人 眼 曲 光 度 测 定 实 验——《医学物理学》几何光学实验
作者:陈大庆 全红
单位:同济医科大学 物理教研室,湖北 武汉 430030
关键词:光度测定;视力表
中国医学物理学杂志990224 摘要:利用一块凹透镜L2与一块可移动的凸透镜L1,当它们间距离相对变化时,整个系统可得出各种不同的的球面焦度(医学上习惯用曲光度),以此来测定眼球的曲光度。
中图分类号:R318.18
文献标识码: A
文章编号:1005-202X(1999)02-0121-02
Determination of the eye dioptric strength
, 百拇医药
——the experiment of geometrical optics medical physics
CHEN Da-qing,QUAN Hong
(Department of Physics,Tongji Medical University,Wuhan 430030,China)
Abstract:When the distance between a concave lens and a convex lens that can be moved changes,Varied dioptric strength canbe be got in the system.Then,dioptric strength of an eye will be determined.
Key words:determination of dioptric strength;vision table
, 百拇医药
本文讨论在短距离内(1.5米长光具台上),用凹、凸透镜配合,通过测量它们的间距来求算出被检眼的曲光度。实验采用一块固定的凹透镜L2与一块可移动的凸透镜L1(见图1)当两块透镜间距离变化时可得出各种不同的球面曲光度,以此来测定人体眼球的曲光度。
图1 球面曲光度测定原理图
设图1中L1的焦距为f1=O1F1,L2焦距为f2=O2F2,两透镜间距为d=O1O2,被检眼M靠近L2(M、L2间距可忽略),B为M的远点,则被检眼的曲光度为
, http://www.100md.com
当由无限远处的平行光线传播至L1,经L1会聚于焦点F1,但当d1时,该束会聚光线在到达F1点之前即遇L2,若L2的曲光度值
较大,则该束光线经过L2后将发散。若调节L1使d值合适,即使该束发散光线的反向延长线与轴线的交点恰好落在被检眼的远点上,这时被检眼视远的矫正视力最好。设L1、L2的曲光度值为
、
;测H与d的函数关系推导如下:依透镜成像公式有
, http://www.100md.com
而 O2F1=f1-d,
故

得
(1)
(1)式说明被检眼的曲光度H根据L1、L2间距离来计算。按通常情况视力表P定在5米(O1P
O1M),取D1=5D,D2=-12D,则 
, http://www.100md.com
由图可知 d=O1A-O2A (2)

可将(2)式改写为
(3)
这便是L1的曲光度为5D,L2的曲光度为-12D时d与H的函数关系式。图2即为该实验装置示意图。实验所需器材:光具座1套、+5D凸透镜一个、-12D凹透镜一个、光源、透镜夹若干、视力表底片。
, 百拇医药
图2 检测人眼曲光度实验装置
实验时将被检眼靠近凹透镜L2,另一只眼用黑布遮住。用一只手将凸透镜L1在凹透镜与视力表之间来回移动,直到能清晰地看到视力表上的视标为止。此时测量出L1至L2间的距离并代入(3)式计算即可得出被检眼的曲光度。而该眼所能看清的视力表上的字符所对应的刻度即为该眼校正后的视力。
关于实验的几点说明:
(1)由(3)式知当d=0时H≈-7D即若被检眼的曲光度在-7D以上,则需再加一块适当的凹透镜或将L2换成一块小于-12D的凹透镜方可检测。
(2)由
可知d的最大距离约为20 cm,亦即该实验中视力表至凹透镜的最大距离为20 cm。
, 百拇医药
(3)由于透镜L1、L2的直径有限(35 mm),因此L1与L2间的距离不能太大,以免经L1后进入L2至人眼的光强过小影响检测效果。
(4)本实验所用的视力表是按一定的比例缩小在一张135底片上(该比例根据人眼的最小分辨率与距离的关系而定)。
(5)光源采用一张透光性较好的白纸包上60 W灯泡,保证视力表既清楚又不刺眼。
(6)因(3)式的推导忽略了被检眼与L2的距离,因此,实验过程中被检眼应尽量靠近L2镜片。
讨论:
由于上述实验中,L2与视力表的距离较近,因此所测得的被检眼的视力约有几十度的误差。
, http://www.100md.com
根据人眼视力的定义:
(v为视力,α为人眼所能分辩的最小视角,且以分为单位),见图3。
图3 人眼所能分辨的最小视角-α
设距眼5米处视力表上视标纵向高为a,距眼x米处视力表相应纵向高为b,由图可知
即距眼x米处的视力表上的视标大小是原5米处视力表上对应视标的
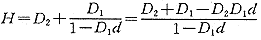
倍。因此,若将视力表按一定的比例缩小后,贴在玻璃上,置于光源前方,则视力表与凹透镜的距离理论上还可增大。现假设凹透镜与视力表的距离为x米,则d与H的函数关系式为H=D2+
(推导略)。实验操作时可取一块D2值较大的凹透镜L2,而L1可取多个不同的D值的凸透镜分别测量,再计算出H的平均值,以减小测量误差。
参考文献
[1] 曾仁端、吉民生,等.数字显示验光仪的研制[J].北京生物医学工程,1989.4.
[2] 沈行建.眼镜光学[M].天津:天津科学技术出版社,1997.6
[3] 胡纪湘.医用物理学[M].第四版,北京:北京人民卫生出版社,1995.4
[4] 曾仁端,等.医用物理实验教程[M].第二版,武汉:华中理工大学出版社,1995.8.
收稿日期:1998-05-04, 百拇医药
单位:同济医科大学 物理教研室,湖北 武汉 430030
关键词:光度测定;视力表
中国医学物理学杂志990224 摘要:利用一块凹透镜L2与一块可移动的凸透镜L1,当它们间距离相对变化时,整个系统可得出各种不同的的球面焦度(医学上习惯用曲光度),以此来测定眼球的曲光度。
中图分类号:R318.18
文献标识码: A
文章编号:1005-202X(1999)02-0121-02
Determination of the eye dioptric strength
, 百拇医药
——the experiment of geometrical optics medical physics
CHEN Da-qing,QUAN Hong
(Department of Physics,Tongji Medical University,Wuhan 430030,China)
Abstract:When the distance between a concave lens and a convex lens that can be moved changes,Varied dioptric strength canbe be got in the system.Then,dioptric strength of an eye will be determined.
Key words:determination of dioptric strength;vision table
, 百拇医药
本文讨论在短距离内(1.5米长光具台上),用凹、凸透镜配合,通过测量它们的间距来求算出被检眼的曲光度。实验采用一块固定的凹透镜L2与一块可移动的凸透镜L1(见图1)当两块透镜间距离变化时可得出各种不同的球面曲光度,以此来测定人体眼球的曲光度。
图1 球面曲光度测定原理图
设图1中L1的焦距为f1=O1F1,L2焦距为f2=O2F2,两透镜间距为d=O1O2,被检眼M靠近L2(M、L2间距可忽略),B为M的远点,则被检眼的曲光度为
, http://www.100md.com
当由无限远处的平行光线传播至L1,经L1会聚于焦点F1,但当d
, http://www.100md.com
而 O2F1=f1-d,
故
得
(1)式说明被检眼的曲光度H根据L1、L2间距离来计算。按通常情况视力表P定在5米(O1P
, http://www.100md.com
由图可知 d=O1A-O2A (2)
可将(2)式改写为
这便是L1的曲光度为5D,L2的曲光度为-12D时d与H的函数关系式。图2即为该实验装置示意图。实验所需器材:光具座1套、+5D凸透镜一个、-12D凹透镜一个、光源、透镜夹若干、视力表底片。
, 百拇医药
图2 检测人眼曲光度实验装置
实验时将被检眼靠近凹透镜L2,另一只眼用黑布遮住。用一只手将凸透镜L1在凹透镜与视力表之间来回移动,直到能清晰地看到视力表上的视标为止。此时测量出L1至L2间的距离并代入(3)式计算即可得出被检眼的曲光度。而该眼所能看清的视力表上的字符所对应的刻度即为该眼校正后的视力。
关于实验的几点说明:
(1)由(3)式知当d=0时H≈-7D即若被检眼的曲光度在-7D以上,则需再加一块适当的凹透镜或将L2换成一块小于-12D的凹透镜方可检测。
(2)由
, 百拇医药
(3)由于透镜L1、L2的直径有限(35 mm),因此L1与L2间的距离不能太大,以免经L1后进入L2至人眼的光强过小影响检测效果。
(4)本实验所用的视力表是按一定的比例缩小在一张135底片上(该比例根据人眼的最小分辨率与距离的关系而定)。
(5)光源采用一张透光性较好的白纸包上60 W灯泡,保证视力表既清楚又不刺眼。
(6)因(3)式的推导忽略了被检眼与L2的距离,因此,实验过程中被检眼应尽量靠近L2镜片。
讨论:
由于上述实验中,L2与视力表的距离较近,因此所测得的被检眼的视力约有几十度的误差。
, http://www.100md.com
根据人眼视力的定义:
图3 人眼所能分辨的最小视角-α
设距眼5米处视力表上视标纵向高为a,距眼x米处视力表相应纵向高为b,由图可知
参考文献
[1] 曾仁端、吉民生,等.数字显示验光仪的研制[J].北京生物医学工程,1989.4.
[2] 沈行建.眼镜光学[M].天津:天津科学技术出版社,1997.6
[3] 胡纪湘.医用物理学[M].第四版,北京:北京人民卫生出版社,1995.4
[4] 曾仁端,等.医用物理实验教程[M].第二版,武汉:华中理工大学出版社,1995.8.
收稿日期:1998-05-04, 百拇医药