眼罩遮盖法鸡形觉剥夺眼的形态及屈光状态
作者:程序 徐亮 廖彬
单位:程序 徐亮 北京市眼科研究所(100000);廖彬 北京同仁医院眼科
关键词:屈光,眼;近视/模型;动物,实验
眼视光学杂志/990305摘 要 目的:研究眼罩遮盖的鸡形觉剥夺眼眼球形态及屈光状态随不同遮盖、去遮盖时间的变化。方法:55只雏鸡行单眼眼罩遮盖,于不同遮盖时及去遮盖时期行双眼散瞳验光及眼球径测量。结果:眼罩遮盖造成遮盖眼形成近视,眼球各径线增长,以前后径变化最为明显,双眼屈光度及眼轴差异随遮盖时间延长而更加明显;去除遮盖后原遮盖眼近视逐渐恢复,双眼各径线差异逐渐缩小。结论:遮盖(形觉剥夺)可使幼小动物眼形成近视,眼轴延长是近视的主要原因;在动物发育成熟以前去除遮盖,形觉剥夺性近视是可逆的。
Refraction and shapes of form-deprived chick eyes
, http://www.100md.com
Cheng Xu,Xu Liang,Liao Bin.
Beijing Institute of Ophthalmology,Beijing 100000
Abstract Objective:To investigate the refraction and shapes of chick's eyes with monocular goggle occlusion.Methods:55 neonatal chicks underwent monocular goggle occlusion for different period of time,and were performed retinoscopic refraction with cycloplegia.The shape of the eyeballs was measured afterward.Results:Form-deprivation rapidly led to development of myopia in the occluded eyes.The longer the eyes were occluded,the more severe the myopia was.While removing the occluders led to rapid alleviation of myopia.The occluded eyes became much larger.There was very good correlation between myopia dioptors and axial length in occluded eyes.Conclusion:Form-deprivation Myopia (FDM)is a reversible phenomenon before the animals were fully matured.The axial elongation is the main cause of FDM.Environmental factors play important roles in the development of myopia.
, 百拇医药
Key words Refraction,ocular Myopia/models Animals,laboratory
国外研究表明,当用各种方法使得幼小动物视网膜上不能得到清晰物像时,可使该眼球异常生长,表现为眼轴增长,形成高度近视,因而被称为形觉剥夺性近视(Form Deprivation Myopia,FDM)。这已经在多种动物如鸡[1]、猕猴[2]、树鼠[3]的实验中得以证实。国内近视动物模型多采用眼睑缝合法,对形觉剥夺眼行非睫状肌麻痹状态下的检影验光。本实验采用更为简便易行的眼罩遮盖法,动态观察睫状肌麻痹状态下双眼屈光状态和眼球形态随遮盖及去遮盖时间的变化。为我们进行下一步形觉剥夺性近视眼视网膜形态及功能变化的研究提供动物模型。
1 材料和方法
1.1 形觉剥夺动物模型的建立
, 百拇医药
采用海赛克鸡雏,(均购自朝阳种鸡场)。全部实验用鸡均在孵出当日行单眼眼罩遮盖,在16∶8小时的昼夜节律下进行普通饲养。眼罩为半透明塑料眼药瓶底,直径15mm,经日本产ANA-D-5照度计测量,其透光率为90.61%。用民用万能胶将眼罩牢固粘在小鸡眼睛周围的羽毛上,并在眼罩下方留有狭长缝隙供透气用。凡在饲养过程中眼罩脱落的小鸡均予以淘汰。
实验用眼分为遮盖(30只)和去遮盖(25只)两大组,另眼为对照眼。遮盖组分别于2、4、6周时去除眼罩,行检影验光、电生理检查,而后取眼球测眼球径并行病理切片检查(其中电生理及视网膜病理检查结果将在近期陆续报告);去遮盖组于遮盖4周后将眼罩去除,继续饲养,分别在去遮盖1、2、3周和6周时行检影验光,于去遮盖3周及6周时行眼球径测量及电生理、视网膜病理检查。
1.2 形觉剥夺性近视的评价
1.2.1 散瞳验光:验光前去除眼罩,双眼用溴化双哌雄双酯(Pancuronium Bromide)散瞳、待瞳孔散大、对光反射消失后请同一有经验的验光师进行检影验光。
, 百拇医药
1.2.2 眼球径测量:动物在深麻醉下取出双侧眼球,用游标卡尺测量其前后径、赤道径,二者均测量三次取平均值。
1.3 统计分析:使用SPSS统计软件包,双眼采用配对t检验,组间采用分组t检验和单因素方差分析。P<0.05(*)为差异有显著性意义,P<0.01(**)为差异有极显著性意义。
2 结果
2.1 实验眼与对照眼屈光状态的评价及其与遮盖、去遮盖时间的关系
2.1.1 眼罩遮盖造成遮盖眼形成近视,遮盖眼与对照眼屈光度有极显著性差异,且遮盖眼随遮盖时间延长近视越明显,遮盖2周、4周、6周之间差异有极显著性意义(表1,图1)。
表1 不同遮盖时间的双眼屈光度
遮盖时间
, http://www.100md.com
2周
4周
6周
遮盖眼屈光度
-11.78±3.67D
-26.25±3.69D
-33.78±5.95D
对照眼屈光度
-0.06±1.10D
-0.13±0.83D
0.83±1.00D
n
, http://www.100md.com
9
8
9
P值
0.0000**
0.0000**
0.0000**
图1 双眼屈光度随遮盖时间变化
2.1.2 单眼遮盖4周后,去除原遮盖眼眼罩,继续饲养,原遮盖眼近视逐渐恢复,遮盖眼与对照眼屈光度差异逐渐缩小,去遮盖1、2、3、6周原遮盖眼屈光度之间差异有显著性意义(表2,图2)。
, 百拇医药
表2 不同去遮盖时间的双眼屈光度
去遮盖时间
1周
2周
3周
6周
原遮盖眼屈光度
-21.00±5.03D
-12.33±4.63D
-4.67±3.20D
0.00±0.57D
对照眼屈光度
, http://www.100md.com
-0.07±1.27D
1.17±0.75D
1.17±0.41D
0.33±0.38D
n
7
6
6
6
P值
0.0000**
0.0000**
, http://www.100md.com
0.008**
0.268
图2 双眼屈光度随去遮盖时间变化2.1.3 对照眼在生后2~10周内屈光度无明显差异。
2.2 遮盖眼与对照眼眼球各径线变化及其与遮盖、去遮盖时间的关系
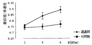
2.2.1 单眼眼罩遮盖造成遮盖眼眼球增大,表现为眼球前后径、赤道径均明显增长,同时前房加深,遮盖眼与对照眼之间有极显著性差异,且遮盖眼前后径与赤道径长度之比较对照眼大,差异有显著性。随遮盖时间延长,上述差异越显著(差异有显著性)(表3,图3)。
, 百拇医药 表3 不同遮盖时间的双眼径线(mm) 遮盖
时间
眼数
(n)
遮盖眼
对照眼
前后径(a)
赤道径(e)
a/e
前后径(a)
赤道径(e)
a/e
2周
, 百拇医药
10
8.89±0.35**
11.68±0.37**
0.76±0.01*
8.13±0.34
10.96±0.55
0.74±0.02
4周
12
11.28±1.65**
13.32±1.47**
, 百拇医药
0.84±0.05**
9.28±1.09
12.29±1.21
0.77±0.04
6周
8
13.82±0.46**
15.57±0.78**
0.89±0.04**
10.78±0.51
14.01±0.82
, http://www.100md.com
0.77±0.03
注:与对照眼比较*P<0.05;**P<0.01
图3 双眼前后径与赤道之比随遮盖时间变化2.2.2 单眼遮盖4周后,去除原遮盖眼眼罩,继续饲养,原遮盖眼与对照眼各径线差异逐渐缩小(表4,图4)。表4 不同去遮盖时间的双眼径线 去遮盖
时间
眼数
(n)
遮盖眼
对照眼
, 百拇医药
前后径(a)
赤道径(e)
a/e
前后径(a)
赤道径(e)
a/e
0周
12
11.28±1.65**
13.32±1.47**
0.84±0.05**
9.28±1.09
, 百拇医药
12.29±1.21
0.75±0.04
3周
6
12.71±0.36**
14.84±0.22
0.86±0.02**
11.43±0.35
14.78±0.32
0.77±0.03
6周
, 百拇医药 6
12.54±0.14
15.32±0.43
0.82±0.02
12.43±0.11
15.12±0.38
0.82±0.02
注:与对照组比较*P<0.05:**P<0.01
图4 双眼前后径与赤道之比随去遮盖时间变化
, 百拇医药
2.2.3 遮盖眼屈光度与眼轴关系:在遮盖期间,随遮盖眼眼球前后径的增长,该眼的屈光度也随之增加,二者有很好的相关性(r=0.92836,P=0.000)(图5)。
图5 遮盖期间遮盖眼屈光度与眼球前后径关系3 讨论
本实验成功地诱导出小鸡的近视,为下一步进行形觉剥夺性近视眼视网膜形态及功能变化的研究提供了可靠的动物模型。
3.1 形觉剥夺性近视模型轴性改变特征
用半透明的眼罩遮盖新生小鸡单眼全视野,使其视网膜上不能得到清晰的成像,可使该眼球异常生长,表现为眼球体积增大,各径线增长,形成近视[4~6]。本实验发现遮盖2周时遮盖眼已产生明显的近视,其屈光度随遮盖时间的延长明显加大,实验中观察到遮盖眼近视的最大度数可达-41.0D;然而当去除遮盖,即恢复小鸡的正常视觉环境后,其近视度数逐渐恢复,到去遮盖3周时仅残留轻度近视(-4.67±3.20D),到去遮盖6周时,已完全恢复成正视,说明形觉剥夺性近视至少是在动物发育的成熟以前是可逆的。本实验中验光前双眼均用溴化双哌雄双酯充分散瞳并松弛睫状肌。由于鸡眼从睫状神经节到睫状肌(横纹肌)的神经冲动都是通过N受体传递的,因而眼科临床常用的M受体阻断剂是不能对鸡眼产生散瞳和调节麻痹作用的。溴化双哌雄双酯为N受体阻断剂,是麻醉科常用的肌松药,可在鸡眼上起到充分的散瞳和调节麻痹作用,保证了检影验光的准确性。
, 百拇医药
本实验中发现,单眼遮盖两周,遮盖眼已产生明显近视的同时,该眼眼球体积已明显大于对照眼,表现为遮盖眼的前后径和赤道径均较对照眼明显增大,且遮盖眼前后径与赤道径之比明显大于对照眼;到遮盖4周、6周时,上述变化趋于更加明显。通过相关及回归分析,在遮盖过程中遮盖眼的屈光度与其前后径有极高度的线性相关关系(相关系数R=0.93,见图5),从而说明遮盖眼的眼轴延长是其近视的主要原因。巩膜病理和生化检查均显示后巩膜是形觉剥夺性近视反应的最活跃部位[7,8]。我们用眼球前后径与赤道径之比来反应眼球的形态(二者比值越大,说明该眼球越接近纵椭圆形),发现随遮盖时间延长,遮盖眼前后径与赤道径之比也逐渐加大(差异有显著性),由此可见形觉剥夺更主要是造成了剥夺眼眼球前后径的异常伸长,后巩膜的合成、代谢加速是其主要原因。
3.2 形觉剥夺眼正视化过程
据推测形觉剥夺性近视的恢复原因是去遮盖后,原遮盖眼得到正常视觉信息后,玻璃体腔停止或减慢生长,使得整个眼轴仅有轻度的继续伸长,而此时对照眼则仍在按照正常速度生长发育,眼轴继续增长,从而双眼眼轴长度的差距越来越小。同时,随着眼球的正常发育,原遮盖眼眼前节继续生长,表现为角膜变平,屈折力变小,且晶体屈折力也变小[6,9,10],最终使该眼的屈光力与眼轴相匹配而恢复到正视。在本实验中,随去遮盖时间延长,双眼前后径及赤道径的差异逐渐缩小,到去遮盖6周时,双眼前后径和赤道径均无显著性差异,符合上述假说。
, 百拇医药
由以上实验不难看出,遮盖(形觉剥夺)使幼小动物视网膜上不能得到清晰成像,可使其眼球异常生长、眼轴增长形成近视;去除遮盖(即恢复幼小动物视网膜上的正常视觉信号传入),该眼球自动调整其后节的生长速度,使其眼轴的增长减慢,最终使眼轴与眼屈光系统相匹配而达到正视。另有报道,用眼罩遮盖小鸡单眼不同方向的视野可造成相应部位眼球径的增长和局部近视状态[4~6]。以上均说明新生动物的眼球生长发育与其视觉环境密切相关,从而有力地证明了正常视觉环境因素对眼屈光系统正视化起重要作用。然而,目前还没有找到任何一条明确的反馈环路参与调节该过程,即调整视网膜平面的位置与焦平面精确相配。Schaeffel等[11,12]认为在控制正常眼生长发育过程中存在两条反馈环路,一为感受视网膜上的成像质量,一为感受调节张力,形觉剥夺性近视的形成主要涉及前者。形觉剥夺打破了该反馈环路,使该眼无论通过何种方式均使视网膜上始终不能得到清晰物像而始终不能提供“已达到适宜的轴长”的信息。在这种“开环”(Open-loop)的情况下,眼轴的不断增长始终不能被“监控”到,因而使视网膜平面超越焦平面而产生了近视眼。而一旦该眼恢复了正常视网膜上的成像,则该反馈环路正常运作,产生对眼轴伸长的控制。然而视网膜上的异常成像信号是如何引起一系列病生理变化最终作用到巩膜,目前仍不清楚,有待于进一步探讨。总之,新生小鸡的眼球生长发育与其视觉环境密切相关,由此可证实环境因素对屈光系统正视化起重要作用。
, 百拇医药
4 参考文献
[1] Wallman JT,Turkel J,Trachtman J,et al.Extreme myopia produced by modest change in early visual experience.Science,1978,201∶1249~1254
[2] Wiesel TN,Raviala E.Myopia and enlargement after neonatal lid fusion in monkey.Nature,1977,266∶66~68
[3] Marsh-Tootle Wl,Norton TT.Refractive and structural measures of lid-suture myopia in tree shrew.Invest Ophthalmol Vis Sci,1989,30∶2245~2257
, http://www.100md.com
[4] Hodos W,Kuenzel WJ.Retinal-image degradation produces ocular enlargement in chicks.Invest Ophthalmol Vis Sci,1984,652~659
[5] Hayes BP,Fitzke FW,Hodos W,et al.A morphological analysis of experimental myopia in young chickens.Invest Ophthalmol Vis Sci,1986,27∶981~991
[6] Wallman J,Gottlieb M,Rajaram V,et al.Local retinal regions control local eye growth and myopia.Science,1987,237∶73~77
[7] Rada JA,Mathews AL,Brenza H.Regional proteoglycan synthesis in the sclera of experimentally myopic chicks.Exp Eye Res,1994,59∶747~760
, 百拇医药
[8] 朱小松,刘家琦,陈瑞英等.实验性近视鸡模型眼的形态学和病理学研究.中华斜视与小儿眼科杂志,1994,2∶24~28
[9] Troilo D,Wallman J.The regulation of eye growth and refractive state:an experimental study of emmetropization.Vision Res,1991,31∶1237~1250
[10] Wallman J,Wildsoet C,Xu A,et al.Moving the retina:choroidal modulation of refractive state.Vision Res,1995,35∶37~50
[11] Schaeffel F,Glasser A,Howland HC.Accommodation,refractive error and eye growth in chicks.Vision Res,1988,28∶639~657
[12] Schaeffel F,Hagel G,Bartman M,et al.6-Hydroxy dopamine does not affect lens-induced refractive errors but suppresses deprivation myopia.Vision Res,1994,34∶143~149
(收稿:1999-06-11,修回:1999-07-08), 百拇医药
单位:程序 徐亮 北京市眼科研究所(100000);廖彬 北京同仁医院眼科
关键词:屈光,眼;近视/模型;动物,实验
眼视光学杂志/990305摘 要 目的:研究眼罩遮盖的鸡形觉剥夺眼眼球形态及屈光状态随不同遮盖、去遮盖时间的变化。方法:55只雏鸡行单眼眼罩遮盖,于不同遮盖时及去遮盖时期行双眼散瞳验光及眼球径测量。结果:眼罩遮盖造成遮盖眼形成近视,眼球各径线增长,以前后径变化最为明显,双眼屈光度及眼轴差异随遮盖时间延长而更加明显;去除遮盖后原遮盖眼近视逐渐恢复,双眼各径线差异逐渐缩小。结论:遮盖(形觉剥夺)可使幼小动物眼形成近视,眼轴延长是近视的主要原因;在动物发育成熟以前去除遮盖,形觉剥夺性近视是可逆的。
Refraction and shapes of form-deprived chick eyes
, http://www.100md.com
Cheng Xu,Xu Liang,Liao Bin.
Beijing Institute of Ophthalmology,Beijing 100000
Abstract Objective:To investigate the refraction and shapes of chick's eyes with monocular goggle occlusion.Methods:55 neonatal chicks underwent monocular goggle occlusion for different period of time,and were performed retinoscopic refraction with cycloplegia.The shape of the eyeballs was measured afterward.Results:Form-deprivation rapidly led to development of myopia in the occluded eyes.The longer the eyes were occluded,the more severe the myopia was.While removing the occluders led to rapid alleviation of myopia.The occluded eyes became much larger.There was very good correlation between myopia dioptors and axial length in occluded eyes.Conclusion:Form-deprivation Myopia (FDM)is a reversible phenomenon before the animals were fully matured.The axial elongation is the main cause of FDM.Environmental factors play important roles in the development of myopia.
, 百拇医药
Key words Refraction,ocular Myopia/models Animals,laboratory
国外研究表明,当用各种方法使得幼小动物视网膜上不能得到清晰物像时,可使该眼球异常生长,表现为眼轴增长,形成高度近视,因而被称为形觉剥夺性近视(Form Deprivation Myopia,FDM)。这已经在多种动物如鸡[1]、猕猴[2]、树鼠[3]的实验中得以证实。国内近视动物模型多采用眼睑缝合法,对形觉剥夺眼行非睫状肌麻痹状态下的检影验光。本实验采用更为简便易行的眼罩遮盖法,动态观察睫状肌麻痹状态下双眼屈光状态和眼球形态随遮盖及去遮盖时间的变化。为我们进行下一步形觉剥夺性近视眼视网膜形态及功能变化的研究提供动物模型。
1 材料和方法
1.1 形觉剥夺动物模型的建立
, 百拇医药
采用海赛克鸡雏,(均购自朝阳种鸡场)。全部实验用鸡均在孵出当日行单眼眼罩遮盖,在16∶8小时的昼夜节律下进行普通饲养。眼罩为半透明塑料眼药瓶底,直径15mm,经日本产ANA-D-5照度计测量,其透光率为90.61%。用民用万能胶将眼罩牢固粘在小鸡眼睛周围的羽毛上,并在眼罩下方留有狭长缝隙供透气用。凡在饲养过程中眼罩脱落的小鸡均予以淘汰。
实验用眼分为遮盖(30只)和去遮盖(25只)两大组,另眼为对照眼。遮盖组分别于2、4、6周时去除眼罩,行检影验光、电生理检查,而后取眼球测眼球径并行病理切片检查(其中电生理及视网膜病理检查结果将在近期陆续报告);去遮盖组于遮盖4周后将眼罩去除,继续饲养,分别在去遮盖1、2、3周和6周时行检影验光,于去遮盖3周及6周时行眼球径测量及电生理、视网膜病理检查。
1.2 形觉剥夺性近视的评价
1.2.1 散瞳验光:验光前去除眼罩,双眼用溴化双哌雄双酯(Pancuronium Bromide)散瞳、待瞳孔散大、对光反射消失后请同一有经验的验光师进行检影验光。
, 百拇医药
1.2.2 眼球径测量:动物在深麻醉下取出双侧眼球,用游标卡尺测量其前后径、赤道径,二者均测量三次取平均值。
1.3 统计分析:使用SPSS统计软件包,双眼采用配对t检验,组间采用分组t检验和单因素方差分析。P<0.05(*)为差异有显著性意义,P<0.01(**)为差异有极显著性意义。
2 结果
2.1 实验眼与对照眼屈光状态的评价及其与遮盖、去遮盖时间的关系
2.1.1 眼罩遮盖造成遮盖眼形成近视,遮盖眼与对照眼屈光度有极显著性差异,且遮盖眼随遮盖时间延长近视越明显,遮盖2周、4周、6周之间差异有极显著性意义(表1,图1)。
表1 不同遮盖时间的双眼屈光度
遮盖时间
, http://www.100md.com
2周
4周
6周
遮盖眼屈光度
-11.78±3.67D
-26.25±3.69D
-33.78±5.95D
对照眼屈光度
-0.06±1.10D
-0.13±0.83D
0.83±1.00D
n
, http://www.100md.com
9
8
9
P值
0.0000**
0.0000**
0.0000**
图1 双眼屈光度随遮盖时间变化
2.1.2 单眼遮盖4周后,去除原遮盖眼眼罩,继续饲养,原遮盖眼近视逐渐恢复,遮盖眼与对照眼屈光度差异逐渐缩小,去遮盖1、2、3、6周原遮盖眼屈光度之间差异有显著性意义(表2,图2)。
, 百拇医药
表2 不同去遮盖时间的双眼屈光度
去遮盖时间
1周
2周
3周
6周
原遮盖眼屈光度
-21.00±5.03D
-12.33±4.63D
-4.67±3.20D
0.00±0.57D
对照眼屈光度
, http://www.100md.com
-0.07±1.27D
1.17±0.75D
1.17±0.41D
0.33±0.38D
n
7
6
6
6
P值
0.0000**
0.0000**
, http://www.100md.com
0.008**
0.268
图2 双眼屈光度随去遮盖时间变化2.1.3 对照眼在生后2~10周内屈光度无明显差异。
2.2 遮盖眼与对照眼眼球各径线变化及其与遮盖、去遮盖时间的关系
2.2.1 单眼眼罩遮盖造成遮盖眼眼球增大,表现为眼球前后径、赤道径均明显增长,同时前房加深,遮盖眼与对照眼之间有极显著性差异,且遮盖眼前后径与赤道径长度之比较对照眼大,差异有显著性。随遮盖时间延长,上述差异越显著(差异有显著性)(表3,图3)。
, 百拇医药 表3 不同遮盖时间的双眼径线(mm) 遮盖
时间
眼数
(n)
遮盖眼
对照眼
前后径(a)
赤道径(e)
a/e
前后径(a)
赤道径(e)
a/e
2周
, 百拇医药
10
8.89±0.35**
11.68±0.37**
0.76±0.01*
8.13±0.34
10.96±0.55
0.74±0.02
4周
12
11.28±1.65**
13.32±1.47**
, 百拇医药
0.84±0.05**
9.28±1.09
12.29±1.21
0.77±0.04
6周
8
13.82±0.46**
15.57±0.78**
0.89±0.04**
10.78±0.51
14.01±0.82
, http://www.100md.com
0.77±0.03
注:与对照眼比较*P<0.05;**P<0.01
图3 双眼前后径与赤道之比随遮盖时间变化2.2.2 单眼遮盖4周后,去除原遮盖眼眼罩,继续饲养,原遮盖眼与对照眼各径线差异逐渐缩小(表4,图4)。表4 不同去遮盖时间的双眼径线 去遮盖
时间
眼数
(n)
遮盖眼
对照眼
, 百拇医药
前后径(a)
赤道径(e)
a/e
前后径(a)
赤道径(e)
a/e
0周
12
11.28±1.65**
13.32±1.47**
0.84±0.05**
9.28±1.09
, 百拇医药
12.29±1.21
0.75±0.04
3周
6
12.71±0.36**
14.84±0.22
0.86±0.02**
11.43±0.35
14.78±0.32
0.77±0.03
6周
, 百拇医药 6
12.54±0.14
15.32±0.43
0.82±0.02
12.43±0.11
15.12±0.38
0.82±0.02
注:与对照组比较*P<0.05:**P<0.01
图4 双眼前后径与赤道之比随去遮盖时间变化
, 百拇医药
2.2.3 遮盖眼屈光度与眼轴关系:在遮盖期间,随遮盖眼眼球前后径的增长,该眼的屈光度也随之增加,二者有很好的相关性(r=0.92836,P=0.000)(图5)。
图5 遮盖期间遮盖眼屈光度与眼球前后径关系3 讨论
本实验成功地诱导出小鸡的近视,为下一步进行形觉剥夺性近视眼视网膜形态及功能变化的研究提供了可靠的动物模型。
3.1 形觉剥夺性近视模型轴性改变特征
用半透明的眼罩遮盖新生小鸡单眼全视野,使其视网膜上不能得到清晰的成像,可使该眼球异常生长,表现为眼球体积增大,各径线增长,形成近视[4~6]。本实验发现遮盖2周时遮盖眼已产生明显的近视,其屈光度随遮盖时间的延长明显加大,实验中观察到遮盖眼近视的最大度数可达-41.0D;然而当去除遮盖,即恢复小鸡的正常视觉环境后,其近视度数逐渐恢复,到去遮盖3周时仅残留轻度近视(-4.67±3.20D),到去遮盖6周时,已完全恢复成正视,说明形觉剥夺性近视至少是在动物发育的成熟以前是可逆的。本实验中验光前双眼均用溴化双哌雄双酯充分散瞳并松弛睫状肌。由于鸡眼从睫状神经节到睫状肌(横纹肌)的神经冲动都是通过N受体传递的,因而眼科临床常用的M受体阻断剂是不能对鸡眼产生散瞳和调节麻痹作用的。溴化双哌雄双酯为N受体阻断剂,是麻醉科常用的肌松药,可在鸡眼上起到充分的散瞳和调节麻痹作用,保证了检影验光的准确性。
, 百拇医药
本实验中发现,单眼遮盖两周,遮盖眼已产生明显近视的同时,该眼眼球体积已明显大于对照眼,表现为遮盖眼的前后径和赤道径均较对照眼明显增大,且遮盖眼前后径与赤道径之比明显大于对照眼;到遮盖4周、6周时,上述变化趋于更加明显。通过相关及回归分析,在遮盖过程中遮盖眼的屈光度与其前后径有极高度的线性相关关系(相关系数R=0.93,见图5),从而说明遮盖眼的眼轴延长是其近视的主要原因。巩膜病理和生化检查均显示后巩膜是形觉剥夺性近视反应的最活跃部位[7,8]。我们用眼球前后径与赤道径之比来反应眼球的形态(二者比值越大,说明该眼球越接近纵椭圆形),发现随遮盖时间延长,遮盖眼前后径与赤道径之比也逐渐加大(差异有显著性),由此可见形觉剥夺更主要是造成了剥夺眼眼球前后径的异常伸长,后巩膜的合成、代谢加速是其主要原因。
3.2 形觉剥夺眼正视化过程
据推测形觉剥夺性近视的恢复原因是去遮盖后,原遮盖眼得到正常视觉信息后,玻璃体腔停止或减慢生长,使得整个眼轴仅有轻度的继续伸长,而此时对照眼则仍在按照正常速度生长发育,眼轴继续增长,从而双眼眼轴长度的差距越来越小。同时,随着眼球的正常发育,原遮盖眼眼前节继续生长,表现为角膜变平,屈折力变小,且晶体屈折力也变小[6,9,10],最终使该眼的屈光力与眼轴相匹配而恢复到正视。在本实验中,随去遮盖时间延长,双眼前后径及赤道径的差异逐渐缩小,到去遮盖6周时,双眼前后径和赤道径均无显著性差异,符合上述假说。
, 百拇医药
由以上实验不难看出,遮盖(形觉剥夺)使幼小动物视网膜上不能得到清晰成像,可使其眼球异常生长、眼轴增长形成近视;去除遮盖(即恢复幼小动物视网膜上的正常视觉信号传入),该眼球自动调整其后节的生长速度,使其眼轴的增长减慢,最终使眼轴与眼屈光系统相匹配而达到正视。另有报道,用眼罩遮盖小鸡单眼不同方向的视野可造成相应部位眼球径的增长和局部近视状态[4~6]。以上均说明新生动物的眼球生长发育与其视觉环境密切相关,从而有力地证明了正常视觉环境因素对眼屈光系统正视化起重要作用。然而,目前还没有找到任何一条明确的反馈环路参与调节该过程,即调整视网膜平面的位置与焦平面精确相配。Schaeffel等[11,12]认为在控制正常眼生长发育过程中存在两条反馈环路,一为感受视网膜上的成像质量,一为感受调节张力,形觉剥夺性近视的形成主要涉及前者。形觉剥夺打破了该反馈环路,使该眼无论通过何种方式均使视网膜上始终不能得到清晰物像而始终不能提供“已达到适宜的轴长”的信息。在这种“开环”(Open-loop)的情况下,眼轴的不断增长始终不能被“监控”到,因而使视网膜平面超越焦平面而产生了近视眼。而一旦该眼恢复了正常视网膜上的成像,则该反馈环路正常运作,产生对眼轴伸长的控制。然而视网膜上的异常成像信号是如何引起一系列病生理变化最终作用到巩膜,目前仍不清楚,有待于进一步探讨。总之,新生小鸡的眼球生长发育与其视觉环境密切相关,由此可证实环境因素对屈光系统正视化起重要作用。
, 百拇医药
4 参考文献
[1] Wallman JT,Turkel J,Trachtman J,et al.Extreme myopia produced by modest change in early visual experience.Science,1978,201∶1249~1254
[2] Wiesel TN,Raviala E.Myopia and enlargement after neonatal lid fusion in monkey.Nature,1977,266∶66~68
[3] Marsh-Tootle Wl,Norton TT.Refractive and structural measures of lid-suture myopia in tree shrew.Invest Ophthalmol Vis Sci,1989,30∶2245~2257
, http://www.100md.com
[4] Hodos W,Kuenzel WJ.Retinal-image degradation produces ocular enlargement in chicks.Invest Ophthalmol Vis Sci,1984,652~659
[5] Hayes BP,Fitzke FW,Hodos W,et al.A morphological analysis of experimental myopia in young chickens.Invest Ophthalmol Vis Sci,1986,27∶981~991
[6] Wallman J,Gottlieb M,Rajaram V,et al.Local retinal regions control local eye growth and myopia.Science,1987,237∶73~77
[7] Rada JA,Mathews AL,Brenza H.Regional proteoglycan synthesis in the sclera of experimentally myopic chicks.Exp Eye Res,1994,59∶747~760
, 百拇医药
[8] 朱小松,刘家琦,陈瑞英等.实验性近视鸡模型眼的形态学和病理学研究.中华斜视与小儿眼科杂志,1994,2∶24~28
[9] Troilo D,Wallman J.The regulation of eye growth and refractive state:an experimental study of emmetropization.Vision Res,1991,31∶1237~1250
[10] Wallman J,Wildsoet C,Xu A,et al.Moving the retina:choroidal modulation of refractive state.Vision Res,1995,35∶37~50
[11] Schaeffel F,Glasser A,Howland HC.Accommodation,refractive error and eye growth in chicks.Vision Res,1988,28∶639~657
[12] Schaeffel F,Hagel G,Bartman M,et al.6-Hydroxy dopamine does not affect lens-induced refractive errors but suppresses deprivation myopia.Vision Res,1994,34∶143~149
(收稿:1999-06-11,修回:1999-07-08), 百拇医药