当前位置: 首页 > 期刊 > 《中华围产医学杂志》 > 1998年第3期
编号:10656908
早产儿生后第一至二天的全静脉营养
http://www.100md.com 《中华围产医学杂志》 1998年第3期
早产儿生后第一至二天的全静脉营养

     林影 吴明昌 林影 吴明昌 100045 首都医科大学附属北京儿童医院 中华围产医学杂志 1998 0 1 3


    关键词: 期刊 zhwcyxzz 0 综 述 fur -->


    

早产儿生前处于妊娠末期,需自脐静脉摄取较多的营养才能满足其宫内快速生长的需要。新生儿出生脐静脉营养立即中断,而早产儿能量储备相对不足,1000 g左右的婴儿不补充营养,能量贮备仅能存活5天[1] 。初生早产儿胃肠道发育尚不成熟,多不能通过喂养来满足其营养需要,加上出生时的应激、感染、处理操作等还会加重蛋白质的分解代谢,单用葡萄糖静脉滴注不能达到基础能量和疾病时能量的需求,而且输入葡萄糖液的浓度略高早产儿也不能耐受,早年曾加用水解蛋白,可引起高氨血症、代谢性酸中毒、尿毒症等,以后虽被氨基酸取代,也多在生后3天开始用。脂肪乳更迟至1周左右,但生后数日内若缺乏营养可导致发育中脑的细胞数减少和体积缩小,最终影响智能。现已有报道,生后早产儿早期应用氨基酸可维持氮平衡而无副作用,对脂肪乳的早期应用也在不断探索之中。

一、生后第1天用氨基酸对蛋白质代谢的研究

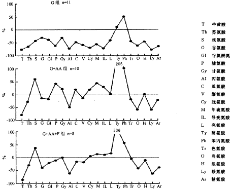
    Murdock 等[2] 将29例早产儿胎龄在31~32周、体重1 000 g左右,自生后第1天起分为三组输液(1)单用葡萄糖组(G组):第1天7g. kg-1 ;第2天10 g. kg-1 ;(2)葡萄糖加氨基酸(G+AA组):AA第1天1g. kg-1 ......


您现在查看是摘要页,全文长 11758 字符