源采用电偶极子天线时,可以获得较佳的分辨率和检测灵敏度,小腿周围空间电场随白血病发生的幅度变化度最大可达26%,相位变化度达13°。

分类号: R318.03; R318.04

THREE-DIMENSIONAL ANALYTICAL MODEL
OF MICROWAVE IMAGING OF THE LOWER LEG

Zhang Guoji, Wu Xiangying, Ji Fei, Wang Yifang, Lai Shengli
(Electronic Engineering Department, South China University of Technology, Guangzhou,510641)

ABSTRACT

It is feasibleto detect leukemia and monitor its treatment through the analysis of microwave scatteringcharacteristic of the upper leg and its imaging. A three-dimensional analytical model ofthe detecting system was presented. FDTD method in the cylindrical coordinate was used toanalyze microwave scattering characteristic of the lower leg at frequency of 800MHz. Thevariation of microwave scattering characteristic of the lower leg with the leukemiapathological change degree and the effect of antenna size on the detected result werediscussed. The numerical results showed that when the shorter antenna was used as thesource, amplitude variation degree of electrical field around the lower leg with thepresence of leukemia was up to 26% and phase variation degree was up to 13°.
Key words: Microwave scattering; Finite-differenceof time-domain(FDTD); Undesturctive detecting of leukemia

0 引言

白血病多发于青少年,病发时会在小腿上部等骨髓集中的部位富集癌变细胞,由于白血病细胞和周围组织的密度大致相同,具有相近的衰减系数,因而用X射线难于检测。而在微波频段其介电特性却存在明显的差异,白血病细胞会引起骨髓介电常数显著增加,电导率明显减少。1994年首次报道了利用电磁波检测白血病及成像的研究[1~3] 。该模型的机理是根据正常骨髓组织和癌变骨髓组织介电特性的差异,利用人体小腿上部电磁散射近场反演骨髓组织介电参数来探测白血病。
本课题组利用Colton D和Monk P的二维简化模型,采用柱坐标系FDTD法分析了人体小腿上部微波散射特性及其与白血病病变程度的关系[4,5] ,探讨了源的最佳工作频率(范围大约在400MHz~1GHz)及最佳位置(靠近人体小腿上部骨髓组织)、以及探测器的最佳位置(前向散射场径向适当位置)等问题。
在上述工作中,源采用理想的无限长均匀线电流源,在实际应用中难以实现,因而有必要对源作进一步研究。本文对使用对称振子天线作为源的白血病探测系统建立了三维分析模型,采用柱坐标系下FDTD法对人体小腿上部微波散射特性进行了分析,具体计算了典型工作频率(800MHz)的微波散射特性及其与白血病不同病变程度的关系,探讨了天线尺寸对检测结果的影响。数值结果表明,当源采用电偶极子天线时,可以获得较佳的分辨率和检测灵敏度,小腿周围空间电场随白血病发生的幅度变化度最大可达26%,相位变化度达13°。这些结果对研究实际微波成像系统有较大的参考价值。

1 理论分析

FDTD法从依赖时间变量的Maxwell两个旋度方程出发,在电场和磁场各分量交叉设置的网格空间中,利用具有二阶精度的中心差分格式把各场分量满足的微分方程,转化为差分方程。FDTD法解决任何电磁场问题均按初值问题处理,依时间步推进并交替地计算每一离散点的电场和磁场,即能直接模拟电磁波的传播及其与物体的相互作用过程。
图1为白血病微波探测系统,图中小腿假设是膝下6cm处富含骨髓的一段肌体,图2为膝下6cm处横截面结构图,假设小腿上部该段各组织横截面结构及介电参数沿轴向不变。由于在微波频率下血液与肌肉的介电特性相近[6] ,模型中忽略动脉和静脉。

图1 白血病微波探测系统

图2 小腿结构图(膝下6cm的截面)

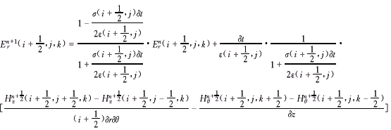
建立图1所示柱坐标系,源辐射电磁波并与小腿相互作用。其散射近场可由探测器测量获得。采用FDTD法分析人体小腿上部的微波散射特性,可以完整地描述电磁波与小腿相互作用过程。考虑到小腿各组织为色散媒质,所以采用点频正弦电流源。Maxwell两个旋度方程在柱坐标系下可离散成下述6个差分公式:

(1)

(2)


(3)

(4)


(5)


(6)

式中为r,θ,z坐标方向上的网格坐标,表示半网格;En+1 r 为r坐标方向n+1时间步的电场分量,为r坐标方向时间步的磁场分量;δr、δθ、δz为r,θ,z坐标方向上的空间步长,δt为时间步长;ε、σ为媒质的介电常数和电导率,u0 为自由空间磁导率;δ(i-i0 ,j-j0 )[u(k-k1 )-u(k-k2 )]表示对称振子天线的空间位置,为天线电流分布,具有如下形式

(7)

式中k为自由空间波数,l为振子天线长度,|z′|为以天线中心为原点的坐标位置。各网格点取相应媒质的介电参数,如果某个网格包含多于一种媒质,其介电参数取这些媒质介电参数的平均值。
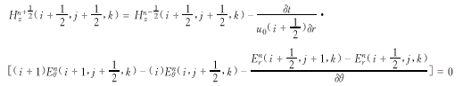
柱坐标系沿z向的任一截面的原点为奇异点,需做特殊处理。我们在构造网格时将电场分量放置在原点上,从积分形式的Maxwell方程出发,可导出计算原点处电场Ez (0)的差分迭代格式[4]
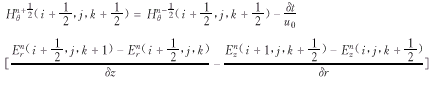
小腿周边为无限大自由空间,为使迭代计算限制在一有限空间内,需要对自由空间加以截断,并在截断边界网格点处设置吸收边界条件,以模拟无穷远自由空间。对于径向周边采用二阶Bayliss-Turkel辐射边界条件[4] ,对于z向则采用一阶Mur吸收边界条件[7]

2 数值结果及讨论

为了验证算法及调试程序,我们首先分析了电偶极子天线在自由空间的辐射问题,并与解析公式进行比较。图3为自由空间某一矢径位置处电场Ez 分量沿z坐标的分布,其中天线长度约为4cm,电场矢径位置为45.5cm,图中同时给出了解析公式结果。可以看出两者吻合很好,证明了算法的有效性及程序的正确性。

图3 自由空间辐射时电场Ez 分量沿z方向的幅度/相位分布

在分析人体小腿上部微波散射特性时,各组织的介电常数和电导率如表1所示。表中各参数由文献[3]的归一化介电常数估算得出,其中水的相对介电常数近似取为80。
为比较正常骨髓与癌变骨髓组织电场幅度和相位的变化情况,定义如下两个参量:

(8)

表1 小腿各组织在800MHz、37℃下介电常数和电导率

组织 介电常数 电导率(s/m)
脂肪

6.08

0.107

6.08 0.107
肌肉 55.2 1.424
正常骨髓 66.4 1.78
癌变骨髓 132.8 0.89

其中Ezn 、φn 为无癌变时观察处的场强和相位,Ezc 、φc 为有癌变时观察处的场强和相位。
图4是源为电偶极子天线且位于0°方位角时,小腿模型中的场强和相位随骨髓组织癌变后的分辨率。数值结果表明,小腿上部周围空间的电磁散射特性在骨髓组织癌变后有很大的变化,尤其是在小腿的前向散射位置上,场强最大变化可达26%,相位变化最大可达13°。
进一步探讨天线长度对探测结果的影响,我们分别选取四分之一波长振子和二分之一波长振子天线进行对比计算,结果分别示于图5、图6中。由图中可看出:四分之一波长振子时场强变化可达20%,相位变化13°;二分之一波长振子场强变化可达18%,相位变化17°。

(a) ηa 与方位角θ的关系 (b) ηp 与方位角θ的关系

图4 电偶极子天线位于0°时小腿外空间场强、相位随骨髓组织癌变的变化(θ=0°)
骨髓癌变程度100% …… 骨髓癌变程度60% -.
- 骨髓癌变程度40%

(a) ηa 与方位角θ的关系 (b) ηp 与方位角θ的关系

图5 四分之波长振子天线位于0°时小腿外空间场强、相位随骨髓组织癌变的变化l=λ/4(θ=0°)
骨髓癌变程度100% …… 骨髓癌变程度60%
-. - 骨髓癌变程度40%

(a) ηa 与方位角θ的关系 (b) ηp 与方位角θ的关系

图6 二分之波长振子天线位于0°时小腿外空间场强、相位随骨髓组织癌变的变化l=λ/2(θ=0°)
骨髓癌变程度100% …… 骨髓癌变程度60%
-. - 骨髓癌变程度40%

3 结论

本文对使用对称振子天线作为源的白血病探测系统进行了三维分析,采用柱坐标系下FDTD法分析了人体小腿上部微波散射特性及其与白血病不同病变程度的关系,探讨了天线尺寸对检测结果的影响,计算了800MHz工作频率下电偶极子、四分之一波长振子天线和二分之一波长振子天线作为源时,人体小腿上部周围空间电场随白血病病变程度的关系。数值结果表明,当使用尺寸远小于波长的电偶极子天线时,可获得较佳的探测灵敏度。该研究对白血病微波成像系统的研制具有重要参考价值。

国家自然科学基金资助项目(69671022)与广东省自然科学基金资助项目(950169)

参考文献

[1] Colton D, Monk P. Anew approach to detecting leukemia: using computational electromagnetics. IEEEComputational Science & Engineering, 1995,2:46~52
[2] Colton D, Monk P. The detecting and monitoring of Leukemia usingelectromagnetic waves: mathematical theory. Inverse Problems, 1994,10:1235~1251
[3] Colton D, Monk P. The detecting and monitoring of Leukemia usingelectromagnetic waves: numerical analysis. Inverse Problems, 1995,11:329~342
[4] 张国基,吴祥应,季飞,等.微波在白血病无损探测中的应用:FDTD分析模型.华南理工大学学报,1998,26(12):34~39
[5] 张国基,吴祥应,季飞,等.微波在白血病无损探测中的应用:数值结果.华南理工大学学报,1999,27(2):7~12
[6] Foster KR, Schepps JL. Dielectric properties of tumor and normal tissues atradio through microwave frequencies. Microwave power, 1981,16:107~119
[7] Mur G. The modeling of singularities in the Finite-Difference approximationof the Time-Domain Electromagnetic-Field equations. IEEE Trans Microwave Theory Tech,1981,MTT-29(10):1073~1077

收稿日期:1998-08-16 , 百拇医药