当前位置: 首页 > 医学版 > 医学理论 > 基础医学 > 病理学
编号:10370224
第三节 细胞的兴奋性和生物电现象
http://www.100md.com 《病理学》

第三节 细胞的兴奋性和生物电现象

恩格斯在100多年前总结自然科学成就时指出:“地球几乎没有一种变化发生而不同时显示出电的现象”;生物体当然也不例外。事实上,在埃及残存史前古文字中,已有电鱼击人的记载;但对于生物电现象的研究,只能是在人类对于电现象一般规律和本质有所认识以后,并随着电测量仪器的精密化而日趋深入。目前,对健康人和患者进行心电图、脑电图、肌电图,甚至视网膜电图、胃肠电图的检查,已经成为发现、诊断和估量疾病进程的重要手段;但人体和各器官的电现象的产生,是以细胞水平的生物电现象为基础的,并且在生理学的发展历史上,生物电现象的研究是同生物组织或细胞的另一重要特性--兴奋性--的研究相伴随进行。

一、兴奋性和刺激引起兴奋的条件

(一)兴奋性和兴奋含义及其变迁

上世纪中后期的生理学家用两栖类动物做实验时,发现青蛙或蟾蜍的某些组织在离体的情况下,也能在一定的时间内维持和表现出某些生命现象。这些生命现象的表现之一是:当这些组织受到一些外加的刺激因素(如机械的、化学的、温热的或适当的电刺激)作用时,可以应答性出现一些特定的反应或暂时性的功能改变。这些活组织或细胞对外界刺激发生反应的能力,就是生理学最早对于兴奋性(excitability)的定义。例如,把蟾蜍的腓肠肌和支配它的神经由体内剥离出来,制成神经-肌肉标本,这时如果在神经游离端一侧轻轻地触动神经,或通以适当的电流,那么在经过一个极短的潜伏期后,可以看到肌肉出现一次快速的缩短和舒张;如把刺激直接施加于肌肉,也会引起类似的收缩反应;而且只要刺激不造成组织的损伤,上述反应可以重复出现。这就是神经和肌肉组织具有兴奋性能证明。实际上,几乎所有活组织或细胞都具有某种程度的对外界刺激发生反应的能力,只是反应的灵敏度和反应的表现形式有所不同。在各种动物组织中,一般以神经和肌细胞,以及某些腺细胞表现出较高的兴奋性;这就是说它们只需接受较小的程度的刺激,就能表现出某种形式的反应,因此称为可兴奋细胞或可兴奋组织。不同组织或细胞受刺激而发生反应时,外部可见的反应形式有可能不同,如各种肌细胞表现机械收缩,腺细胞表现分泌活动等,但所有这些变化都是由刺激引起的,因此把这些反应称之为兴奋(excitation)。人和高等动物的细胞和组织一样具有兴奋性,但在离体情况下要保持它们的兴奋性,需要严格的环境条件,因此在研究组织的兴奋性时,常用较低等动物的组织作为观察对象。

随着电生理技术的发展和资料的积累,兴奋性和兴奋的概念有了新的含义。大量事实表明,各种可兴奋细胞处于兴奋状态时,虽然可能有不同的外部表现,但它们都有一个共同的、最先出现的反应,这就是受刺激处的细胞膜两侧出现一个特殊形式的电变化(它由细胞本身所产生,不应与作为刺激使用的外加电刺激相混淆),这就是动作电位;而各种细胞所表现的其他外部反应,如机械收缩和分泌活动等,实际上都是由细胞膜的动作电位进一步触发和引起的。在神经细胞,特别是它的延续很长、起着信息传送作用的轴突(神经纤维),在受刺激而兴奋时并无肉眼可见的外部反应,其反应只是用灵敏的电测量仪器才能测出的动作电位。在多数可兴奋细胞(以神经和骨骼肌、心肌细胞为主),当动作电位在受刺激部位产生后,还可以沿着细胞膜向周围扩布,使整个细胞膜都产生一次类似的电变化。既然动作电位是大多数可兴奋细胞受刺激时共有的特征性表现,它不是细胞其他功能变化的伴随物,而是细胞表现其他功能的前提或触发因素,因此在近代生理学中,兴奋性被理解为细胞在受刺激时产生动作电位的能力,而兴奋一词就成为产生动作电位的过程或动作电位的同义语了。只有那些在受刺激时能出现动作电位的组织,才能称为可兴奋组织;只有组织产生了动作电位时,才能说组织产生了兴奋。这样的理解显然比原定义更严格些。

据此定义,可以对上述神经-肌标本的现象描述如下:当刺激作用于坐骨神经某一点时,由于神经纤维具有兴奋性而出现兴奋,即产生了动作电位,此动作电位(常称为神经冲动)沿着神经纤维传向它们所支配的骨骼肌纤维,通过神经-肌接头处的兴奋传递(即ACh参加的跨膜信号转换),再引起骨骼肌细胞兴奋而产生动作电位,以后是动作电位沿整个肌细胞膜传遍整个肌细胞,并触发了细胞内收缩蛋白质的相互作用,表现出肌肉一次快速的收缩和舒张。

(二)刺激引起兴奋的条件和阈刺激

具有兴奋性的组织和细胞,并不对任何程度的刺激都能表现兴奋或出现动作电位。刺激可以泛指细胞所处环境因素的任何改变;亦即各种能量形式的理化因素的改变,都可能对细胞构成刺激。但实验表明,刺激要引起组织细胞发生兴奋,必须在以下三个参数达到某一临界值:刺激的强度、刺激的持续时间以及刺激强度对于时间的变化率(即强度对时间的微分);不仅如此,这三个参数对于引起某一组织和细胞的兴奋并不是一个固定值,它们存在着相互影响的关系。在实验室中,常用各种形式的电刺激作为人工刺激,用来观察和分析神经或各种肌肉组织的兴奋性,度量兴奋性在不同情况下的改变。这是因为电刺激可以方便地由各种电仪器(如电脉冲和方波发生器等)获得,它们的强度、作用时间和强度-时间变化率可以容易地控制和改变;并且在一般情况下,能够引起组织兴奋的电刺激并不造成组织损伤,因而可以重复使用。

为了说明刺激的各参数之间的相互关系,可以先将其中一个参数固定于某一数值,然后观察其余两个的相互影响。例如,当使用方波刺激时,由于不同大小和持续时间的方波上升支都以同样极快的增加速率达到某一预定的强度值,因而可以认为上述第三个参数是固定不变的,而每一方波电刺激能否引起兴奋,就只决定于它所达到的强度和持续的时间了。在神经和肌组织进行的实验表明,在强度-时间变化率保持不变的情况下,在一定的范围内,引起组织兴奋所需的最小刺激强度,与这一刺激所持续的时间呈反变的关系;这就是说,当刺激的强度较大时,它只需持续较短的时间就足以引进组织的兴奋,而当刺激的强度较弱时,这个刺激就必须持续较长的时间才能引起组织的兴奋。但这个关系只是当所用强度或时间在一定限度内改变时是如此。如果将所用的刺激强度减小到某一数值时,则这个刺激不论持续多么长也不会引起组织兴奋;与此相对应,如果刺激持续时间逐资助缩短时,最后也会达到一个临界值,即在刺激持续时间小于这个值的情况下,无论使用多么大的强度,也不能引起组织的兴奋。

上述情况给比较不同组织的兴奋性高低或测量同一组织在不同生理或病理情况下的兴奋性改变时造成了许多困难。如果不仔细思考,可以认为那些用较小的刺激强度就能兴奋的组织具有较高的兴奋性;据上述,这个强度小的程度,还要决定这个刺激的持续时间和它的强度-时间变化率。因此,简单地用刺激强度这一个参数表示不同组织兴奋性的高低或同一组织兴奋性的波动,就必须使所用刺激的持续时间和强度-时间变化率固定某一(应是中等程度的)数值;这样,才能把引起组织兴奋、即产生动作电位所需的最小刺激强度,作为衡量组织兴奋性高低的指标;这个刺激强度称为阈强度或阈刺激,简称阈值(threshold)。强度小于阈值的刺激,称为阈下刺激;阈下刺激不能引起兴奋或动作电位,但并非对组织细胞不产生任何影响。

(三)组织兴奋及其恢复过程中兴奋性的变化

体内不同组织具有不同的兴奋性;而且同一组织在不同生理和病理情况下,强环境中离子成分特别是钙离子、酸碱度、温度的改变,以及存在着特殊毒物或药物等情况,都可以引起兴奋性的改变。但一个普遍存在于各种可兴奋细胞的现象是,在细胞接受一次刺激而出现兴奋的当时和以后的一个短时间内,它们的兴奋性将经历一系列有次序的变化,然后才恢复正常。这一特性说明,在细胞或组织接受连续刺激时,有可能由于它们接受前一刺激而改变了对后来刺激的反应能力,因而是一个有重要功能意义的生理现象。

为了示证这一特性,可以让两个刺激连续作用于组织,这时让第一个刺激的强度相当于阈强度,以便使它能引起组织兴奋,并以此阈强度的值作为该组织兴奋性的“正常”对照值;对于第二个刺激,在实验中要能任意地选定它们和第一刺激的间隔,并且可以按需要改变它们的强度。这样,可以检查组织在因第一个刺激后的不同时间内,接受新刺激的能力是否发生了改变。实验证明,在组织接受前面一个刺激而兴奋后一个较短的时间内,无论再受到多么强大的刺激,都不能再产生兴奋;即在这一时期内出现的任何刺激均“无效”;这一段时期,称为绝对不应期。在绝对不应期之后,第二个刺激有可能引起新的兴奋,但使用的刺激强度必须大于该组织正常的阈强度;这个时期称为相对不应期。上述绝对和相对不应期的存在,反映出组织在一次兴奋后所经历的兴奋性改变的主要过程;即在绝对不应期内,由于阈强度成为无限大,故此时的兴奋性可认为下降到零;在相对不应期内,兴奋性逐渐恢复,但仍低于正常值,此时需使用超过对照阈强度的刺激强度,才能引起组织的兴奋;到相对不应期结束时,兴奋性才逐渐恢复到正常。用更精密的实验发现,在相对不应期内之后,组织还经历了一段兴奋性先是轻度增高,继而又低于正常的时期,分别称为超常期和低常期。以上各期的长短,在不同细胞可以有很大差异;一般绝对不应期较短,相当于或略短于前一刺激在该细胞引起的动作电位主要部分的持续时间,如它在神经纤维或骨骼肌只有0.5~2.0ms左右,在心肌细胞可达200~400ms;其他各期的长短变化较大,易受代谢和温度等因素的影响。在神经纤维,相对不应期约持续数毫秒,超常期和低常期可达30~50ms。

组织在每次兴奋后都要发生一系列兴奋性的改变,如果在这期间组织受到新的刺激,它的反应能力将异于“正常”。既然绝对不应期的持续时间相当于前次刺激所引起的动作电位主要部分的持续时间,那么在已有动作电位存在的时期就不可能产生新的兴奋或动作电位,亦即细胞即便受到连续的快速刺激,也不会出现两次动作电位在同一部位重合的现象;由于同样的理由,不论细胞受到频率多么高的连续刺激,它在这一细胞所能引起的兴奋或动作电位的次数,总不会超过某一个最大值;因为落于前一刺激所产生的绝对不应期内的后续刺激将“无效”,因此这个最大值理论上不可能超过该细胞和组织的绝对不应期的倒数。例如,蛙的有髓神经纤维的绝对不应期或动作电位的持续时间约为2ms,那么此纤维每秒钟内所能产生的动作电位的次数不可能超过500;实际上神经纤维在体内自然情况下所能产生和传导的神经冲动的频率,远远低于它们理论上可能达到的最大值。

二、细胞的生物电现象及其产生机制

(一)生物电现象的观察和记录方法

前已指出,神经在接受刺激时,虽然不表现肉眼可见的变化,在受刺激的部位产生了一个可传导的电变化,以一定的速度传向肌肉,这一点可以用阴极射线示波器为主的生物电测量仪器测得,如图2-10所示。图中由射线管右侧电子枪形成的电子束连续射向荧光屏,途中经过两对板状的偏转电极;当电子束由水平偏转板两极之间通过时,由于板上有来自扫描发生器装置的锯齿形电压变化,使射向荧光屏的电子束以一定的速度作水平方向的反复扫动;这时,如果把由两个测量电极引导来的生物电变化经放大器放大后加到垂直偏转板的两极,那么电子束在作横扫的同时又作垂直方向的移动。这样,根据移动电子束在荧光屏上形成的光点的轨迹,就能准确地测量出组织中的微弱电变化的强度及其随时间变化的情况。如果神经干在右端受到刺激,神经纤维将产生一个传向左端的动作电位,当它传导到同放大器相导到同放大器相连的第一个引导电极处时,该处的电位暂时变得相对地较负,于是在一对垂直偏转板上再现电位差,在荧光屏上可看到一次相应的光点波动;当动作电位传导到第二个引导电极处时,该处也将变得较负,于是荧光屏上会出现另一次方向相反的光点波动;这样记到的两次电位波动,称作双相动作电位。把神经标本作一些特殊处理,如将第二个记录电极下方的神经干损伤(如图2-10所示),使该处不能产生兴奋,那么再刺激神经右端时,在示波器上只能看到一次电位波动,这称为单相动作电位。另外,用其他技术方法还可使记录电极中的一个电极处的电位保持恒定或经常处于零电位状态,亦即使此电极成为参考或无关电极,于是在实验中记录到的电变化就只反映与另一电极(称为有效电极)接触处的组织或细胞的电变化,这称为单极记录法。

图2-10 用阴极射线 示波器及有关设备观察生物电现象的基本实验布置

(二)细胞的静息电位和动作电位

双相或单相动作电位,是在神经干或整块肌肉组织上记录到的生物电现象,是许多在结构和功能上相互独立的神经纤维或肌细胞的电变化的复合反映;由于测量电极和组织有较大的接触面积,而且组织本身又是导电的,许多细胞产生的电变化可被同一电极所引导,所以记录和测量出的电变化是许多单位的电变化和代数叠加。但目前已经确知,生物电现象是以细胞为单位产生的,是以细胞膜两侧带电离子的不均衡分布和选择性离子跨膜转运为基础的。因此,只有在单一神经或肌细胞进行生物电的记录和测量,才能对它的数值和产生机制进行直接和深入的分析。由于一般的细胞纤小脆弱,单一细胞生物电是通过以下方法测量的:一是利用某些无脊椎动物特有的巨大神经或肌细胞,如枪乌贼的神经轴突,其直径最大可达100μm左右,便于单独剥出进行实验观察,脊椎动物的单一神经纤维也可以设法剥出,但它们的直径最粗也不过20μm左右,方法上较为困难。另一种方法是进行细胞内微电极记录,即用一个金属或细玻璃管制成的充有导电液体而尖端直径只有1.0μm或更细的微型记录电极(凌宁和Gerard,1949),由于它只有尖端导电,可用它刺入某一个在体或离体的细胞或神经纤维的膜内,测量细胞在不同功能状态时膜内电位和另一位于膜外的参考电极之间的电位差(即跨膜电位),这样记录到的电变化,只与该细胞有关而几乎不受其他细胞电变化的影响。

细胞水平的生物电现象主要有两种表现形式,这就是它们在安静时具有的静息电位和它们受到刺激时产生的动作电位。体内各种器官或多细胞结构所表现的多种形式的生物电现象,大都可以根据细胞水平的这些基本电现象来解释。

静息电位指细胞未受刺激时存在于细胞内外两侧的电位差。测量细胞静息电位的方法如图2-11所示。R表示测量仪器如示波器,和它相连的一对测量电极中有一个放在细胞的外表面,另一个连了微电极,准备刺入膜内。当两个电极都处于膜外时,只要细胞未受到刺激或损伤,可发现细胞外部表面各点都是等电位的;这就是说,在膜表面任意移动两个电极,一般都不能测出它们之间有电位差存在。但如果让微电极缓慢地向前推进,让它刺穿细胞膜进入膜内,那么在电极尖端刚刚进入膜内的瞬间,在记录仪器上将显示出一个突然的电位跃变,这表明细胞膜内外两侧存在着电位差。因为这一电位差是存在于安静细胞的表面膜两侧的,故称为跨膜静息电位,简称静息电位。

在所有被研究过的动植物细胞中(少数植物细胞例外),静息电位都表现为膜内较膜外为负;如规定膜外电位为0,则膜内电位大都在-10~-100mV之间。例如,枪乌贼的巨大神经轴突和蛙骨骼肌细胞的静息电位为-50~-70mV,哺乳动物的肌肉和神经细胞为-70~-90mV,人的红细胞为-10mV,等等。静息电位在大多数细胞是一种稳定的直流电位(一些有自律性的心肌细胞和胃肠平地滑肌细胞例外),只要细胞未受到外来刺激而且保持正常的新陈代谢,静息电位就稳定在某一相对恒定的水平。

在近代生理学文献中,一些过去单纯用来描述膜两侧电荷分布状态的术语,仍被用来说明静息电位的存在及其可能出现的改变。例如,人们常常把静息电位存在时膜两侧所保持的内负外正状态称为膜的极化(polarization),原意是指不同极性的电荷分别在膜两侧的积聚;当静息电位的数值向膜内负值加大的方向变化时,称作膜的超级化(hyperpolarization);相反,如果膜内电位向负值减少的方向变化,称作去极化或除极(depolarization);细胞先发生去极化,然后再向正常安静时膜内所处的负值恢复,则称作复极化(repolarization)。

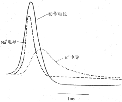
现通过图2-11中的实验布置,观察单一神经纤维动作电位的产生和波形特点,由图中可见,当神经纤维在安静状况下受到一次短促的阈刺激或阈上刺激时,膜内原来存在的负电位将迅速消失,并且进而变成正电位,即膜内电位在短时间内可由原来的-70~-90mV变到+20~+40mV的水平,由原来的内负外正变为内正外负。这样,整个膜内外电位变化的幅度应是90~130mV,这构成了动作电位变化曲线的上升支;如果是计算这时膜内电位由零值变正的数值,则应在整个幅值中减去膜内电位由负上升到零的数值,在图2-11中约为35mV,即动作电位上升支中零位线以上的部分,称为超射值。但是,由刺激所引起的这种膜内外电位的倒转只是暂时的,很快就出现膜内电位的下降,由正值的减小发展到膜内出现刺激前原有的负电位状态,这构成了动作电位曲线的下降支。由此可见,动作电位实际上是膜受刺激后在原有的静息电位基础上发生的一次膜两侧电位的快速而可逆的倒转和复原;在神经纤维,它一般在0.5~2.0ms的时间内完成,这使它在描记的图形上表现为一次短促而尖锐的脉冲样变化,因而人们常把这种构成动作电位主要部分的脉冲样变化,称之为锋电位。在锋电位下降支最后恢复到静息电位水平以前,膜两侧电位还要经历一些微小而较缓慢的波动,称为后电位,一般是先有一段持续5~30ms的负后电位,再出现一段延续更长的正后电位,如图2-11下所示(这里负后和正后电位两个术语仍沿用动作电位细胞外记录时的命名;确切地说,负后电位应称为去极化后电位,而正后电位应称为超极化后电位)。锋电位存在的时期就相当于绝对不应期,这时细胞对新的刺激不能产生新的兴奋;负后电位出现时,细胞大约正处于相对不应期和超常期,正后电位则相当于低常期。

图 2-11 单一神经纤维静息电位和动作电位的实验模式图

R表示记录仪器,S是一个电刺激器。当测量电极中的一个
微电极刺入轴突内部时可发现膜内持续处于较膜外低70mV的负电位状态。
当神经受到一次短促的外加刺激时,膜内电位快速上升到+35mV的水平,
约经0.5~1.0ms后再逐渐恢复到刺激前的状态。其他说明见正文

动作电位或锋电位的产生是细胞兴奋的标志,它只在刺激满足一定条件或在特定条件下刺激强度达到阈值时才能产生。但单一神经或肌细胞动作电位产生的一个特点是,只要刺激达到了阈强度,再增加刺激并不能使动作电位的幅度有所增大;也就是说,锋电位可能因刺激过弱而不出现,但在刺激达到阈值以后,它就始终保持它某种固有的大小和波形。此外,动作电位不是只出现在受刺激的局部,它在受刺激部位产生后,还可沿着细胞膜向周围传播,而且传播的范围和距离并不因原初刺激的强弱而有所不同,直至整个细胞的膜都依次兴奋并产生一次同样大小和形式的动作电位。图2-11的实验布置中,神经受刺激部位和记录部位之间有一段距离;但不论记录电极在职一神经纤维上如何移动(除非是在纤维末梢处有了纤维形态的改变,或纤维的离子环境等因素发生了改变),我们一般都能记录到同样大小和波形的锋电位,所不同的只是刺激伪迹和锋电位之间的间隔有所变化,这显然与动作电位在神经纤维上“传导”到记录电极所在部位时所消耗的时间长短有关。这种在同一细胞上动作电位大小不随刺激强度和传导距离而改变的现象,称作“全或无”现象,其原因和生理意义将在下面讨论。

在不同的可兴奋细胞,动作电位虽然在基本特点上类似,但变化的幅值和持续时间可以各有不同。例如,神经和骨骼肌细胞的动作电位的持续时间以一个或几个毫秒计,而心肌细胞的动作电位则可持续数百毫秒;虽然如此,这些动作电位都表现“全或无”的性质。

(三)生物电现象的产生机制

早在1902年,Bernstein就提出膜学说,他根据当时关于电离和电化学的理论成果提出了经典的膜学说来解释当时用粗劣的电测量仪器记录到的生物电现象。他认为细胞表面膜两侧带电离子的不同分布和运动,是产生物电的基础。但在当时和以后相当长的一段时期内,还没有测量单一细胞电活动的手段和其他有关技术,因此他的学说长期未能得到证实。直到本世纪40~50年代,Hodgkin 和Huxley等开始利用枪乌贼的巨大神经轴突和电生理学技术,进行了一系列有意义的实验,不仅对经典膜学说关于静息电位产生机制的假设予以证实,而且对动作电位的产生作了新的解释和论证。通过这一时期的研究,对于可兴奋细胞静息电位和动作电位的最一般原理已得到阐明,即细胞生物电现象的各种表现,主要是由于某些带电离子在细胞膜两侧的不均衡分布,以及膜在不同情况下对这些离子的通透性发生改变所造成的。但是由于当时对细胞膜的分子结构和膜中蛋白质的存在形式和功能还知之甚少,因此Hodgkin等对生物电的理解只能是宏观的,对微细过程只能用数学模型来说明。随着70年代以来蛋白质化学和分子生物学技术的迅速发展,蛋白质分子从膜结构中克隆出来,并从它们的分子结构的特点来说明通道的功能特性;特别是70年代中期发展起来的膜片钳(patch clamp)技术,可以观察和记录单个离子通道的功能活动,使宏观的所谓膜对离子通透性或膜电导的改变,得到了物质的、可测算的证明。

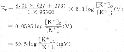
1.静息电位和K+平衡电位 Bernstein最先提出,细胞内外钾离子的不均衡分布和安静状态下细胞膜主要对K+有通透性,可能是使细胞能保持内负外正的极化状态的基础。已知所有正常生物细胞细胞内的K+浓度超过细胞外K+很多,而细胞外Na+浓度超过细胞内Na+浓度很多,这是Na+泵活动的结果;在这种情况下,K+必然会有一个向膜外扩散的趋势,而Na+有一个向膜内扩散趋势。假定膜在安静状态下只对K+有通透的可能,那么只能有K+移出膜外,这时又由于膜内带负电荷的蛋白质大分子不能随之移出细胞,于是随着K+移出,出现膜内变负而膜外变得较正的状态。K+的这种外向扩散并不能无限制地进行,这是因为移到膜外的K+所造成的外正内负的电场力,将对K+的继续外移起阻碍作用,而且K+移出的愈多,这种阻碍也会愈大。因此设想,当促使K+外移的膜两侧K+浓度势能差同已移出K+造成的阻碍K+外移的电势能差相等,亦即膜两侧的电-化学(浓度)势代数和为零时,将不会再有K+的跨膜净移动,而由已移出的K+形成的膜内外电位差,也稳定在某一不再增大的数值。这一稳定的电位差在类似的人工膜物理模型中称为K+平衡电位。Bernstein用这一原理说明细胞跨膜静息电位的产生机制。不难理解,K+平衡电位所能达到的数值,是由膜两侧原初存在K+浓度差的大小决定的,它的精确数值可根据物理化学上著名的Nernst公式(1889)算出:

(1)

(1)式中Ek表示K+平衡电位,R是通用气体常数,Z是离子价,F是Farady常数,T是绝对温度;式中只有[K+]o和[K+]i是变数,分别代表膜两侧的K+浓度。如果把有关数值代入,室温以27°С计算,再把自然对数化为常用对数,则式(1)可简化为;(2)

(2)

如果,Bernstein应用当时物理化学最新成果说明细胞静息电位产生机制的理论是正确的,那么在细胞实际测得的静息电位的数值,应相当于把当时细胞内外K+浓度值代入式(2)时计算所得的Ek值。1939年Hodgkin等利用了枪乌贼的巨大神经纤维和较精密的示波器等测量仪器,第一次精确地测出此标本的静息电位值,结果发现此值和计算所得的K+平衡电位值非常接近而略小于后者;如在一次实验中测得的静息电位值为-77mV,而按当时[K+]o和[K+]i值算出的Ek为-87mV,基本上符合膜学说关于静息电位产生机制的解释。

为了进一步证实这一理论,Hodgkin等又用人工地改变标本浸溶液中K+浓度即[K+]o,因而也改变了[K+] o/[K+] i值的实验方法,观察到所记录的静息电位的什也随[K+]o的改变而改变,而改变的情况基本上同根据式(2)计算出的预期值相一致。随后用微电极细胞内记录法在纤细的哺乳类标本也进行了类似的实验,得到类似的结果,如在骨骼肌细胞测得的静息电位为-90mV,而计算所得的Ek值为-95mV。这些实验都说明,大多数细胞的静息电位的产生,是由于正常细胞的细胞内液高K+而膜在安静时又主要对K+有通透能力的结果;至于静息电位的数值为何略小于理论上的Ek值,一般认为是由于膜在静息时对Na+也有极小的通透性(大约只有K+通透性的1/50~1/100)的缘故;由于膜外Na+浓度大于膜内,即使小量的Na+逸入膜内也会抵消一部分K+外移造成的膜内负电位。

2.锋电位和Na+平衡电位 Hodgkin等根据兴奋时膜内不仅出现负电位的消失,而且出现一定数值的正电位(相当于前面提到的超射值)的事实,因而认为对动作电位上升支的出现,不能像Bernstein那样简单地解释为膜对K+通透性的消失,因为这样最多也只能使膜内原有的负电位回升到零。他们据此设想膜在受到刺激时可能出现了膜对Na+通透性的突然增大,超过了K+的通透性,由于细胞外高Na+,而且膜内静息时原已维持着的负电位也对Na+的内流起吸引作用,于是Na+迅速内流,结果先是造成膜内负电位的迅速消失;而且由于膜外Na+的较高的浓度势能,Na+在膜内负电位减小到零电位时仍可继续内移,直至内移的Na+在膜内形成的正电位足以阻止Na+的净移入时为止。不难设想,这时膜内所具有的电位值,理论上应相当于根据膜内外Na+浓度差代入Nernst公式时所得出的Na+平衡电位值(可写为ENa)。实验数据证明,动作电位所能达到的超射值,即膜内正电位的数值,正相当于计算所得的ENa;而且实验中随着标本浸溶液中Na+被同等数目的葡萄糖分子所代替(使[Na+]o逐渐减小),可以看到所能记录到的动作电位的超射值和整个动作电位的幅度也逐渐减小,其程度也同按Nernst公式算出的预期值基本一致。

但是,膜内电位停留在ENa水平的时间极短;随后很快出现膜内电位向静息时的状态恢复,亦即出现复极,造成了锋电位曲线的快速下降支。如后来的实验证明,这下降支的出现是由于Na+通透性的消失,并伴随出现了K+通透性的增大。

细胞每兴奋一次或产生一次动作电位,总有一部分Na+在去极化时进入膜内,一部分K+在复极时逸出膜外,但由于离子移动受到各该离子的平衡电位的限制,它们的实际进出量是很小的;据估计,神经纤维每兴奋一次,进入膜内的Na+量大约只能使膜内的Na+浓度增大约八万分之一,复极时逸出的K+量也类似这个数量级;即便神经连续多次产生兴奋,短时间内也不大可能明显地改变膜内高K+和膜外高Na+这种基本状态,而只要这种不均衡离子分布还能维持,静息电位就可以维持,新的兴奋就可能产生。细胞膜两侧K+、Na+离子的不均衡分布,主要是靠钠泵蛋白质消耗代谢能建立起来的,而由此形成的势能贮备却可供细胞多次产生兴奋而不需当时耗氧供能。不过实际上钠泵的活动又受膜内外Na+、K+浓度的调控,它对膜内Na+浓度增加十分敏感,Na+的轻微增加就能促使钠泵的活动,因此在每次兴奋后的静息期内,都有钠泵活动的一定程度的增强,将兴奋时多进入膜内的Na+泵出,同时也将复极时逸出膜外的K+泵入,使兴奋前原有的离子分布状态得以恢复。这时由于两种离子的转运同时进行,出入的离子总数又近于相等,故一般不伴有膜两侧电位的明显改变。但在膜内Na+蓄积过多而使钠泵的活动过度增强时,上述的定比关系可以改变,结果是泵出的Na+量有可能明显超过泵入的K+量,这就可能使膜内负电荷相对增多,使膜两侧电位向超极化的方向变化;这时的钠泵,就称为生电性钠泵。有人认为,锋电位以后出现的正后电位,是由于生电性钠泵作用的结果。至于负后电位,则一般认为是在复极时迅速外流的K+蓄积在膜外侧附近,因而暂时阻碍了K+外流的结果。

3.经典的电压钳(或电压固定)实验 从上述可知,Hodgkin等对于动作电位产生机制的说明,关键在于膜受刺激时对Na+、K+的通透性发生了有选择而时间亦有先后的改变,但这只是根据所测得的膜内外电位改变对照Nernst公式进行的推论,实验并没有对膜的通透性进行直接的测量和动态描述。为此,他们又应有当时最先进的电子学技术,设计和进行了著名的电压钳(voltage clamp)实验。实验的设计根据是:离子作跨膜移动时形成了跨膜离子电流(I),而通透性亦即离子通过膜的难易程度,就是膜的电阻(R)或其倒数电导(G),因此所谓膜对某种离子通透性增大时,实际是膜对该离子的电导加大;对于带电离子来说,膜电导就是膜通透性的同义语。根据欧姆定律,I=VG,可知在膜两侧电位差(V)固定不变的条件下,测出的跨膜电流I的变化,就可作为膜电导变化的度量。测定膜在受刺激时跨膜电流的改变在技术上是容易的,但在这过程中要保持膜电位固定不变却不容易;因为当存在跨膜离子电流时,离子的进出膜会使不导电而有电容(C)特性的脂质膜充电或放电,因而根据V=Q/C的关系(其中Q为电量,相当于I和时间t的乘积),跨膜离子的移动必然要引起跨膜电位的改变;实际上记录到的动作电位就是这种改变。正因为如此,Hodgkin等自行设计了一种应用负反馈原理的电子学装置,使它们能在跨膜电位维持恒定(恒定的数值可由实验者通过实验装置预先设定)的情况下,测量跨膜离子电流的强度改变,并由此计算出膜电导即膜通透性的变化情况。电压钳实验的基本原理模式图如图2-12所示。图中电极1插入巨大神经轴突内一定距离,用来测量和监察这一段轴突膜内的电位,此电极先连到一个电压放大器,再在一个示波器上显示;电极1测得电位值经放大后同时输给一个负反馈放大器(FBA),这是整个仪器设计的关键部分,它可把测得的膜内电位同来自一个电压源的、由实验者预先设定的要求保持恒定的电位值进行比较,如果二者有差值,FBA就会通过电极2向轴突膜内输出相应强度和方向的电流,由于仪器线路的精密设计和快速反应,电极2输出电流的改变正足以补偿标本由于跨膜离子电流使膜充放电而引起的跨膜电位的变动,于是与电极1相边的示波器上显示出膜内电位固定在设定的数值,而在电流放大器IA上测得的跨膜离子电流的变化,就反映了膜电导的变化。

图 2-12 电压钳实验布置模式图

电压固定实验获得了许多有意义的结论。首先一点是,只有设定的膜内电位固定在去极化水平时,才有可能出现膜的Na+电导(GNa)和K+电导(Gk)的增大,并且设定电位愈接近零值,电导的增大也愈明显;相反,如果设定的膜内电位值是超极化的,则不可能引起跨膜离子电流和膜电导的改变,这一点以后还要谈到。以图2-13的记录曲线为例,分析不同离子的电导在一次兴奋过程中的变化情况。图中最上方曲线表示在一次电压钳实验中,把膜内电位由静息时的-65mV突然固定(这就是(clamp)的意思)在-9mV,结果很快引起一次如曲线A的跨膜电流变化曲线,这曲线的开始部分是内向的,以后逐渐转变为外向电流。只记录到内向或外向电流还不能说明电荷的携带者是何种离子,根据过去的实验者有理由认为,先出现的内向电流可能是Na+电流(INa),外向电流则可能是K+电流(Ik)。用附加的实验观察证明了这点:假定把标本浸浴液中的NaCI用相同摩尔数的氯化胆碱来代替,则在同样的条件下只能记录到较晚出现的曲线B,它是外向的,这显然是因为不能出现内向的INa的结果;把曲线A和B逐点相减,就能得到曲线C,它就是内向的INa;由INa、Ik两条曲线,就可算出GNa和Gk的变化曲线,其特点是:(1)GNa和Gk都是电压依从性的,只能由跨膜电位的去极化所激活,但GNa被激活得早,是动作电位上升支出现的基础,而Gk激活出现缓慢,是动作电位复极到静息电位水平的基础;(2)GNa有失活(inactivation)状态而Gk没有此特性,其证明是图2-13中曲线C只存在1~2ms,以后跨膜电压虽仍固定在-9mV的水平,但GNa早已恢复到原初水平,而代表Gk的曲线B虽然出现较晚,但它在设定电位持续期间一直维持在较同的水平。GNa失活的出现和Gk的激活是造成神经纤维和骨骼肌细胞表现短促的锋电位的原因;在膜复极以后GNa的失活状态才能消失,这时GNa才能因膜的去极化而再出现增大。

图2-13 电压钳实验结果示意图

将巨大神经纤维的膜电位由原来的-65mv突然上升并固定于-9mv的水平时,

膜的离子电流的变化情况(曲线A、B、C的意义见正文)

根据图2-13中INa和Ik两条电流曲线,即可计算出同这两者相对应的GNa和Gk曲线,再根据这一段膜所具有的电容的数值(有人测得每cm2的枪乌贼轴突膜的电容约为1μF),就可算出如果“允许”每一瞬间的离子移动在电容上形成电位改变时,有可能造成怎样的跨膜电位的改变,这正是不进行“电压固定”时的情况,而由此作出的电位变化曲线正好同在一般实验中记录到的动作电位的波形特点一致,如图2-14所示。这进一步说明了电压钳实验证明动作电位产生机制的正确性。

4.膜片钳实验和单通道离子电流的记录通过上节关于电压门控通道的特性分析已知,所谓膜对某种离子通透性的改变,实际上决定于膜结构中有关离子通道蛋白质分子的功能状态;例如,Hodgkin等测出的GNa的变化,实际是那一段轴突膜上众多的电压门控式Na+通道因膜的去极化而开放的结果。在Hodgkin等当时进行的膜电导改变的数学模拟中,已经明确提示,GNa和Gk的改变不是均匀地发生在整个膜平面上,而是与膜上某些特定的“点”有关,不久又发现,有些药物可以选择性地阻断某种离子的跨膜移动,如河豚毒可以单独阻断GNa而不影响Gk,四乙基铵可以单独阻断Gk而不影响GNa;以同位素标记的河豚毒只能与膜上某些特殊的“点”作特异性结合,而标记的四乙基铵只能与另一些“点”结合。这些实验以及兴奋过程中离子移动数目之多与快,逐渐使人们推断膜结构中有特殊的蛋白质离子通道的存在。这说明,“通道”概念的提出,远在通道的实质被阐明以前,是前者促进了对后者的进一步探索。70年代中期由Neher和Sakmann等发展出一种能够记录膜结构中单一的离子通道蛋白质分子的开放和关闭、亦即测量单通道离子电流和电导的技术,称为膜片钳实验。

图 2-14 电导变化与电位变化的关系示意图

根据电压钳实验中测得的Na+电导(GNa)和K+电导(Gk)的变化过程,

可以算出在膜电位不进行人为固定时,相应的Na+、K+离子电流在膜电容

上引起的电位变化(实线),其形状正同在标本上记录到的动作电位的波形一致

膜片钳实验的基本原理如图2-15A所示:用一个尖端光洁、直径约0.5~3μm的玻璃微电极同神经或肌细胞的膜接触而不刺入,然后在微电极另一端开口施加适当的负压,将与电极尖端接触的那一小片膜轻度吸入电极尖端的纤细开口,这样在这小片膜周边与微电极开口处的玻璃边沿之间,会形成紧密的封接,在理想的情况下其电阻可达数个或数十千兆欧(其物理过程目前尚不清楚),这实际上把吸附在微电极尖端开口处的那一小片膜同其余部分的膜在电学上完全隔离开来;如果在这一小片膜中只包含了一个或少数几个通道蛋白质分子,那么通过此微电极就可能测量出单一通道开放时的离子电流和电导,并能对单通道的其他功能特性进行分析。

图2-15 膜片钳实验布置示意图

A:图中Ip为记录到的单通道电流,VCMD决定设定的膜电位数值

B:在大鼠胚胎骨骼肌细胞膜片上记录到的由ACH激活的单通道
离子电流,强度为pA(皮安)级

从Neher等最初用膜片钳技术观察骨骼肌终板膜处的单一ACh-门控通道机能特性开始,已经对多种通道进行了观察,发现它们一般有如下共同特性:(1)不论是化学门控或电压门控通道,它们的开放和关闭都是突然的,使描绘出的电流曲线呈方波状,说明相应的蛋白质分子可以从一种构象快速地跃变到另一种构象;(2)每种通道开放时具有恒定的电导,即在恒定的情况下,只能看到“开”或“关”两种状态,很少看到“半开”或“部分开”的情况;(3)即使是同一通道分子,每次开放的持续时间长短也不一致,似乎说明蛋白质分子可在开放和关闭两种构象之间“摆动”,停留在某种状态的长短具有随机的性质;(4)在化学门控通道结合了相应的化学信号分子,或电压门控通道所在膜两侧处于特定的电位差的情况下,“摆动”的次数增多,开放的机率增大,而“失活”使开放的机率减小。

用单通道记录可说明在自然情况下整段膜的离子电导和离子电流的形成机制;以上述GNa增大为例,它显然是该段膜中众多的Na+通道在去极化的影响下出现开放的机率增加所决定的,而在每一瞬间同时出现的各通道的电导或离子电流相互叠加,于是如图2-16B所示,这种叠加形成的Na+电流曲线,正好和图2-13中的曲线C相似。

膜片钳实验可用于各种细胞,由于微电极不刺入细胞,即使用于纤小的细胞也不致造成损伤。膜片钳实验已有各种变式,如吸着在微电极尖端的小膜片可以随电极而同原细胞脱离,把它们浸入人工浸浴液中,就可以观察某些因素在膜的胞浆侧怎样影响通道功能;也可以形成膜的胞浆侧面向微电极尖端开口而膜表面侧面向浸浴液的实验模式,等等。膜片钳实验也已用于细胞生物电以外的功能研究,如细胞的分泌过程等。

图2-16 电压门控Na+通道的膜片钳记录A:

随着静息电位(Em)由-110mV突然固定到-50mV,
在3次膜片钳实验记录到的离子电流 B:将144次膜片钳记录
到的离子电流曲线进行平均叠加,得到一条类似图
2-13中曲线C的Na+电流曲线,说明后者是多数Na+通道激活的结果

三、兴奋的引起和兴奋的传导机制

(一)阈电位和锋电位的引起

膜内负电位必须去极化到某一临界值时,才能在整段膜引发一次动作电位,这个临界值大约比正常静息电位的绝对值小10~20mV,称为阈电位。例如,巨大神经轴突的静息电位为-70mV,它的阈电位约为-55mV。这不是由于小于阈电位的去极化不引起GNa的增加,实际情况是这时也有一定数目的Na+通道开放,但由于膜对K+的通透性仍大于Na+,因而少量的Na+内流及其对膜内电位的影响随即被K+的外流所抵消,因而去极化不能继续发展下去,不能形成动作电位。只有当外来刺激引起的去极化达到阈电位水平时,由于较多量Na+通道的开放造成了膜内电位较大的去极化,而此去极化已不再能被K+外流所抵消,因而能进一步加大膜中Na+通道开放的机率,结果又使更多Na+内流增加而造成膜内进一步的去极化,如此反复促进,就形成一种正反馈的过程,称为再生性循环,其结果使膜内去极化迅速发展,形成动作电位陡峭的升支,直至膜内电位上升到近于Na+平衡电位的水平。由此可见,阈电位不是单一通道的属性,而是在一段膜上能使Na+通道开放的数目足以引起上面描述的再生性循环出现的膜内去极化的临界水平。由此也不难理解,只要刺激大于能引起再生性循环的水平,膜内去极化速度就不再决定于原刺激的大小;整个动作电位上升支的幅度也只决定于原来静息电位的值和膜内外的Na+浓度差,而与引起此次动作电位的刺激大小无关。此即动作电位所以能表现“全或无”现象的机制。

阈电位是用膜本身去极化的临界值来描述动作电位的产生条件。所谓阈强度,是作用于标本时能使膜的静息电位去极化到阈电位的外加刺激的强度;这就是阈强度和阈电位在概念上的区别。

(二)局部兴奋及其特性

一个阈下刺激会对可兴奋细胞产生何种影响?可通过图2-17中的实验回答。在巨大神经轴突放置一对刺激电极,但其中一个电极穿入膜内,再在附近放置一个作膜内电反应记录的记录电极。假定先把膜内的刺激电极连到电源正极,那么电路接通时将会产生去极化;如果这个去极化未能达到阈电位,则说明所用电刺激强度属于阈下刺激。但如前所述,阈下刺激虽未能膜电位达到阈电位的去极化,也能引起该段膜中所含Na+通道的少量开放,只是开放的机率少,于是少量内流的Na+和电刺激造成的去极化叠加起来,在受刺激的膜局部出现一个较小的膜的去极化反应,称为局部反应或局部兴奋,局部兴奋由于强度较弱,且很快被外流的K+所抵消,因而不能引起再生性循环而发展成真正的兴奋或动作电位。图2-17B就记录了一组这样的实验曲线,说明在阈下刺激的范围内,刺激强度愈强,引起的膜的去极化即局部兴奋的幅度愈大(由表示静息电位水平的线段上方的各条曲线表示),延续的时间也愈长;只有当局部兴奋的幅度大到足以引发再生性循环的水平时,膜的去极化的速度才突然加大,这样局部兴奋就发展成为动作电位。

局部兴奋有以下几个基本特性:(1)不是“全或无”的,而是随着阈下刺激的增大而增大;(2)不能在膜上作远距离的传播,虽然由于膜本身有电阻特性且膜内外都是电解质溶液,发生在膜的某一点的局部兴奋,可以使邻近的膜也产生类似的去极化,但随距离加大而迅速减小以至消失,这个局部兴奋所波及的范围在一般神经细胞膜上不超过数十乃至数百微米,但有的细胞本身也不很大,如神经元细胞体,局部兴奋的这种电紧张性扩布(eletrotonic propagation)还是有重要生理意义的;(3)局部兴奋是可以互相叠加的,也就是说,当一处产生的局部兴奋由于电紧张性扩布致使邻近处的膜也出现程度较小的去极化,而该处又因另一刺激也产生了局部兴奋,虽然两者(当然不一定限于两者)单独出现时都不足以引发一次动作电位,但如果遇到一起时可以叠加起来,以致有可能达到阈电位而引发一次动作电位。称为兴奋的空间性总和;局部兴奋的叠加也可以发生在连续受数个阈下刺激的膜的某一点,亦即当前面刺激引起的局部兴奋尚未消失时,与后面刺激引起的局部兴奋发生叠加,称为时间性总和。总和现象在神经元细胞的功能活动中十分重要和常见。另外,由图示2-17B中还可看到,当刺入膜内的刺激电极和电源负极相连时,通电时只能引起膜的超级化(图中水平线下方的那组曲线);刺激愈强,超极化程度愈大,但不引起Na+通道开放,更不能引发锋电位。事实上,这时由于膜内电位和阈电位之间差值加大,因而该处膜变得更不容易兴奋了。体内某些感受器细胞、部分腺细胞和平滑肌细胞,以及神经细胞体上的突触后膜和骨骼肌细胞的终板膜,它们在受刺激时不产生“全或无”形式的动作电位,而只出现原有静息电位的微弱而缓慢的变动,分别称为感受器电位、慢电位、突触后电位和终板电位。这些电位也具有类似局部兴奋的特性。这些形式的电变化,实际是使另一细胞或同一细胞的其他部分的膜产生“全或无”式动作电位上的过渡性电变化。

图2-17 局部兴奋的实验布置(A)和实验结果(B)示意图说明见正文

(三)兴奋在同一细胞上的传导机制

可兴奋细胞的特征之一是它任何一处的膜产生的动作电位,都可沿着细胞膜向周围传播,使整个细胞的膜都经历一次类似于被刺激部位的离子电导的改变,表现为动作电位沿整个细胞膜的传导。传导的机制实际已包含在兴奋膜的上述特性之中。设想一条枪乌贼的无髓神经纤维的某一小段,因受到足够强的外加刺激而出现了动作电位(图2-18,B左端),即该处出现了膜两侧电位的暂时性倒转,由静息时的内负外正变为内正外负,但和该段神经相邻接的神经段仍处于安静时的极化状态;由于膜两侧的溶液都是导电的,于是在已兴奋的神经段和与它相邻的未兴奋的神经段之间,将由于电位差的存在而有电荷移动,称为局部电流。它的运动方向是:膜外有正电荷由未兴奋段移向已兴奋段,膜内有正电荷由已兴奋段移向未兴奋段。这样流动的结果,是造成未兴奋段膜内电位升高而膜外电位降低,亦即引起该处膜的去极化;这一过程开始时,就相当于电紧张性扩布。根据上述关于兴奋产生的机制的分析,当任何原因使膜的去极化达到阈电位的水平时,都会大量激活该处的Na+通道而导致动作电位的出现。因此,当局部电流的出现使邻接的未兴奋的膜去极化到阈电位时,也会使该段出现它自己的动作电位。所谓动作电位的传导,实际是已兴奋的膜部分通过局部电流“刺激”了未兴奋的膜部分,使之出现动作电位;这样的过程在膜表面连续进行下去,就表现为兴奋在整个细胞的传导。由于锋电位产生期间电位变化的幅度和陡度相当大,因此在单一细胞局部电流的强度超过了引起邻近膜兴奋所必需的阈强度数倍以上,因而以局部电流为基础的传导过程是相当“安全”的,亦即一般不易因某处动作电位不足以使邻接的膜产生兴奋而导致传导“阻滞”,这一点与一般化学性突触处的兴奋传递有明显的差别。

图2-18 神经纤维传导机制的模式图弯箭头表示膜内外
局部电流的流动方向,下方直箭头表示冲动传导方向。

A:静息时 B:发生兴奋后 C:传导过程中

兴奋传导机制虽然以无髓神经纤维为例,但在其他可兴奋细胞(如骨骼肌细胞)的兴奋传导,基本上遵循同样的机制。有髓神经纤维在轴突外面包有一层相当厚的髓鞘,髓鞘主要成分的脂质是不导电或不允许带电离子通过的,因此只有在髓鞘暂时中断的朗飞结处,轴突膜才能和细胞外液接触,使跨膜离子移动得以进行。因此,当有髓纤维受到外加刺激时,动作电位只能在邻近刺激点的朗飞结处产生,而局部电流也只能发生在相邻的朗飞结之间,其外电路要通过髓鞘外面的组织间液,因此,动作电位表现为跨过每一段髓鞘而在相邻朗飞结处相继出现,这称为兴奋的跳跃式传导。

跳跃式传导时的兴奋传导速度,显然比上述无髓纤维或一般细胞的传导速度快得多;而且由于跳跃式传导时,单位长度内每传导一次兴奋所涉及的跨膜离子运动的总数要少得多,因此它还是一种“节能”的传导方式。看来,神经髓鞘的出现是进化过程中既能增加神经纤维传导速度、又能减少生物能量消耗的一种方式。无脊椎动物没有有髓神经纤维,而无髓纤维增加增加传导速度的一个可能途径是增大轴突的直径,因为这样可以减少膜内液体的电阻而增加局部电流的强度,使动作电位的传导速度加快;这大概就是需要进行快速神经反应的枪乌贼在进化中出现巨大的无髓神经纤维的道理所在。但徐科(1993)等人指出,某些无脊椎动物的神经纤维也可以一种特殊的方式进行跳跃式传导。

如果一条神经纤维在它的中间部受到刺激,将会有动作电位由中间向纤维两端传送,这是由于局部电流可以出现在原兴奋段两侧之故。由此可以理解,兴奋在同一细胞上的传导,并不限于朝向某一方向;体内神经纤维所以有传入和传出之分,只是由于在整体的自然条件下,传入纤维只能在它们和感受器相连接的外周端被刺激,而传出纤维只能在它们的细胞体产生冲动而传向外周,并非是由于这些纤维本身只能单方向传导兴奋的缘故。以动作电位为兴奋出现的指标,可以测定兴奋在各种细胞的传导速度。例如,人体一些较粗的有髓神经纤维的传导速度,最快可达每秒100m以上,而一些细胞的无髓纤维每秒传导距离还不到1m;构成心脏内部传导系统的浦肯野细胞,每秒传导速度约4~5m,是心肌细胞中传导速度最快的。

, 百拇医药