红曲中降血脂活性成分的研究
作者:宓鹤鸣 宋洪涛 陈 磊 杨根金 郭 涛
单位:宓鹤鸣 宋洪涛 陈 磊 杨根金 第二军医大学药学院(上海200433);郭 涛 沈阳军区总医院
关键词:红曲;洛伐他汀;降血脂
中草药/990205 摘 要 由紫红曲霉诱变育种而获得一菌株Monascus purpureus MS 18,从该菌株发酵而成的红曲药材中分离得到一化合物,经鉴定为洛伐他汀。
红曲是一味传统药材,为红曲科红曲霉属真菌紫红曲霉Monascus purpureus Went接种于大米上发酵而成〔1〕。通过对全国各地产红曲药材的调研和分析,有些产地的红曲中虽然含有强效血脂调节剂HMG-CoA还原酶抑制剂洛伐他汀,但含量甚微,为此我们通过对紫红曲霉的诱变育种获得一株我们感兴趣的菌株M.purpureus MS 18,经在大米上发酵而成红曲药材(样品编号H 18),并从中分离得到一化合物Ⅴ,经鉴定为洛伐他汀(lovastatin, monacolin K)。
, 百拇医药
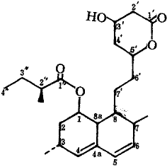
化合物Ⅴ为无色针状结晶,mp 158℃~160℃(丙酮-水重结晶),易溶于极性大的有机溶媒(甲醇、乙醇、乙酸乙酯、氯仿)和碱水,不溶于石油醚及中性、酸性水中,MS给出分子离子峰404(M),结合其13CNMR和1HNMR数据(见表1、2),推测该化合物的分子式为C24H36O5。IR(KBr) cm-1:3 540(C-H)、2 970(C-OH)、1 720(C=O)、1 660(C=C),1 220(O-C-O),说明有羟基、双键和酯羰基基团。
13CNMR中烯碳信号128.31,131.57,133.04和129.63 ppm及1HNMR中烯氢信号5.53(1H,brs.),5.98(1 H,d,J=9.6 Hz),5.79(1 H,dd,J=9.6,5.7 Hz)。结合UV在230,237,246 nm处存在最大吸收,说明分子中存在共轭双烯。此外,氢谱中给出3个连续碳上氢信号5.38(1 H,m),4.63(1 H,m),4.37(1 H,m)以及4个甲基氢信号1.09(3 H,d,J=7.2 Hz),0.91(3 H,d,J=7.5 Hz),1.10(3 H,d,J=6.9 Hz),0.88(3 H,t,J=7.2 Hz)。1H及13CNMR数据与文献报道的洛伐他汀的数据一致,故鉴定为洛伐他汀,化学结构式见图1。
, 百拇医药
图1 洛伐他汀化学结构式
1 仪器与试剂
熔点测定用电热熔点测定仪;紫外光谱用岛津UV-265℃测定;红外光谱用日立270-50测定;EI-MS用JMS-D300测定;核磁共振谱用Bruker-Spectrospin AC-P300测定;层析用硅胶为青岛海洋化工厂生产的硅胶H(10~40 μ)。红曲药材:由紫红曲霉菌M. purpureus Went诱变育种而得的菌株M.purpureus MS 18接种于蒸熟的大米上经32℃发酵7 d后,低温烘干制备而成。
2 提取和分离
将红曲研成粗粉,称取5 kg,用95%乙醇热提,提取液浓缩至稠膏状,用适量硅胶H拌和均匀后低温干燥,研成细粉后,上硅胶H低压柱,用石油醚-乙酸乙酯溶剂系统进行梯度洗脱,在石油醚-乙酸乙酯(5∶1)洗脱部分得到化合物Ⅴ,用适量苯加热溶解,放冷析出结晶,经丙酮-水重结晶得纯品109.4 mg。
, 百拇医药
3 鉴定
化合物Ⅴ为无色针状结晶,mp 158℃~160℃(丙酮-水);UVλmax nm:230,237,246。IR(KBr) cm-1:3 540,2 970,1 720,1 660,1 220。MS m/z:404(M+),302(M-102),284(M-120),224(M-180),198(M-206),172(M-232),159(M-245),157(M-247)。1HNMR(CDCl3/TMS) ppm见表1;
表1 化合物Ⅴ的1HNMR数据 H位
δppm
H位
δppm
, 百拇医药
1
5.38(1 H)
3′
4.37(1 H)
2
1.95(2 H)
4′ax
1.66(1 H)
3
2.41(1 H)
4′eq
1.99(1 H)
3-CH3
, 百拇医药
1.09(3 H,d,J=7.2 Hz)
5′
4.63(1 H)
4
5.53(1 H)
6′
1.32(1 H)
5
5.98(1 H,dd,J=9.6 Hz)
1.89(1 H)
6
5.79(1 H,dd,J=9.6,5.7 Hz)
, http://www.100md.com
7′
1.39(1 H)
7
2.39(1 H)
1.49(1 H)
7-CH3
0.91(3 H,d,J=7.5 Hz)
2″
2.36(1 H)
8
1.72(1 H)
2″-CH3
, 百拇医药
1.10(3 H,d,J=6.9 Hz)
8a
2.25(1 H)
3″
1.42(1 H)
2′eq
2.64(1 H,ddd,J=17.7,2.3,1.4 Hz)
1.64(1 H)
2′ax
2.71(1 H,dd,J=17.74,4.2 Hz)
4″
, 百拇医药
0.88(3 H,t,J=7.2 Hz)
13CNMR(CDCl3) ppm见表2。与文献报道〔2〕的洛伐他汀的数据一致。表2 化合物Ⅴ的13CNMR数据 C位
δppm
DEPT
C位
δppm
DEPT
1
67.67
CH
, http://www.100md.com
1′
170.31
C
2
32.71
CH2
2′
38.69
CH2
3
27.44
CH
3′
, 百拇医药
62.63
CH
4
128.31
CH
4′
36.18
CH2
4a
131.57
C
5′
76.01
, http://www.100md.com
CH
5
133.04
CH
6′
32.95
CH2
6
129.63
CH
7′
24.25
CH2
, 百拇医药
7
30.88
CH
1″
176.81
C
8
36.61
CH
2″
37.33
CH
8a
, http://www.100md.com 41.49
CH
3″
26.80
CH2
3-CH3
22.82
CH3
4″
11.71
CH3
7-CH3
, 百拇医药
13.86
CH3
2″-CH3
16.22
CH3
4 结论与讨论 从紫红曲霉MS18菌株接种于大米上发酵制备的中药红曲中分离到无色针晶化合物,其理化性质与洛伐他汀文献报道的一致,为内源性HMG-CoA还原酶抑制剂。本实验结果确认了我们制备的红曲药材中含有降血脂活性成分,为红曲用于防治高脂血症提供了科学依据。
Akira E曾从红色细曲霉“M.ruber No 10005”菌株的5 L发酵培养液中分离到87 mg洛伐他汀,收率为0.0017%〔2〕。我们从5 kg红曲H 18药材中分离到化合物Ⅴ 109.4 mg,收率为0.0022%。因此,可以认为,对中药红曲进一步深入研究,从中开发研制天然来源的血脂调节药物具有广阔的前景。
参 考 文 献
[1] 江苏新医学院编.中药大辞典.第一版.上海:上海人民出版社,1977:991
[2] Endo A, et al. J Antibiotics, 1979,32:852
(1998-10-25修回), http://www.100md.com
单位:宓鹤鸣 宋洪涛 陈 磊 杨根金 第二军医大学药学院(上海200433);郭 涛 沈阳军区总医院
关键词:红曲;洛伐他汀;降血脂
中草药/990205 摘 要 由紫红曲霉诱变育种而获得一菌株Monascus purpureus MS 18,从该菌株发酵而成的红曲药材中分离得到一化合物,经鉴定为洛伐他汀。
红曲是一味传统药材,为红曲科红曲霉属真菌紫红曲霉Monascus purpureus Went接种于大米上发酵而成〔1〕。通过对全国各地产红曲药材的调研和分析,有些产地的红曲中虽然含有强效血脂调节剂HMG-CoA还原酶抑制剂洛伐他汀,但含量甚微,为此我们通过对紫红曲霉的诱变育种获得一株我们感兴趣的菌株M.purpureus MS 18,经在大米上发酵而成红曲药材(样品编号H 18),并从中分离得到一化合物Ⅴ,经鉴定为洛伐他汀(lovastatin, monacolin K)。
, 百拇医药
化合物Ⅴ为无色针状结晶,mp 158℃~160℃(丙酮-水重结晶),易溶于极性大的有机溶媒(甲醇、乙醇、乙酸乙酯、氯仿)和碱水,不溶于石油醚及中性、酸性水中,MS给出分子离子峰404(M),结合其13CNMR和1HNMR数据(见表1、2),推测该化合物的分子式为C24H36O5。IR(KBr) cm-1:3 540(C-H)、2 970(C-OH)、1 720(C=O)、1 660(C=C),1 220(O-C-O),说明有羟基、双键和酯羰基基团。
13CNMR中烯碳信号128.31,131.57,133.04和129.63 ppm及1HNMR中烯氢信号5.53(1H,brs.),5.98(1 H,d,J=9.6 Hz),5.79(1 H,dd,J=9.6,5.7 Hz)。结合UV在230,237,246 nm处存在最大吸收,说明分子中存在共轭双烯。此外,氢谱中给出3个连续碳上氢信号5.38(1 H,m),4.63(1 H,m),4.37(1 H,m)以及4个甲基氢信号1.09(3 H,d,J=7.2 Hz),0.91(3 H,d,J=7.5 Hz),1.10(3 H,d,J=6.9 Hz),0.88(3 H,t,J=7.2 Hz)。1H及13CNMR数据与文献报道的洛伐他汀的数据一致,故鉴定为洛伐他汀,化学结构式见图1。
, 百拇医药
图1 洛伐他汀化学结构式
1 仪器与试剂
熔点测定用电热熔点测定仪;紫外光谱用岛津UV-265℃测定;红外光谱用日立270-50测定;EI-MS用JMS-D300测定;核磁共振谱用Bruker-Spectrospin AC-P300测定;层析用硅胶为青岛海洋化工厂生产的硅胶H(10~40 μ)。红曲药材:由紫红曲霉菌M. purpureus Went诱变育种而得的菌株M.purpureus MS 18接种于蒸熟的大米上经32℃发酵7 d后,低温烘干制备而成。
2 提取和分离
将红曲研成粗粉,称取5 kg,用95%乙醇热提,提取液浓缩至稠膏状,用适量硅胶H拌和均匀后低温干燥,研成细粉后,上硅胶H低压柱,用石油醚-乙酸乙酯溶剂系统进行梯度洗脱,在石油醚-乙酸乙酯(5∶1)洗脱部分得到化合物Ⅴ,用适量苯加热溶解,放冷析出结晶,经丙酮-水重结晶得纯品109.4 mg。
, 百拇医药
3 鉴定
化合物Ⅴ为无色针状结晶,mp 158℃~160℃(丙酮-水);UVλmax nm:230,237,246。IR(KBr) cm-1:3 540,2 970,1 720,1 660,1 220。MS m/z:404(M+),302(M-102),284(M-120),224(M-180),198(M-206),172(M-232),159(M-245),157(M-247)。1HNMR(CDCl3/TMS) ppm见表1;
表1 化合物Ⅴ的1HNMR数据 H位
δppm
H位
δppm
, 百拇医药
1
5.38(1 H)
3′
4.37(1 H)
2
1.95(2 H)
4′ax
1.66(1 H)
3
2.41(1 H)
4′eq
1.99(1 H)
3-CH3
, 百拇医药
1.09(3 H,d,J=7.2 Hz)
5′
4.63(1 H)
4
5.53(1 H)
6′
1.32(1 H)
5
5.98(1 H,dd,J=9.6 Hz)
1.89(1 H)
6
5.79(1 H,dd,J=9.6,5.7 Hz)
, http://www.100md.com
7′
1.39(1 H)
7
2.39(1 H)
1.49(1 H)
7-CH3
0.91(3 H,d,J=7.5 Hz)
2″
2.36(1 H)
8
1.72(1 H)
2″-CH3
, 百拇医药
1.10(3 H,d,J=6.9 Hz)
8a
2.25(1 H)
3″
1.42(1 H)
2′eq
2.64(1 H,ddd,J=17.7,2.3,1.4 Hz)
1.64(1 H)
2′ax
2.71(1 H,dd,J=17.74,4.2 Hz)
4″
, 百拇医药
0.88(3 H,t,J=7.2 Hz)
13CNMR(CDCl3) ppm见表2。与文献报道〔2〕的洛伐他汀的数据一致。表2 化合物Ⅴ的13CNMR数据 C位
δppm
DEPT
C位
δppm
DEPT
1
67.67
CH
, http://www.100md.com
1′
170.31
C
2
32.71
CH2
2′
38.69
CH2
3
27.44
CH
3′
, 百拇医药
62.63
CH
4
128.31
CH
4′
36.18
CH2
4a
131.57
C
5′
76.01
, http://www.100md.com
CH
5
133.04
CH
6′
32.95
CH2
6
129.63
CH
7′
24.25
CH2
, 百拇医药
7
30.88
CH
1″
176.81
C
8
36.61
CH
2″
37.33
CH
8a
, http://www.100md.com 41.49
CH
3″
26.80
CH2
3-CH3
22.82
CH3
4″
11.71
CH3
7-CH3
, 百拇医药
13.86
CH3
2″-CH3
16.22
CH3
4 结论与讨论 从紫红曲霉MS18菌株接种于大米上发酵制备的中药红曲中分离到无色针晶化合物,其理化性质与洛伐他汀文献报道的一致,为内源性HMG-CoA还原酶抑制剂。本实验结果确认了我们制备的红曲药材中含有降血脂活性成分,为红曲用于防治高脂血症提供了科学依据。
Akira E曾从红色细曲霉“M.ruber No 10005”菌株的5 L发酵培养液中分离到87 mg洛伐他汀,收率为0.0017%〔2〕。我们从5 kg红曲H 18药材中分离到化合物Ⅴ 109.4 mg,收率为0.0022%。因此,可以认为,对中药红曲进一步深入研究,从中开发研制天然来源的血脂调节药物具有广阔的前景。
参 考 文 献
[1] 江苏新医学院编.中药大辞典.第一版.上海:上海人民出版社,1977:991
[2] Endo A, et al. J Antibiotics, 1979,32:852
(1998-10-25修回), http://www.100md.com
参见:首页 > 中医药 > 中医药保健 > 食疗药膳 > 食物大全 > 调味品类 > 红曲