合欢皂甙J6的结构鉴定
作者:邹 坤 赵玉英 张如意
单位:邹 坤:湖北三峡学院医学院医用化学教研室(宜昌 443003);赵玉英 张如意:北京医科大学药学院天然药物化学研究室
关键词:豆科;合欢皮;三萜皂甙;合欢皂甙J6
合欢皂甙J6的结构鉴定
摘 要 从合欢皮95%乙醇提取物中分得一个三糖链八糖皂甙(1),经化学方法和光谱分析将其结构鉴定为3-O-[β-D-xylopyranosyl-(1→2)-α-L-arabinopyranosyl-(1→6)-β-D-2-deoxy-2-acetamidoglucopyranosyl]-21-O-{(6S)-2-trans-2-hydroxymethyl-6-methyl-6-O-[4-O-((6S)-2-trans-2-hydroxymethyl-6-methyl-2,7-octadienoyl)]}-β-D-quinovopyranosyl-2,7-octadienoyl} acacic ancid 28-O-β-D-glucopyranosyl-(1→3)-[α-L-arabinopyranosyl-(1→4)]-α-L-rhamnopyranosyl-(1→2)-β-D-glucopyranosyl ester.
, 百拇医药
Structural Identification of Julibroside J6
Zou Kun Zhao Yuying Zhang Ruyi
Department Microbiology,Hubei Three Gorges University Medical College,Yichang 443003
Abstract A saponin with eight-sugar moities (1) was isolated from alcohol extracts of Albizia julibrissin cortex.Its structure was identified as 3-O-[β-D-xylopyranosyl-(1→2)-α-L-arabinopyranosyl-(1→6)-β-D-2-deoxy-2-acetamidoglucopyranosyl]-21-O-{(6S)-2-trans-2-hydroxymethyl-6-methyl-6-O-[4-O-((6S)-2-trans-2-hydroxymethyl-6-methyl-2,7-octadienoyl)]}-β-D-quinovopyranosyl-2,7-octadienoyl} acacic ancid 28-O-β-D-glucopyranosyl-(1→3)-[α-L-arabinopyranosyl-(1→4)]-α-L-rhamnopyranosyl-(1→2)-β-D-glucopyranosyl ester,named as Julibroside J6,based on the chemical and spectral evidences.
, 百拇医药
Key Words Leguminosae;Albizia julibrissin cortex;Triterpenoid saponins;Julibroside J6
合欢皮为豆科植物合欢(Albizia julibrissin Durazz.)的干燥茎皮,中国药典一部(1995年版)记载合欢皮具有解郁安神,活血消肿的功能,用于心神不安,忧郁失眠,肺痈疮肿,跌扑伤痛等症。对于合欢皮的化学和药理活性的研究已有综述[1]。本室通过各种色谱方法尤其是HPLC制备法,对合欢皮95%乙醇提取物正丁醇萃取部分进行了系统分离,利用多种溶剂系统,多种规格的液相柱与不同色谱仪结合,成功地从中分得三十二个五环三萜皂甙[2~5]。本文报道合欢皂甙J6(1)的分离和结构鉴定。
1 结构鉴定
1为白色粉末,Molish反应呈紫色,Liebermann-Buchard反应呈红色。正离子FAB-MS给出准分子离子峰m/z 2108[M+K+2]+和2092[M+Na+2]+,与分子式C97H153NO46一致。
, http://www.100md.com
1的氢谱显示7个单峰角甲基质子信号(δ 1.15,1.04,0.96,1.15,1.86,1.04,1.08),三个相对低场的含氧碳上质子信号(δ 3.49,5.21及6.29),和一个宽单峰烯基质子信号(δ 5.60);其碳谱显示与合欢皂甙J1[6]中金合欢酸残基完全一致的碳信号(表1),1的酸水解液经HPTLC检出金合欢酸内酯,证实1的甙元为金合欢酸残基,且甙元3,21及28位已甙化或酯化。
表1 甙元的碳谱数据
triterpene
triterpene
MT
MT′
1
, http://www.100md.com
2
3
4
5
6
7
8
9
10
11
12
13
14
15
, 百拇医药
38.9
26.6
89.3
39.4
56.1
18.7
33.7
40.2
47.2
37.1
23.7
123.1
143.4
, http://www.100md.com
42.1
35.9
16
17
18
19
20
21
22
23
24
25
26
27
, http://www.100md.com
28
29
30
73.9
51.7
40.8
47.9
35.5
77.1
36.4
28.2
17.1
15.8
, http://www.100md.com
17.4
27.3
174.4
29.2
19.2
1
2
3
4
5
6
7
8
9
, 百拇医药
10
167.6
133.8
146.5
23.6
41.1
79.8
143.9
115.0
56.4
23.7
1
2
, http://www.100md.com
3
4
5
6
7
8
9
10
167.6
133.4
145.2
23.7
40.1
, http://www.100md.com 72.5
146.3
111.7
56.4
28.5
1的氢谱显示3个糖端基质子信号[δ 4.93(1H,d,J=8.9 Hz,H-glc-l),5.16(1H,brs,H-arap-1),4.99(1H,d,J=7.2Hz,H-xyl-1)],1个典型的乙酰氨基质子信号[δ 8.85(1H,d,J=8.6Hz]及1个乙酰甲基质子信号[δ 2.01(3H,s,H-NHAc-Me)];碳谱有典型的2-去氧-2-乙酰氨基葡萄糖的端基碳(δ 104.8),氨基碳(δ 58.0),乙酰羰基碳(δ 170.1)及乙酰甲基碳(δ 24.0)信号,证实1分子中含有2-去氧-2-乙酰氨基-葡萄糖残基[7]。参照合欢皂甙J3[7]的3位糖链残基的碳谱,1碳谱中有与其完全一致的碳信号,证实1的3位糖链的结构与合欢皂甙J3的相应结构一致。
, http://www.100md.com
在1的氢谱中还显示4个糖残基端基质子信号[δ 6.04(1H,d,J=7.8 Hz,H-glc′-l),5.89(1H,s,H-rha-1),6.26(1H,s,H-rhaf-1),5.31(1H,d,J=7.5 Hz,H-glc″-l)]和一个去氧糖上甲基质子信号[δ 1.75(3H,d,J=5.7 Hz,H-rha-6)];其碳谱具有与合欢皂甙J3的28位糖链残基完全吻合的碳信号,证实1的28位糖链结构与合欢皂甙J3的相应结构一致。
1的氢谱有二组单萜烯酸酯残基的特征质子信号[δ 7.02(1H,t,J=7.5Hz,H-MT-3),6.18(1H,dd,J=10.1,17.3Hz,H-MT-7),5.20(1H,d,J=10.1Hz,H-MT-8a),5.39(1H,d,J=17.3Hz,H-MT-8b),4.76(2H,s,H-MT-9),1.48(3H,s,H-MT-10);7.23(1H,t,J=7.3Hz,H-MT′-3),6.06(1H,J=10.7,16.4Hz,H-MT′-7),5.11(1H,dd,J=10.7Hz,H-MT′-8a),5.51(1H,d,J=16.4Hz,H-MT′-8b),4.76(2H,s,H-MT′-9),1.40(3H,s,H-MT′-10);碳谱也有二组与合欢皂J2[7]完全一致的单萜烯酸酯残基的碳信号(表1)。1的碳氢谱还可观察到一组鸡纳糖残基的碳(表1)氢(实验部分)信号。整个21位侧链的碳信号与合欢皂甙J2相应部分碳信号十分相似(表1),证实二者21位侧链结构相同。
, 百拇医药
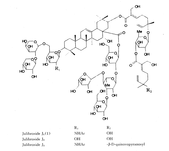
综上所述,1的结构鉴定为3-O-[β-D-吡喃木糖基-(1→2)-α-L-吡喃阿拉伯糖基-(1→6)-β-D-2-去氧-2-乙酰氨基-吡喃葡萄糖基]-21-O-{(6S)-2-反式-2-羟甲基-6-甲基-6-O-[4-O-((6S)-2-反式-2-羟甲基-6-甲基-6-羟基-2,7-辛二烯酸基)-β-D-吡喃鸡纳糖基]-2,7-辛二烯酸基}金合欢酸28-O-β-D-吡喃葡萄糖基-(1→3)-[α-L-吡喃阿拉伯糖基-(1→4)]-α-L-吡喃鼠李糖基-(1→2)]-β-D-吡喃葡萄糖基酯(3-O-[β-D-xylopyranosyl-(1→2)-α-L-arabinopyranosyl-(1→6)-β-D-2-deoxy-2-acetamidoglucopyranosyl]-21-O-{(6S)-2-trans-2-hydroxymethyl-6-methyl-6-O-[4-O-((6S)-2-trans-2-hydroxymethyl-6-methyl-2,7-octadienoyl)]}-β-D-quinovopyranosyl-2,7-octadienoyl} acacic ancid 28-O-β-D-glucopyranosyl-(1→3)-[α-L-arabinopyranosyl-(1→4)]-α-L-rhamnopyranosyl-(1→2)-β-D-glucopyranosyl ester),为一新化合物,命名为合欢皂甙J6(Julibroside J6)。其结构为:
, http://www.100md.com
2 实验部分 2.1 仪器与试剂
红外光谱用Perkin-Elmer983型仪器测定,KBr压片。紫外光谱用Shimadzu UV-260型分光光度仪测定,核磁共振谱用Bruker AM-500型核磁共振仪测定,TMS作为内标,质谱用Zabspec型质谱仪测定,甘油为底物(正离子FAB-MS),高效液相色谱仪为制备型Gilson高效液相色谱系统(Gilson 306 pump,800C Dynamic Mixer,506C system,118 UV/Vis Detector,201 Fraction Colletor)及Waters 600高效液相色谱系统(Waters 600pump,600 Controller,486 Tunable Absorbance Detector)。
合欢皮生药材购自四川省绵阳市医药公司药材站。生药材样品由北京医科大学生药学教研室李胜华教授鉴定为合欢属植物合欢(Albizia julibrissin Durazz.)的干燥树皮,生药材样品保存于本室。
, 百拇医药
2.2 提取与分离
13.5kg干燥合欢皮粉碎后,以40l95%卫生酒精浸泡二天,渗漉,渗漉液经薄膜浓缩(t<70℃)至小体积。药渣继续以25l95%乙醇浸泡,渗漉,减压浓缩。如此反复多次。浓缩液合并后经旋转蒸发仪回收溶剂得绿色浸膏1140g,将其悬浮于水,依次用p-ether,EtOAc,n-BuOH萃取,所得n-BuOH部分用丙酮处理,D101柱层析,得甲醇洗脱部分248g(总皂甙)。
取总皂甙150g,粗孔硅胶柱层析,氯仿-甲醇-水梯度(100∶1∶0→6∶4∶1)洗脱,收集65份(500ml/份)。第53至56流份(3.8g),经粗孔硅胶干柱层析,氯仿-甲醇-水(65∶35∶10下层)洗脱,收集第9至18流份(50ml/份),浓缩得淡土黄色粉末,经甲醇溶解,丙酮处理,如此三次,所得沉淀经Sephadex LH-20柱层析,甲醇洗脱,收集第15份(30ml/份),回收溶剂所得1.75g白色粉末再经常压反相C18硅胶柱层析,61%甲醇洗脱,收集18至20流份(50ml/份),所得700mg白色粉末经Gilson制备高效液相色谱分离(色谱柱Alltima C18,5μ,60A,22×250mm ID,流动相61.5%甲醇,流速6ml/min,检测波长216nm),得化合物1(20.3mg,64.0’)
, 百拇医药
表2 糖残基的碳谱数据
NHAc-glc
xvl
rha
glc′
1
2
3
4
5
6
C=O
Me
, http://www.100md.com
arap
1
2
3
4
5
104.8
58.0
76.1
72.2
77.8
69.5
170.1
, 百拇医药
24.0
102.2
80.3
72.5
67.4
64.2
1
2
3
4
5
glc′
1
, 百拇医药 2
3
4
5
6
106.2
75.6
77.4
70.9
67.2
95.7
76.9
78.1
, 百拇医药 71.4
79.0
62.1
1
2
3
4
5
6
araf
1
2
3
4
, 百拇医药
5
101.8
70.2
82.1
79.0
69.2
18.8
111.1
84.4
78.4
85.5
62.6
1
, 百拇医药
2
3
4
5
6
qui
1
2
3
4
5
6
105.7
75.4
, http://www.100md.com
78.4
71.9
78.4
62.8
99.3
75.6
75.4
77.2
70.3
18.6
2.3 结构鉴定
Julibroside J6(1) was obtained as a white powder,[α]17D-34.9°(c0.042,70% CH3OH),C97H153NO45,positive FAB-MS m/z:2091[M+Na+H]+,1489[M+Na+H-(2glc+ara+rha)]+,1136[M+H-(2glc+ara+rha)-(MT′+qui)]+;IR(KBr)Vmax:3416,2923,1692,1640,1382,1074(cm-1);1H NMR(500 MHz,py-d5)δ (ppm):1.15,1.04,0.96,1.15,1.86,1.04,1.08(3H×7,s,H-23,24,25,26,27,28,29,30),5.60(1H,br s,H-12);4.93(1H,d,J=8.9 Hz,H-glc-l),5.16(1H,br s,H-arap-1),4.99(1H,d,J=7.2Hz,H-xyl-l),6.04(1H,d,J=7.8Hz,H-glc′-l),5.89(1H,s,H-rha-1),6.26(1H,s,H-arap-1),5.31(1H,d,J=7.5 Hz,H-glc″-l),4.80(1H,d,J=7.9 Hz,H-qui-l),1.75(3H,d,J=5.7 Hz,H-rha-6),1.34(3H,d,J=5.0Hz,H-qui-6),2.01(3H,s,H-NHAc-Me);7.02(1H,t,J=7.5Hz,H-MT-3),6.18(1H,dd,J=10.1,17.3Hz,H-MT-7),5.20(1H,d,J=10.1Hz,H-MT-8a),5.39(1H,d,J=17.3Hz,H-MT-8b),4.76(2H,s,H-MT-9),1.48(3H,s,H-MT-10);7.23(1H,t,J=7.3Hz,H-MT′-3),6.06(1H,J=10.7,16.4Hz,H-MT′-7),5.11(1H,dd,J=10.7Hz,H-MT′-8a),5.51(1H,d,J=16.4 Hz,H-MT′-8b),4.76(2H,s,H-MT′-9),1.40(3H,s,H-MT′-10);13C NMR(125 MHz,py-d5) data see 表1~2。
, 百拇医药
(致谢:本课题核磁共振谱由涂光忠博士代测,FAB-MS由军事医学科学院质谱室代测)
参考文献
1 邹坤,陈四平,赵玉英,等。合欢属植物茎皮的化学成分与药理活性。国外医药(植物药分册) 1997;12:200
2 邹坤,赵玉英,郑俊华,等。从合欢皮中获得三个细胞毒活性的皂甙。北京医科大学学报 1997;29(4):290
3 Kun Zou,Guangzhong Tu,Yuying Zhao,et al.An isomer of Julibroside J2 from Albizia julibrissin.J Asian Nat Prod Res 1998;1:59
4 邹坤,赵玉英,张如意,等。合欢皂甙J20的结构鉴定。药学学报 1999;待发表
, 百拇医药
5 Kun Zou,Guangzhong Tu,Yuying Zhao,et al.Four cytotoxic diasteroisomeric saponins from Albizia julibrissin.Tetrahedron Lett 1999;in press
6 Fulvia Orsini,Francesca Pelizzoni and Luisella Verotta.Saponins from Albizzia lucida.Phytochemistry 1991;30:4111
7 陈四平,张如意。合欢皮中三个新皂甙的结构鉴定。药学学报 1997;32:110
(1999-03-02 收稿), 百拇医药
单位:邹 坤:湖北三峡学院医学院医用化学教研室(宜昌 443003);赵玉英 张如意:北京医科大学药学院天然药物化学研究室
关键词:豆科;合欢皮;三萜皂甙;合欢皂甙J6
合欢皂甙J6的结构鉴定
摘 要 从合欢皮95%乙醇提取物中分得一个三糖链八糖皂甙(1),经化学方法和光谱分析将其结构鉴定为3-O-[β-D-xylopyranosyl-(1→2)-α-L-arabinopyranosyl-(1→6)-β-D-2-deoxy-2-acetamidoglucopyranosyl]-21-O-{(6S)-2-trans-2-hydroxymethyl-6-methyl-6-O-[4-O-((6S)-2-trans-2-hydroxymethyl-6-methyl-2,7-octadienoyl)]}-β-D-quinovopyranosyl-2,7-octadienoyl} acacic ancid 28-O-β-D-glucopyranosyl-(1→3)-[α-L-arabinopyranosyl-(1→4)]-α-L-rhamnopyranosyl-(1→2)-β-D-glucopyranosyl ester.
, 百拇医药
Structural Identification of Julibroside J6
Zou Kun Zhao Yuying Zhang Ruyi
Department Microbiology,Hubei Three Gorges University Medical College,Yichang 443003
Abstract A saponin with eight-sugar moities (1) was isolated from alcohol extracts of Albizia julibrissin cortex.Its structure was identified as 3-O-[β-D-xylopyranosyl-(1→2)-α-L-arabinopyranosyl-(1→6)-β-D-2-deoxy-2-acetamidoglucopyranosyl]-21-O-{(6S)-2-trans-2-hydroxymethyl-6-methyl-6-O-[4-O-((6S)-2-trans-2-hydroxymethyl-6-methyl-2,7-octadienoyl)]}-β-D-quinovopyranosyl-2,7-octadienoyl} acacic ancid 28-O-β-D-glucopyranosyl-(1→3)-[α-L-arabinopyranosyl-(1→4)]-α-L-rhamnopyranosyl-(1→2)-β-D-glucopyranosyl ester,named as Julibroside J6,based on the chemical and spectral evidences.
, 百拇医药
Key Words Leguminosae;Albizia julibrissin cortex;Triterpenoid saponins;Julibroside J6
合欢皮为豆科植物合欢(Albizia julibrissin Durazz.)的干燥茎皮,中国药典一部(1995年版)记载合欢皮具有解郁安神,活血消肿的功能,用于心神不安,忧郁失眠,肺痈疮肿,跌扑伤痛等症。对于合欢皮的化学和药理活性的研究已有综述[1]。本室通过各种色谱方法尤其是HPLC制备法,对合欢皮95%乙醇提取物正丁醇萃取部分进行了系统分离,利用多种溶剂系统,多种规格的液相柱与不同色谱仪结合,成功地从中分得三十二个五环三萜皂甙[2~5]。本文报道合欢皂甙J6(1)的分离和结构鉴定。
1 结构鉴定
1为白色粉末,Molish反应呈紫色,Liebermann-Buchard反应呈红色。正离子FAB-MS给出准分子离子峰m/z 2108[M+K+2]+和2092[M+Na+2]+,与分子式C97H153NO46一致。
, http://www.100md.com
1的氢谱显示7个单峰角甲基质子信号(δ 1.15,1.04,0.96,1.15,1.86,1.04,1.08),三个相对低场的含氧碳上质子信号(δ 3.49,5.21及6.29),和一个宽单峰烯基质子信号(δ 5.60);其碳谱显示与合欢皂甙J1[6]中金合欢酸残基完全一致的碳信号(表1),1的酸水解液经HPTLC检出金合欢酸内酯,证实1的甙元为金合欢酸残基,且甙元3,21及28位已甙化或酯化。
表1 甙元的碳谱数据
triterpene
triterpene
MT
MT′
1
, http://www.100md.com
2
3
4
5
6
7
8
9
10
11
12
13
14
15
, 百拇医药
38.9
26.6
89.3
39.4
56.1
18.7
33.7
40.2
47.2
37.1
23.7
123.1
143.4
, http://www.100md.com
42.1
35.9
16
17
18
19
20
21
22
23
24
25
26
27
, http://www.100md.com
28
29
30
73.9
51.7
40.8
47.9
35.5
77.1
36.4
28.2
17.1
15.8
, http://www.100md.com
17.4
27.3
174.4
29.2
19.2
1
2
3
4
5
6
7
8
9
, 百拇医药
10
167.6
133.8
146.5
23.6
41.1
79.8
143.9
115.0
56.4
23.7
1
2
, http://www.100md.com
3
4
5
6
7
8
9
10
167.6
133.4
145.2
23.7
40.1
, http://www.100md.com 72.5
146.3
111.7
56.4
28.5
1的氢谱显示3个糖端基质子信号[δ 4.93(1H,d,J=8.9 Hz,H-glc-l),5.16(1H,brs,H-arap-1),4.99(1H,d,J=7.2Hz,H-xyl-1)],1个典型的乙酰氨基质子信号[δ 8.85(1H,d,J=8.6Hz]及1个乙酰甲基质子信号[δ 2.01(3H,s,H-NHAc-Me)];碳谱有典型的2-去氧-2-乙酰氨基葡萄糖的端基碳(δ 104.8),氨基碳(δ 58.0),乙酰羰基碳(δ 170.1)及乙酰甲基碳(δ 24.0)信号,证实1分子中含有2-去氧-2-乙酰氨基-葡萄糖残基[7]。参照合欢皂甙J3[7]的3位糖链残基的碳谱,1碳谱中有与其完全一致的碳信号,证实1的3位糖链的结构与合欢皂甙J3的相应结构一致。
, http://www.100md.com
在1的氢谱中还显示4个糖残基端基质子信号[δ 6.04(1H,d,J=7.8 Hz,H-glc′-l),5.89(1H,s,H-rha-1),6.26(1H,s,H-rhaf-1),5.31(1H,d,J=7.5 Hz,H-glc″-l)]和一个去氧糖上甲基质子信号[δ 1.75(3H,d,J=5.7 Hz,H-rha-6)];其碳谱具有与合欢皂甙J3的28位糖链残基完全吻合的碳信号,证实1的28位糖链结构与合欢皂甙J3的相应结构一致。
1的氢谱有二组单萜烯酸酯残基的特征质子信号[δ 7.02(1H,t,J=7.5Hz,H-MT-3),6.18(1H,dd,J=10.1,17.3Hz,H-MT-7),5.20(1H,d,J=10.1Hz,H-MT-8a),5.39(1H,d,J=17.3Hz,H-MT-8b),4.76(2H,s,H-MT-9),1.48(3H,s,H-MT-10);7.23(1H,t,J=7.3Hz,H-MT′-3),6.06(1H,J=10.7,16.4Hz,H-MT′-7),5.11(1H,dd,J=10.7Hz,H-MT′-8a),5.51(1H,d,J=16.4Hz,H-MT′-8b),4.76(2H,s,H-MT′-9),1.40(3H,s,H-MT′-10);碳谱也有二组与合欢皂J2[7]完全一致的单萜烯酸酯残基的碳信号(表1)。1的碳氢谱还可观察到一组鸡纳糖残基的碳(表1)氢(实验部分)信号。整个21位侧链的碳信号与合欢皂甙J2相应部分碳信号十分相似(表1),证实二者21位侧链结构相同。
, 百拇医药
综上所述,1的结构鉴定为3-O-[β-D-吡喃木糖基-(1→2)-α-L-吡喃阿拉伯糖基-(1→6)-β-D-2-去氧-2-乙酰氨基-吡喃葡萄糖基]-21-O-{(6S)-2-反式-2-羟甲基-6-甲基-6-O-[4-O-((6S)-2-反式-2-羟甲基-6-甲基-6-羟基-2,7-辛二烯酸基)-β-D-吡喃鸡纳糖基]-2,7-辛二烯酸基}金合欢酸28-O-β-D-吡喃葡萄糖基-(1→3)-[α-L-吡喃阿拉伯糖基-(1→4)]-α-L-吡喃鼠李糖基-(1→2)]-β-D-吡喃葡萄糖基酯(3-O-[β-D-xylopyranosyl-(1→2)-α-L-arabinopyranosyl-(1→6)-β-D-2-deoxy-2-acetamidoglucopyranosyl]-21-O-{(6S)-2-trans-2-hydroxymethyl-6-methyl-6-O-[4-O-((6S)-2-trans-2-hydroxymethyl-6-methyl-2,7-octadienoyl)]}-β-D-quinovopyranosyl-2,7-octadienoyl} acacic ancid 28-O-β-D-glucopyranosyl-(1→3)-[α-L-arabinopyranosyl-(1→4)]-α-L-rhamnopyranosyl-(1→2)-β-D-glucopyranosyl ester),为一新化合物,命名为合欢皂甙J6(Julibroside J6)。其结构为:
, http://www.100md.com
2 实验部分 2.1 仪器与试剂
红外光谱用Perkin-Elmer983型仪器测定,KBr压片。紫外光谱用Shimadzu UV-260型分光光度仪测定,核磁共振谱用Bruker AM-500型核磁共振仪测定,TMS作为内标,质谱用Zabspec型质谱仪测定,甘油为底物(正离子FAB-MS),高效液相色谱仪为制备型Gilson高效液相色谱系统(Gilson 306 pump,800C Dynamic Mixer,506C system,118 UV/Vis Detector,201 Fraction Colletor)及Waters 600高效液相色谱系统(Waters 600pump,600 Controller,486 Tunable Absorbance Detector)。
合欢皮生药材购自四川省绵阳市医药公司药材站。生药材样品由北京医科大学生药学教研室李胜华教授鉴定为合欢属植物合欢(Albizia julibrissin Durazz.)的干燥树皮,生药材样品保存于本室。
, 百拇医药
2.2 提取与分离
13.5kg干燥合欢皮粉碎后,以40l95%卫生酒精浸泡二天,渗漉,渗漉液经薄膜浓缩(t<70℃)至小体积。药渣继续以25l95%乙醇浸泡,渗漉,减压浓缩。如此反复多次。浓缩液合并后经旋转蒸发仪回收溶剂得绿色浸膏1140g,将其悬浮于水,依次用p-ether,EtOAc,n-BuOH萃取,所得n-BuOH部分用丙酮处理,D101柱层析,得甲醇洗脱部分248g(总皂甙)。
取总皂甙150g,粗孔硅胶柱层析,氯仿-甲醇-水梯度(100∶1∶0→6∶4∶1)洗脱,收集65份(500ml/份)。第53至56流份(3.8g),经粗孔硅胶干柱层析,氯仿-甲醇-水(65∶35∶10下层)洗脱,收集第9至18流份(50ml/份),浓缩得淡土黄色粉末,经甲醇溶解,丙酮处理,如此三次,所得沉淀经Sephadex LH-20柱层析,甲醇洗脱,收集第15份(30ml/份),回收溶剂所得1.75g白色粉末再经常压反相C18硅胶柱层析,61%甲醇洗脱,收集18至20流份(50ml/份),所得700mg白色粉末经Gilson制备高效液相色谱分离(色谱柱Alltima C18,5μ,60A,22×250mm ID,流动相61.5%甲醇,流速6ml/min,检测波长216nm),得化合物1(20.3mg,64.0’)
, 百拇医药
表2 糖残基的碳谱数据
NHAc-glc
xvl
rha
glc′
1
2
3
4
5
6
C=O
Me
, http://www.100md.com
arap
1
2
3
4
5
104.8
58.0
76.1
72.2
77.8
69.5
170.1
, 百拇医药
24.0
102.2
80.3
72.5
67.4
64.2
1
2
3
4
5
glc′
1
, 百拇医药 2
3
4
5
6
106.2
75.6
77.4
70.9
67.2
95.7
76.9
78.1
, 百拇医药 71.4
79.0
62.1
1
2
3
4
5
6
araf
1
2
3
4
, 百拇医药
5
101.8
70.2
82.1
79.0
69.2
18.8
111.1
84.4
78.4
85.5
62.6
1
, 百拇医药
2
3
4
5
6
qui
1
2
3
4
5
6
105.7
75.4
, http://www.100md.com
78.4
71.9
78.4
62.8
99.3
75.6
75.4
77.2
70.3
18.6
2.3 结构鉴定
Julibroside J6(1) was obtained as a white powder,[α]17D-34.9°(c0.042,70% CH3OH),C97H153NO45,positive FAB-MS m/z:2091[M+Na+H]+,1489[M+Na+H-(2glc+ara+rha)]+,1136[M+H-(2glc+ara+rha)-(MT′+qui)]+;IR(KBr)Vmax:3416,2923,1692,1640,1382,1074(cm-1);1H NMR(500 MHz,py-d5)δ (ppm):1.15,1.04,0.96,1.15,1.86,1.04,1.08(3H×7,s,H-23,24,25,26,27,28,29,30),5.60(1H,br s,H-12);4.93(1H,d,J=8.9 Hz,H-glc-l),5.16(1H,br s,H-arap-1),4.99(1H,d,J=7.2Hz,H-xyl-l),6.04(1H,d,J=7.8Hz,H-glc′-l),5.89(1H,s,H-rha-1),6.26(1H,s,H-arap-1),5.31(1H,d,J=7.5 Hz,H-glc″-l),4.80(1H,d,J=7.9 Hz,H-qui-l),1.75(3H,d,J=5.7 Hz,H-rha-6),1.34(3H,d,J=5.0Hz,H-qui-6),2.01(3H,s,H-NHAc-Me);7.02(1H,t,J=7.5Hz,H-MT-3),6.18(1H,dd,J=10.1,17.3Hz,H-MT-7),5.20(1H,d,J=10.1Hz,H-MT-8a),5.39(1H,d,J=17.3Hz,H-MT-8b),4.76(2H,s,H-MT-9),1.48(3H,s,H-MT-10);7.23(1H,t,J=7.3Hz,H-MT′-3),6.06(1H,J=10.7,16.4Hz,H-MT′-7),5.11(1H,dd,J=10.7Hz,H-MT′-8a),5.51(1H,d,J=16.4 Hz,H-MT′-8b),4.76(2H,s,H-MT′-9),1.40(3H,s,H-MT′-10);13C NMR(125 MHz,py-d5) data see 表1~2。
, 百拇医药
(致谢:本课题核磁共振谱由涂光忠博士代测,FAB-MS由军事医学科学院质谱室代测)
参考文献
1 邹坤,陈四平,赵玉英,等。合欢属植物茎皮的化学成分与药理活性。国外医药(植物药分册) 1997;12:200
2 邹坤,赵玉英,郑俊华,等。从合欢皮中获得三个细胞毒活性的皂甙。北京医科大学学报 1997;29(4):290
3 Kun Zou,Guangzhong Tu,Yuying Zhao,et al.An isomer of Julibroside J2 from Albizia julibrissin.J Asian Nat Prod Res 1998;1:59
4 邹坤,赵玉英,张如意,等。合欢皂甙J20的结构鉴定。药学学报 1999;待发表
, 百拇医药
5 Kun Zou,Guangzhong Tu,Yuying Zhao,et al.Four cytotoxic diasteroisomeric saponins from Albizia julibrissin.Tetrahedron Lett 1999;in press
6 Fulvia Orsini,Francesca Pelizzoni and Luisella Verotta.Saponins from Albizzia lucida.Phytochemistry 1991;30:4111
7 陈四平,张如意。合欢皮中三个新皂甙的结构鉴定。药学学报 1997;32:110
(1999-03-02 收稿), 百拇医药