尼可地尔在抑制内皮素诱导的血管平滑肌细胞增殖中的作用
作者:黄韶玲 余清声 陈华 朱柳
单位:广州医学院广州蛇毒研究所,广州 510182
关键词:钾通道开放剂;蛋白激酶;血管活性物质;血管平滑肌;培养细胞;增殖
广州医学院学报990301
提要 目的:探讨丝裂素活化的蛋白激酶(MAPK),在ATP敏感钾通道开放剂尼可地尔抑制内皮素(ET-1)诱导的培养大鼠血管平滑肌细胞增殖中的作用。方法:将10-7~10-5mol/L的尼可地尔导于培养血管平滑肌细胞,ET-1诱导培养大鼠血管平滑肌细胞增殖。用Western Blot法测定磷酸化MAPK蛋白表达。[3H]胸腺嘧啶核苷酸掺入测定平滑肌细胞DNA合成。结果:ATP敏感钾通道开放剂尼可地尔抑制ET-1诱导的培养大鼠血管平滑肌细胞[3H]胸腺嘧啶核苷酸掺入并同时剂量依赖性下调MAPK蛋白表达。结论:ATP敏感钾通道开放剂尼可地尔可通过下调MAPK的表达从而抑制ET-1诱导的培养大鼠血管平滑肌细胞增殖。
, http://www.100md.com
中图分类号 R543
The Role of Mitogen-activated Protein Kinase in the
Inhibitory Effect of Nicorandil (a Potassium Channel
Opener) on Endothelin-stimulated Proliferation
of Rat Vascular Smooth Muscle Cells
Huang Shaolin, Yu Qingsheng, Chen Hua,et al
(Guangzhou Research Institute of Snake Venom,Guangzhou Medical College,Guangzhou 510182)
, http://www.100md.com
Objective:To investigate the role of mitogen-activated protein kinase (MAPK) in ATP-sensitive potassium channel opener nicorandil-induced inhibition of endothelin-l(ET-1)-stimulated proliferation of rat vascular smooth muscle cells(VSMCs).Methods: Cultured rat VSMCs were pretreated with nicorandil in the concentration of 10-7~10-5mol/L,then were exposed to ET-1 for 10 min, and were harvested in lysis buffer.The expression of phospored-p44/42-MAPK was measured by Western blot,and DNA synthesis was determined by [3H] thymidine incorporation.Results:Nicorandil in the concentration of 10-7~10-5mol/L reduced ET-1-induced expression of MAPK in rat VSMCs and inhibited ET-1-stimulated incorporation of [3H] thymidine.Conclusion:The inhibitory effect of ATP-sensitive potassium channel opener nicorandil on ET-1-stimulated proliferation of rat VSMCs may be mediated by MAPK.
, http://www.100md.com
Key words Potassium channel opener;Protein kinase; Vascular smooth muscle;Cultured cell;Proliferation
血管平滑肌细胞增殖是动脉粥样硬化、再狭窄、高血压等多种血管疾病中的主要血管病变[1],内皮素(ET-1)是引进增殖的一个主要血管活性物质,虽已有多种药物用来抑制血管平滑肌细胞增殖,但疗效不佳[2],因此,寻找及开发具有这种作用的抗血管平滑肌细胞增殖的药物倍受关注。钾通道开放剂可抑制血管平滑肌细胞增殖并影响血管重构[3]。钾通道开放后,影响了细胞内离子浓度,因而与细胞增殖有关的离子信号可能发生改变。
最近发现的丝裂素活化蛋白激酶(MAPK)是一组位于胞浆的具有丝氨酸和酪氨酸双重磷酸化能力的蛋白激酶[4]。MAPK可响应G蛋白偶联的受体、酪氨酸激酶受体及离子通道信号而磷酸化,磷酸化的MAPK从胞浆移位到细胞核,激活下游与生长相关的转录因子,是多种细胞外信号传入核内的一条共同通路。
, 百拇医药
关于钾通道开放剂与MAPK生长信号系统的关系尚未见有报道。由于MAPK在生长信号的传导中的重要作用,本研究拟探讨钾通道开放剂尼可地尔(NIC)对内皮素诱导的血管平滑肌细胞的作用及与p42和p44 MAPK表达的关系。
1 材料和方法
1.1 药物和试剂 内皮素、M199培养基,胰酶,磷酸化MAPK 一抗(兔抗鼠)及辣根过氧化物标记二抗(羊抗兔)均购自Sigma公司。硝酸纤维素膜购自天象人生物制品公司,荧光显色增强剂购自杜邦公司。[3H]胸腺嘧啶购自上海原子能研究所。
1.2 血管平滑肌细胞培养[5] 取4~6周大白鼠,颈椎脱臼处死后,在无菌条件下,取出胸主动脉,置于PBS中,谨慎去除内外膜,将中层平滑肌剪成2mm3小块,等距离置于培养瓶中,在37℃孵箱(5%CO2)中贴壁4~6h后,加入含10%新生牛血清和100μ/ml青霉素的M199培养基,7天后细胞从组织边缘长出,2~3周后细胞长满底,0.1%胰蛋白酶消化,传代,继续培养,经光镜,组化染色及电镜鉴定,为血管平滑肌细胞。实验所用为第4~10代细胞。
, 百拇医药
1.3 Western Blot[6] 血管平滑肌细胞种于12孔扳上,10% M199培养,生长至80%融会时,换无血清继续培养24h。与ET-1孵育10min后,PBS洗板,加入1/5体积细胞裂解液(mmol/L)[NaCl 50,NaF 50,焦磷酸钠 50,EGTA 5,EDTA 5,苯*****0.5,HEPES 10 (pH7.4),0.1%Triton X-100 leupeptin10 mg/L)。-40℃裂解30 min,超声破碎5 s,18 000×g离心10 min后收集上清液即细胞裂解液按Bradford法[7]测定蛋白含量。
各处理组分别取20μg细胞裂解液变性后,经10%SDS聚丙烯酰胺凝胶电泳后转移至硝酸纤维素膜上,用含5%(W/V)牛血清白蛋白的TBST(Tris-HCl 20mmol/L,NaCl 137mmol/L含 0.1% Tween-20)室温封闭1h,待测蛋白特异性一抗孵育1h,TBST洗4×5分,相应的二抗孵育2h,TBST洗4×5min,化学发光增强剂反应1 min,X光片压片曝光。经显影和定影,薄层扫描仪(CS-930,日本岛津)测定免疫印迹区带的光密度。
, 百拇医药
1.4 [3H]胸腺嘧啶掺入法测DNA合成[5] 将单层长满的血管平滑肌细胞,经0.1%胰蛋白酶消化,以密度为5×104个细胞/孔传代到24板上,用含10%新生牛血清的DMEM培养基隔天换液,生长至80%融会后,加入含0.1%新生牛血清的DMEM培养基,经24h生长使VSMC同步化。加入生长因子刺激16h后,每孔加入[3H]胸腺嘧啶37KBq,再培养6h后,用生理盐水轻洗三遍,再用0.2%(W/V)胰蛋白酶消化,在负压抽吸下,将细胞收集在纤维滤纸上,0.2N NaOH及10%冰醋酸各作用5 min,最后用无水乙醇轻洗一次,红外烤干后将纤维滤纸置于含3ml闪烁液(组成:PPO 5 g,POPOP 0.2 g,加二甲苯至1000ml)的瓶中,在液闪计数仪上进行计数。
2 结果
2.1 ET-1对p44/42 MAPK表达的作用
, 百拇医药
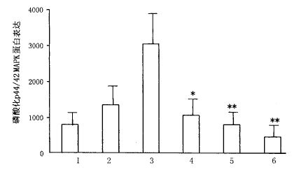
ET-1刺激10min后,磷酸化p44/42 MAPK表达明显增加,在ET-1 1nmol/L及10nmol/L磷酸化p44/42 MAPK表达较分别由对照组806±39增到1348±165及3035±206,表明ET-1刺激后p44/42 MAPK被活化(图1、图2)。
图1 Western-bloting结果显示ET-1对大鼠血管平滑肌细胞磷酸化P44/42MAPK
表达的作用,以及ATP敏感的钾通道开放剂尼可地尔这种表达的抑制作用-
图2 对放射自显影的结果进行光密度扫描,定量地显示ET-1对大鼠血管平滑肌细胞磷酸化
, 百拇医药 P44/42MAPK表达的作用,以及ATP敏感的钾通道开放剂尼可地尔这种表达的抑制作用
*P<0.05,**P<0.01 1 对照;2 ET-1 1nmol/L;3 ET-1 10nmol/L;4 NIC10-7+ET-1 10nmol/L;5 NIC10-6+ET-1 10nmol/L;6 NIC10-5+ET-1 10nmol/L
2.2 钾通道开放剂尼可地尔对ET-1诱导的血管平滑肌细胞磷酸化p44/42 MAPK表达的抑制作用。钾通道开放剂尼可地尔10-7~10-5mol/L加入培养液作用1h后,分别加入ET-1 10nmol/L,结果发现尼可地尔对ET-1诱导的血管平滑肌细胞磷酸化p44/42 MAPK表达有明显的浓度依赖性抑制作用(图1、图2)。
, 百拇医药
2.3 钾通道开放剂尼可地尔对ET-1诱导的血管平滑肌细胞[3H]胸腺嘧啶掺入的抑制作用。在未用尼可地尔的情况下,可见ET-1浓度依赖性诱导血管平滑肌细胞DNA合成。尼可地尔10-7~10-5mol/L加入培养液作用1h后,再分别加入ET-1 10nmol/L,结果发现尼可地尔对ET-1诱导的血管平滑肌细胞DNA合成有明显的浓度依赖性抑制作用(表1)。
表1 ATP敏感的钾通道开放剂尼可地尔对ET-1
刺激的大鼠血管平滑肌细胞增殖的抑制作用
(
±s,n=6)、细胞数为108个/L) 处理组
[3H]胸腺嘧啶掺入
, 百拇医药
(KBq.well-1)
对 照
0.61±0.09
ET-1 1nmol.L-1
4.4±0.4e
ET-1 10nmol.L-1
5.3±0.9e
NIC10-7+ET-1 10nmol.L-1
, 百拇医药 3.0±1.1b
NIC10-6+ET-1 10nmol.L-1
2.3±0.3c
NIC10-5+ET-1 10nmol.L-1
0.91±0.06c,d
bP<0.05,cP<0.01vsET-1组dP>0.05,eP<0.05 vs对照
3 讨论
, 百拇医药
本研究主要的发现为ATP敏感钾通道开放剂尼可地尔抑制血管平滑肌细胞增殖是通过下调p44/42表达而实现的。
已有的研究表明,ET-1诱导细胞增殖的信号传导途径是通过膜表面的G蛋白偶联的受体和肌醇磷脂系统激活PKC,随后通过Ras-Raf通路激活MAPK。活化的MAPK核移位进入核内激活一系生长相关系基因表达,引起细胞增殖。
近年的研究提示,钾通道开放剂是一类较好的抗血管平滑肌细胞增殖药物。钾通道开放剂能使细胞膜超极化,在某些平滑肌细胞,膜超极化能抑制电压依赖的钙通道开放,同样还可以影响细胞离子转运系统,从而导致细胞内Ca2+外排或抑制胞内钙储存部位的填充。而胞内钙是重要的第一信使物质之一,可调控细胞增殖。本研究进一步证明,这种抑制是通过下调p44/42表达而实现的。现己证明,MAPK级联反应是源自多种膜受体传导的生长信号越核膜传递的的交汇点。因此,抑制其表达具有重分生物学意义。
, 百拇医药
由上可见,ATP敏感钾通道开放剂尼可地尔浓度依赖性下调MAPK蛋白表达,并在10-6~10-5mol/L浓度时明显抑制血管平滑肌细胞增殖。提示ATP敏感钾通道开放剂在血管增殖性疾病如高血压、动脉粥样硬化及再狭窄中有一定的应用价值。
基金项目:本课题为广东省科委资助项目,No,960084
参考文献
1 Glagov S.Intimal hyperplasia,vascular modeling,and the restenosis problem.Circulationm,1994;89:2888~2891
2 Herrman JP,Hermans WR,Vos J,et al. Pharmacological approaches to the prevention of restenosis following angioplasty:the search for the Holy Grail- Drugs,1993;46:18~52,249~62
, http://www.100md.com
3 Force T,Bonventre JV.Growth factors and mitogen-activated protein kinase. Hypertension,1998;31(part 2):152~61
4 Duty S,Weston AH. Potassium channel opnnel openers:pharmacological effects and future uses. Drugs,1990;40:785~91
5 Huang SL,Ding B,Yu Qing-sheng,et al. Effect of antisense mitogen-activated protein kinase oligonucleotides on rat vascular smooth muscle cell proliferation induced by EGF in vitro. Acta Pharmacol Sin,1998;19:489~93
6 J.萨姆布鲁克,E.F.弗里奇,曼尼阿斯著.分子克隆实验指南.第二版.科学出版社,1995:888~897
7 Bradefor BM.Rapid and sensitive method for the quantitation of microgram quantities of protein utilizing the principle of protein-day binding.Anal Biochem,1976;72,248~54
(收稿:1999-04-14), 百拇医药
单位:广州医学院广州蛇毒研究所,广州 510182
关键词:钾通道开放剂;蛋白激酶;血管活性物质;血管平滑肌;培养细胞;增殖
广州医学院学报990301
提要 目的:探讨丝裂素活化的蛋白激酶(MAPK),在ATP敏感钾通道开放剂尼可地尔抑制内皮素(ET-1)诱导的培养大鼠血管平滑肌细胞增殖中的作用。方法:将10-7~10-5mol/L的尼可地尔导于培养血管平滑肌细胞,ET-1诱导培养大鼠血管平滑肌细胞增殖。用Western Blot法测定磷酸化MAPK蛋白表达。[3H]胸腺嘧啶核苷酸掺入测定平滑肌细胞DNA合成。结果:ATP敏感钾通道开放剂尼可地尔抑制ET-1诱导的培养大鼠血管平滑肌细胞[3H]胸腺嘧啶核苷酸掺入并同时剂量依赖性下调MAPK蛋白表达。结论:ATP敏感钾通道开放剂尼可地尔可通过下调MAPK的表达从而抑制ET-1诱导的培养大鼠血管平滑肌细胞增殖。
, http://www.100md.com
中图分类号 R543
The Role of Mitogen-activated Protein Kinase in the
Inhibitory Effect of Nicorandil (a Potassium Channel
Opener) on Endothelin-stimulated Proliferation
of Rat Vascular Smooth Muscle Cells
Huang Shaolin, Yu Qingsheng, Chen Hua,et al
(Guangzhou Research Institute of Snake Venom,Guangzhou Medical College,Guangzhou 510182)
, http://www.100md.com
Objective:To investigate the role of mitogen-activated protein kinase (MAPK) in ATP-sensitive potassium channel opener nicorandil-induced inhibition of endothelin-l(ET-1)-stimulated proliferation of rat vascular smooth muscle cells(VSMCs).Methods: Cultured rat VSMCs were pretreated with nicorandil in the concentration of 10-7~10-5mol/L,then were exposed to ET-1 for 10 min, and were harvested in lysis buffer.The expression of phospored-p44/42-MAPK was measured by Western blot,and DNA synthesis was determined by [3H] thymidine incorporation.Results:Nicorandil in the concentration of 10-7~10-5mol/L reduced ET-1-induced expression of MAPK in rat VSMCs and inhibited ET-1-stimulated incorporation of [3H] thymidine.Conclusion:The inhibitory effect of ATP-sensitive potassium channel opener nicorandil on ET-1-stimulated proliferation of rat VSMCs may be mediated by MAPK.
, http://www.100md.com
Key words Potassium channel opener;Protein kinase; Vascular smooth muscle;Cultured cell;Proliferation
血管平滑肌细胞增殖是动脉粥样硬化、再狭窄、高血压等多种血管疾病中的主要血管病变[1],内皮素(ET-1)是引进增殖的一个主要血管活性物质,虽已有多种药物用来抑制血管平滑肌细胞增殖,但疗效不佳[2],因此,寻找及开发具有这种作用的抗血管平滑肌细胞增殖的药物倍受关注。钾通道开放剂可抑制血管平滑肌细胞增殖并影响血管重构[3]。钾通道开放后,影响了细胞内离子浓度,因而与细胞增殖有关的离子信号可能发生改变。
最近发现的丝裂素活化蛋白激酶(MAPK)是一组位于胞浆的具有丝氨酸和酪氨酸双重磷酸化能力的蛋白激酶[4]。MAPK可响应G蛋白偶联的受体、酪氨酸激酶受体及离子通道信号而磷酸化,磷酸化的MAPK从胞浆移位到细胞核,激活下游与生长相关的转录因子,是多种细胞外信号传入核内的一条共同通路。
, 百拇医药
关于钾通道开放剂与MAPK生长信号系统的关系尚未见有报道。由于MAPK在生长信号的传导中的重要作用,本研究拟探讨钾通道开放剂尼可地尔(NIC)对内皮素诱导的血管平滑肌细胞的作用及与p42和p44 MAPK表达的关系。
1 材料和方法
1.1 药物和试剂 内皮素、M199培养基,胰酶,磷酸化MAPK 一抗(兔抗鼠)及辣根过氧化物标记二抗(羊抗兔)均购自Sigma公司。硝酸纤维素膜购自天象人生物制品公司,荧光显色增强剂购自杜邦公司。[3H]胸腺嘧啶购自上海原子能研究所。
1.2 血管平滑肌细胞培养[5] 取4~6周大白鼠,颈椎脱臼处死后,在无菌条件下,取出胸主动脉,置于PBS中,谨慎去除内外膜,将中层平滑肌剪成2mm3小块,等距离置于培养瓶中,在37℃孵箱(5%CO2)中贴壁4~6h后,加入含10%新生牛血清和100μ/ml青霉素的M199培养基,7天后细胞从组织边缘长出,2~3周后细胞长满底,0.1%胰蛋白酶消化,传代,继续培养,经光镜,组化染色及电镜鉴定,为血管平滑肌细胞。实验所用为第4~10代细胞。
, 百拇医药
1.3 Western Blot[6] 血管平滑肌细胞种于12孔扳上,10% M199培养,生长至80%融会时,换无血清继续培养24h。与ET-1孵育10min后,PBS洗板,加入1/5体积细胞裂解液(mmol/L)[NaCl 50,NaF 50,焦磷酸钠 50,EGTA 5,EDTA 5,苯*****0.5,HEPES 10 (pH7.4),0.1%Triton X-100 leupeptin10 mg/L)。-40℃裂解30 min,超声破碎5 s,18 000×g离心10 min后收集上清液即细胞裂解液按Bradford法[7]测定蛋白含量。
各处理组分别取20μg细胞裂解液变性后,经10%SDS聚丙烯酰胺凝胶电泳后转移至硝酸纤维素膜上,用含5%(W/V)牛血清白蛋白的TBST(Tris-HCl 20mmol/L,NaCl 137mmol/L含 0.1% Tween-20)室温封闭1h,待测蛋白特异性一抗孵育1h,TBST洗4×5分,相应的二抗孵育2h,TBST洗4×5min,化学发光增强剂反应1 min,X光片压片曝光。经显影和定影,薄层扫描仪(CS-930,日本岛津)测定免疫印迹区带的光密度。
, 百拇医药
1.4 [3H]胸腺嘧啶掺入法测DNA合成[5] 将单层长满的血管平滑肌细胞,经0.1%胰蛋白酶消化,以密度为5×104个细胞/孔传代到24板上,用含10%新生牛血清的DMEM培养基隔天换液,生长至80%融会后,加入含0.1%新生牛血清的DMEM培养基,经24h生长使VSMC同步化。加入生长因子刺激16h后,每孔加入[3H]胸腺嘧啶37KBq,再培养6h后,用生理盐水轻洗三遍,再用0.2%(W/V)胰蛋白酶消化,在负压抽吸下,将细胞收集在纤维滤纸上,0.2N NaOH及10%冰醋酸各作用5 min,最后用无水乙醇轻洗一次,红外烤干后将纤维滤纸置于含3ml闪烁液(组成:PPO 5 g,POPOP 0.2 g,加二甲苯至1000ml)的瓶中,在液闪计数仪上进行计数。
2 结果
2.1 ET-1对p44/42 MAPK表达的作用
, 百拇医药
ET-1刺激10min后,磷酸化p44/42 MAPK表达明显增加,在ET-1 1nmol/L及10nmol/L磷酸化p44/42 MAPK表达较分别由对照组806±39增到1348±165及3035±206,表明ET-1刺激后p44/42 MAPK被活化(图1、图2)。
图1 Western-bloting结果显示ET-1对大鼠血管平滑肌细胞磷酸化P44/42MAPK
表达的作用,以及ATP敏感的钾通道开放剂尼可地尔这种表达的抑制作用-
图2 对放射自显影的结果进行光密度扫描,定量地显示ET-1对大鼠血管平滑肌细胞磷酸化
, 百拇医药 P44/42MAPK表达的作用,以及ATP敏感的钾通道开放剂尼可地尔这种表达的抑制作用
*P<0.05,**P<0.01 1 对照;2 ET-1 1nmol/L;3 ET-1 10nmol/L;4 NIC10-7+ET-1 10nmol/L;5 NIC10-6+ET-1 10nmol/L;6 NIC10-5+ET-1 10nmol/L
2.2 钾通道开放剂尼可地尔对ET-1诱导的血管平滑肌细胞磷酸化p44/42 MAPK表达的抑制作用。钾通道开放剂尼可地尔10-7~10-5mol/L加入培养液作用1h后,分别加入ET-1 10nmol/L,结果发现尼可地尔对ET-1诱导的血管平滑肌细胞磷酸化p44/42 MAPK表达有明显的浓度依赖性抑制作用(图1、图2)。
, 百拇医药
2.3 钾通道开放剂尼可地尔对ET-1诱导的血管平滑肌细胞[3H]胸腺嘧啶掺入的抑制作用。在未用尼可地尔的情况下,可见ET-1浓度依赖性诱导血管平滑肌细胞DNA合成。尼可地尔10-7~10-5mol/L加入培养液作用1h后,再分别加入ET-1 10nmol/L,结果发现尼可地尔对ET-1诱导的血管平滑肌细胞DNA合成有明显的浓度依赖性抑制作用(表1)。
表1 ATP敏感的钾通道开放剂尼可地尔对ET-1
刺激的大鼠血管平滑肌细胞增殖的抑制作用
(
[3H]胸腺嘧啶掺入
, 百拇医药
(KBq.well-1)
对 照
0.61±0.09
ET-1 1nmol.L-1
4.4±0.4e
ET-1 10nmol.L-1
5.3±0.9e
NIC10-7+ET-1 10nmol.L-1
, 百拇医药 3.0±1.1b
NIC10-6+ET-1 10nmol.L-1
2.3±0.3c
NIC10-5+ET-1 10nmol.L-1
0.91±0.06c,d
bP<0.05,cP<0.01vsET-1组dP>0.05,eP<0.05 vs对照
3 讨论
, 百拇医药
本研究主要的发现为ATP敏感钾通道开放剂尼可地尔抑制血管平滑肌细胞增殖是通过下调p44/42表达而实现的。
已有的研究表明,ET-1诱导细胞增殖的信号传导途径是通过膜表面的G蛋白偶联的受体和肌醇磷脂系统激活PKC,随后通过Ras-Raf通路激活MAPK。活化的MAPK核移位进入核内激活一系生长相关系基因表达,引起细胞增殖。
近年的研究提示,钾通道开放剂是一类较好的抗血管平滑肌细胞增殖药物。钾通道开放剂能使细胞膜超极化,在某些平滑肌细胞,膜超极化能抑制电压依赖的钙通道开放,同样还可以影响细胞离子转运系统,从而导致细胞内Ca2+外排或抑制胞内钙储存部位的填充。而胞内钙是重要的第一信使物质之一,可调控细胞增殖。本研究进一步证明,这种抑制是通过下调p44/42表达而实现的。现己证明,MAPK级联反应是源自多种膜受体传导的生长信号越核膜传递的的交汇点。因此,抑制其表达具有重分生物学意义。
, 百拇医药
由上可见,ATP敏感钾通道开放剂尼可地尔浓度依赖性下调MAPK蛋白表达,并在10-6~10-5mol/L浓度时明显抑制血管平滑肌细胞增殖。提示ATP敏感钾通道开放剂在血管增殖性疾病如高血压、动脉粥样硬化及再狭窄中有一定的应用价值。
基金项目:本课题为广东省科委资助项目,No,960084
参考文献
1 Glagov S.Intimal hyperplasia,vascular modeling,and the restenosis problem.Circulationm,1994;89:2888~2891
2 Herrman JP,Hermans WR,Vos J,et al. Pharmacological approaches to the prevention of restenosis following angioplasty:the search for the Holy Grail- Drugs,1993;46:18~52,249~62
, http://www.100md.com
3 Force T,Bonventre JV.Growth factors and mitogen-activated protein kinase. Hypertension,1998;31(part 2):152~61
4 Duty S,Weston AH. Potassium channel opnnel openers:pharmacological effects and future uses. Drugs,1990;40:785~91
5 Huang SL,Ding B,Yu Qing-sheng,et al. Effect of antisense mitogen-activated protein kinase oligonucleotides on rat vascular smooth muscle cell proliferation induced by EGF in vitro. Acta Pharmacol Sin,1998;19:489~93
6 J.萨姆布鲁克,E.F.弗里奇,曼尼阿斯著.分子克隆实验指南.第二版.科学出版社,1995:888~897
7 Bradefor BM.Rapid and sensitive method for the quantitation of microgram quantities of protein utilizing the principle of protein-day binding.Anal Biochem,1976;72,248~54
(收稿:1999-04-14), 百拇医药