当前位置: 首页 > 药学版 > 药物手册 > 西药
编号:11006903
天麻素注射液静滴
http://www.100md.com 2006年6月10日 合纵医药
天麻素注射液静滴

     【药品名称】

    通用名:天麻素注射液

    英文名:Gastrodin Injection

    汉语拼音:Tianmasu Zhusheye

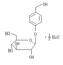
    本品主要成份为天麻素。其化学名称为:4-羟甲基苯-β-D-吡喃葡萄糖苷半水合物。

    其结构式为:

    分子式:C13H18O7·1/2H2O

    分子量:295.38

    【性状】本品为无色澄明液体。

    【药理毒理】

    1、药理:

    药理实验表明天麻素可恢复大脑皮质兴奋与抑制过程间的平衡失调 ......

您现在查看是摘要页,全文长 1936 字符