流动渠道中的血流动力学问题研究
作者:阮晓声 谢小平 王 奇 朱 雯
单位:浙江医科大学 物理教研室, 杭州 310031
关键词:流动渠道技术;血流动力学;牛顿流体;Casson流体
中国医学物理学杂志990316
摘要: 本文用流体动力学原理,研究了流动渠道中的血流动力学问题,分别推导了牛顿流体、Casson流体在矩形渠道中的流体动力学方程,文中还对流动渠道内的二相流问题进行研究,并就血液流变学研究中利用流动渠道技术的应用实例,讨论了流体模型选择问题
中图分类号:R331.1+1 文献标识码:A 文章编号:1005-202X(1999)03-0169-03
The hydrodynamics of blood in flow channel
, 百拇医药
RUAN Xiao-sheng, XIE Xiao-ping, WANG Qi, ZHU Wen
(Medical Physics Department,Zhejiang Medical University,Hangzhou 310031,China)
Abstract: This paper is about the hydrodynamics of blood in flow channel on the principle of hydrodynamics, and the hydrodynamics equations of Newton-fluid and Casson-fluid in rectangle channel. It also includes the studies of the diphasic flow. The fluid model selection is discussed from the examples in the hemorheology studies using flow channel technique.
, http://www.100md.com
Key words: flow channel technique; Hydrodynamics of blood; Newton-fluid; Casson-fluid
在血液流变学的方法学研究中,流动渠道是一种较好的实验工具。通过一定的流体驱动装置将血液或红细胞悬浮液注入流动渠道腔内,可研究红细胞变形、聚集等血液流变学因子[1,2]。目前,血液在圆管中的流体动力学特性在许多专著上都能见到,而血液在矩形腔体中的流动行为却鲜见报道。本文将结合流动渠道技术的应用实践,对流动渠道中的血流动力学问题进行讨论。
1 流体在矩形渠道中流动的一般表达式
在圆管中流体所受切应力τ与压力梯度△P/L间的关系由Stokes关系式确定,而在矩形流道中切应力与压力梯度的关系式需重新建立。
设流体在矩形流道内作定常、充分发展的层流流动,流体对于渠道腔壁不存在滑动,近壁层流体处于静止。在渠道内取一液段,长度为L如图1所示:
, http://www.100md.com
图1 部分矩形流体示意图
图中W代表矩形流道的宽度,h代表矩形流道的厚度。按对称性建立直角坐标系。为维持渠道内的定常流动,设沿长度L方向的压差为P1-P2,设离坐标原点O距离为y处的流体切应力为τ,则根据力平衡原理:
2yW△P=2τ(WL+2yL)
由于y的取值范围为(h/2~-h/2),而在实际应用中W
h ,实际应用中用宽厚比W/h来表示渠道形状因子,一般情况下W/h≈102[2,4]。 在(WL+2yL)两项因子中,WL
2yL,因而2yL项可以忽略(后文中所讨论的问题均属此情况)。从而得:
(1)
, http://www.100md.com
在(1)式中,当y =h/2时,τ达到最大值,记τW。
(1)′
则
(2)
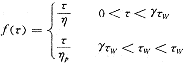
对于一般的非牛顿流体,切变率与切应力的关系为
=f(τ)。 流体在渠道内沿X方向作层流运动时,在W
h的条件下,流动速度u仅为y 的函数,因此有:
,从而可得
(3)
, http://www.100md.com
我们利用(1)式和(3)式可得流体在矩形渠道中流动的速度分布、流量、切变率等的一般表达式。
(1)速度分布 由(3)式得,-du= f(τ)dy有壁面无滑移条件和对称性分析,可知
时,u=0 ,而u(y)=u(-y) 。通过积分后可得:
(4)
再由(1)式和(2)式可得:
(5)
(2)流量 在如图(10)所示的矩形渠道中体积流量
, http://www.100md.com 将(3)式代入,得
(6)
(3)平均切变率 渠道横截面上的平均切变率定义为
对(2)式微分后代入上式得:
(7)
2 牛顿流体在矩形渠道中的流动
对于牛顿流体,切应力与切变率的表达式为
(8)
式中η为牛顿粘度,将(5)、(6)、(7)式代入(8)式,可得:
, 百拇医药
(1) 速度分布
将(1)和(1)'代入上式,可得:
(9)
(9)式表明牛顿流体在矩形渠道内运动的速度分布具有XY面内的抛物线剖面。
(2)流量
整理后得:
(10)
(3) 平均切变率
(11)
, 百拇医药
(11)式表明,牛顿流体在矩形渠道内运动的平均切变率
是渠道壁面切变率的1/2。
3 Casson流体在矩形渠道中的流动
血液是一种具有屈服应力的流体,在血液流变学中常用Casson公式来讨论血液流动问题,Casson公式的表达式为
(12)
式中ηc为Casson粘度,τc为Casson屈服应力。将(12)式中代入(5)、(6)、(7)式可得:
(1) 速度分布 讨论Casson流动分τc<τw和τc>τw两种情况。
, 百拇医药
(a) τc<τw由(2)式可得:
(13)
yc是指切应力等于τc时所对应的y值。τc<τw相当于
,由(1)′式可知
在此条件下,压力差足以驱动渠道内血流。将(12)式代入(5)式,得:
代入(1)、(2)、(13)式,可得速度分布的表达式:
(14)
, 百拇医药
当
(渠道底部或顶部)时,u=0,满足壁面无滑移条件。
(14)式中,当Y=Yc时,其速度值为
(15)
而当Yc时,均有u=uc,即Casson流体在渠道中流动时,-Yc~Yc范围内的片状流体作栓流流动。
(b) τc>τw时,
,相当于
,由Casson公式可知,f(τ)=0,进而得:
, 百拇医药
u=0 (16)
(2) 流量 为推导Casson流体在流动渠道中的流量问题,同样要考虑τc<τw和τc>τw两种情况。
(a) τc<τw 将(12)式代入(6)式
(17)
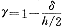
为讨论方便,定义
,其中Pc为使渠道壁面切变率等于τc时L两端的压差。积分(17)式,并代入τc及τw的表达式,得:
(18)
, 百拇医药
上式中,当τc=0即Pc=0时,
,结果与牛顿流体相同。
(b) τc>τw 此时,式(6)中f(τ)=0,故
Q=0 (19)
(3) 平均切变率
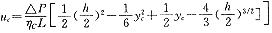
(a) τc<τw 此时(7)式为
(20)
当τc=0时,
,结果与牛顿流体相同。
, http://www.100md.com
(b) τc>τw时,式(7)中得f(τ)=0,故
(21)
4 矩形渠道中的二相流
在血液微循环中,当血管足够细时人们观察到,在毛细血管壁附近存在着血浆层。血浆层的相对厚度随毛细管径的减少而增加,这种圆管中心和边缘存在不同流态的现象,称为二相流[3]。在流动渠道技术的应用中,许多情况下渠道厚度h在102~101 μm之间。因而,也存在二相流的情况。
设血浆层厚度为δ,中心流层厚度为Yz,
-δ。令
,则
。
, http://www.100md.com
渠道中压差—流量关系随中心部分流体的流变性质不同而异,而血浆层可看作牛顿流体,粘度为ηP。由(2)式可得,中心流层和血浆层交界处的切应力为:
.因而,对应于中心流层
的切应力τ为0<τ<γvw,而对应于血浆层
的切应力τ为γτw<τ<τw。
(a) 中心部分看作牛顿流体此时的流动曲线为:
, http://www.100md.com
相应的流量为:
(22)
(b) 中心部分看作Casson流体 此时的流动曲线为:
由
可知,在τc<γτw的条件下
,此时流量表达式为:
(23)
当τc>γτW时,中心部分流层不流动,流量的计算公式
, 百拇医药
5 讨论
在流动渠道技术的具体应用中,可用蠕动泵或微量注射泵作为流体的驱动源,将血液样品或缓冲液注入矩形渠道内。如果注入液体的体积流量可精确测得,则根据渠道腔尺寸及本文讨论所得公式,可计算出相应的驱动压差。也可通过测量渠道两端的压力差,来计算流过渠道的体积流量[4]。不同的应用实践,所选的流体模型是可以不同的。图(2)是笔者进行不同项目研究所得的两幅照片:

(a) (b)
图2 流动渠道技术应用实例
图2(a)是利用流动渠道技术用底部附着法[5]研究红细胞变形性所得照片。从照片中可看出,由于红细胞的数量非常少,在渠道腔内流动的缓冲液可作为均质的牛顿流体来讨论。图2(b)是利用光测方法研究红细胞在流动渠道腔内聚集过程的照片[5]。在这里,腔内流动血液的压积高达30%,不能看作均质流体,且有屈服应力。此时,用Casson流体模型来讨论渠道腔内的流动性状更为合理。图2(b)的照片拍下了红细胞在h = 12μm 渠道腔内的单层聚集图像,照片里聚集体中红细胞盘面垂直于流动方向,渠道底部和顶部为一定厚度的血浆层,在讨论这种情况时,应考虑二相流模型。
, 百拇医药
参考文献:
[1] R.M.Hochmuth,et al.Biophsical.[J] 1973;13:747-762.
[2] L.Dintenfass,et al.Clinical Hemorheology.[J]1985;5:917-936.
[3] 冈小天.生物流变学[M].科学出版社,1988. 158-162.
[4] 阮晓声,等.中国医学物理学杂志[J],1997,14(4):354-356.
[5] 阮晓声,梁中庆.浙江医科大学学报[J],1991;20(5):215-216.
收稿日期:1998-09-08, 百拇医药
单位:浙江医科大学 物理教研室, 杭州 310031
关键词:流动渠道技术;血流动力学;牛顿流体;Casson流体
中国医学物理学杂志990316
摘要: 本文用流体动力学原理,研究了流动渠道中的血流动力学问题,分别推导了牛顿流体、Casson流体在矩形渠道中的流体动力学方程,文中还对流动渠道内的二相流问题进行研究,并就血液流变学研究中利用流动渠道技术的应用实例,讨论了流体模型选择问题
中图分类号:R331.1+1 文献标识码:A 文章编号:1005-202X(1999)03-0169-03
The hydrodynamics of blood in flow channel
, 百拇医药
RUAN Xiao-sheng, XIE Xiao-ping, WANG Qi, ZHU Wen
(Medical Physics Department,Zhejiang Medical University,Hangzhou 310031,China)
Abstract: This paper is about the hydrodynamics of blood in flow channel on the principle of hydrodynamics, and the hydrodynamics equations of Newton-fluid and Casson-fluid in rectangle channel. It also includes the studies of the diphasic flow. The fluid model selection is discussed from the examples in the hemorheology studies using flow channel technique.
, http://www.100md.com
Key words: flow channel technique; Hydrodynamics of blood; Newton-fluid; Casson-fluid
在血液流变学的方法学研究中,流动渠道是一种较好的实验工具。通过一定的流体驱动装置将血液或红细胞悬浮液注入流动渠道腔内,可研究红细胞变形、聚集等血液流变学因子[1,2]。目前,血液在圆管中的流体动力学特性在许多专著上都能见到,而血液在矩形腔体中的流动行为却鲜见报道。本文将结合流动渠道技术的应用实践,对流动渠道中的血流动力学问题进行讨论。
1 流体在矩形渠道中流动的一般表达式
在圆管中流体所受切应力τ与压力梯度△P/L间的关系由Stokes关系式确定,而在矩形流道中切应力与压力梯度的关系式需重新建立。
设流体在矩形流道内作定常、充分发展的层流流动,流体对于渠道腔壁不存在滑动,近壁层流体处于静止。在渠道内取一液段,长度为L如图1所示:
, http://www.100md.com
图1 部分矩形流体示意图
图中W代表矩形流道的宽度,h代表矩形流道的厚度。按对称性建立直角坐标系。为维持渠道内的定常流动,设沿长度L方向的压差为P1-P2,设离坐标原点O距离为y处的流体切应力为τ,则根据力平衡原理:
2yW△P=2τ(WL+2yL)
由于y的取值范围为(h/2~-h/2),而在实际应用中W
, http://www.100md.com
在(1)式中,当y =h/2时,τ达到最大值,记τW。
则
对于一般的非牛顿流体,切变率与切应力的关系为
, http://www.100md.com
我们利用(1)式和(3)式可得流体在矩形渠道中流动的速度分布、流量、切变率等的一般表达式。
(1)速度分布 由(3)式得,-du= f(τ)dy有壁面无滑移条件和对称性分析,可知
再由(1)式和(2)式可得:
(2)流量 在如图(10)所示的矩形渠道中体积流量
, http://www.100md.com 将(3)式代入,得
(3)平均切变率 渠道横截面上的平均切变率定义为
对(2)式微分后代入上式得:
2 牛顿流体在矩形渠道中的流动
对于牛顿流体,切应力与切变率的表达式为
式中η为牛顿粘度,将(5)、(6)、(7)式代入(8)式,可得:
, 百拇医药
(1) 速度分布
将(1)和(1)'代入上式,可得:
(9)式表明牛顿流体在矩形渠道内运动的速度分布具有XY面内的抛物线剖面。
(2)流量
整理后得:
(3) 平均切变率
, 百拇医药
(11)式表明,牛顿流体在矩形渠道内运动的平均切变率
3 Casson流体在矩形渠道中的流动
血液是一种具有屈服应力的流体,在血液流变学中常用Casson公式来讨论血液流动问题,Casson公式的表达式为
式中ηc为Casson粘度,τc为Casson屈服应力。将(12)式中代入(5)、(6)、(7)式可得:
(1) 速度分布 讨论Casson流动分τc<τw和τc>τw两种情况。
, 百拇医药
(a) τc<τw由(2)式可得:
yc是指切应力等于τc时所对应的y值。τc<τw相当于
代入(1)、(2)、(13)式,可得速度分布的表达式:
, 百拇医药
当
(14)式中,当Y=Yc时,其速度值为
而当Y
(b) τc>τw时,
, 百拇医药
u=0 (16)
(2) 流量 为推导Casson流体在流动渠道中的流量问题,同样要考虑τc<τw和τc>τw两种情况。
(a) τc<τw 将(12)式代入(6)式
为讨论方便,定义
, 百拇医药
上式中,当τc=0即Pc=0时,
(b) τc>τw 此时,式(6)中f(τ)=0,故
Q=0 (19)
(3) 平均切变率
(a) τc<τw 此时(7)式为
当τc=0时,
, http://www.100md.com
(b) τc>τw时,式(7)中得f(τ)=0,故
4 矩形渠道中的二相流
在血液微循环中,当血管足够细时人们观察到,在毛细血管壁附近存在着血浆层。血浆层的相对厚度随毛细管径的减少而增加,这种圆管中心和边缘存在不同流态的现象,称为二相流[3]。在流动渠道技术的应用中,许多情况下渠道厚度h在102~101 μm之间。因而,也存在二相流的情况。
设血浆层厚度为δ,中心流层厚度为Yz,
, http://www.100md.com
渠道中压差—流量关系随中心部分流体的流变性质不同而异,而血浆层可看作牛顿流体,粘度为ηP。由(2)式可得,中心流层和血浆层交界处的切应力为:
(a) 中心部分看作牛顿流体此时的流动曲线为:
, http://www.100md.com
相应的流量为:
(b) 中心部分看作Casson流体 此时的流动曲线为:
由
当τc>γτW时,中心部分流层不流动,流量的计算公式
, 百拇医药
5 讨论
在流动渠道技术的具体应用中,可用蠕动泵或微量注射泵作为流体的驱动源,将血液样品或缓冲液注入矩形渠道内。如果注入液体的体积流量可精确测得,则根据渠道腔尺寸及本文讨论所得公式,可计算出相应的驱动压差。也可通过测量渠道两端的压力差,来计算流过渠道的体积流量[4]。不同的应用实践,所选的流体模型是可以不同的。图(2)是笔者进行不同项目研究所得的两幅照片:
(a) (b)
图2 流动渠道技术应用实例
图2(a)是利用流动渠道技术用底部附着法[5]研究红细胞变形性所得照片。从照片中可看出,由于红细胞的数量非常少,在渠道腔内流动的缓冲液可作为均质的牛顿流体来讨论。图2(b)是利用光测方法研究红细胞在流动渠道腔内聚集过程的照片[5]。在这里,腔内流动血液的压积高达30%,不能看作均质流体,且有屈服应力。此时,用Casson流体模型来讨论渠道腔内的流动性状更为合理。图2(b)的照片拍下了红细胞在h = 12μm 渠道腔内的单层聚集图像,照片里聚集体中红细胞盘面垂直于流动方向,渠道底部和顶部为一定厚度的血浆层,在讨论这种情况时,应考虑二相流模型。
, 百拇医药
参考文献:
[1] R.M.Hochmuth,et al.Biophsical.[J] 1973;13:747-762.
[2] L.Dintenfass,et al.Clinical Hemorheology.[J]1985;5:917-936.
[3] 冈小天.生物流变学[M].科学出版社,1988. 158-162.
[4] 阮晓声,等.中国医学物理学杂志[J],1997,14(4):354-356.
[5] 阮晓声,梁中庆.浙江医科大学学报[J],1991;20(5):215-216.
收稿日期:1998-09-08, 百拇医药