茯苓三萜成分及其衍生物的构效关系研究
作者:沈 芊 许先栋 顾慧儿
单位:中国医学科学院 中国协和医科大学医药生物技术研究所,北京 100050
关键词:茯苓三萜;三萜衍生物;抗肝癌细胞活性
中国药物化学杂志 CHINESE JOURNAL OF MEDICINAL CHEMISTRY 1999年 第9卷 第4期 vol摘 要 从国产茯苓中分离出3种茯苓三萜成分,制备了14个茯苓三萜衍生物,其化学结构经元素分析、质谱、红外、紫外和核磁共振等确证无误.同时测定了它们对小鼠肝癌H-22细胞的抑制率,并对其构效关系进行了初步推断.
Studies on the Derivatives and Structure-Activity
Relationships of Fuling Triterpene
, http://www.100md.com
Shen Qian,Xu Xiandong,Gu Huier
(Institute of Medicinal Biotechnology,Chinese Academy of Medical Sciences,Beijing 100050)
Abstract In search of antitumor structure-activity relationships of fuling triterpene and its derivatives and looking for more effective antitumor compounds,we designed and prepared fourteen derivatives of fuling triterpene in this paper.The structures of these new compounds were examined by IR,UV,Mass and 1H-NMR spectra as well as elemental analysis.Results of antitumor activity to tumor cell H-22 showed∶The antitumor activity of the ester derivatives was increased,but antitumor activity of the ester derivatives had Cl and Br decreased.
, 百拇医药
Key words fuling triterpene;triterpene derivatives;antitumor activity
近20年来,由于茯苓三萜成分抗肿瘤作用的不断发现,促使人们对茯苓三萜成分进行广泛深入的研究.迄今从茯苓中分离纯化并确定了化学结构的茯苓三萜成分已有20多种.为了了解国产茯苓中所含三萜成分及其衍生物的构效关系,分离出3种茯苓三萜成分,测定了它们的结构,合成制得了14种衍生物,同时测定了它们对小鼠肝癌H-22细胞的抑制率,并对其构效关系进行了初步推断.
1 茯苓三萜成分的分离与衍生物的制备
熔点用X-6型精密熔点仪测定(温度未经校正),红外光谱仪为岛津AZ-435型,紫外光谱仪为UV-2201型,质谱仪为VGZAB spec型,核磁共振仪为Mercury-300型和Bruker Am-500型,旋光光谱仪为Perkin Elmer型.
, 百拇医药
硅胶GF254和硅胶H为青岛海洋化工厂生产.白茯苓购自北京同仁堂.石油醚、乙酸乙酯等化学试剂均为北京化工厂生产的化学纯试剂.
1.1 提取与分离
白茯苓1 000 g,用无水乙醇浸泡20 h,过滤,滤液浓缩至干,得浓缩物8.17 g,取8 g用适量硅胶H吸附,加在装有80 g硅胶H的真空快速色谱柱(VLC)上,依次用石油醚、石油醚-乙酸乙酯(v∶v=7∶3)和乙酸乙酯洗脱,得到不同极性的三部分,其中石油醚-乙酸乙酯部分浓缩后用20 cm×20 cm的硅胶GF254薄层板,在环己烷-乙酸乙酯-冰醋酸(v∶v∶v=6∶4∶0.5)中进行分离,甲醇重结晶得到晶(Ⅰ)3.4 mg,晶(Ⅱ)14 mg,晶(Ⅲ)25 mg.
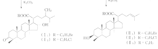
1.2 21位羧基酯化衍生物(Ⅰ1,Ⅰ2,Ⅱ1,Ⅱ2,Ⅱ5,Ⅲ1,Ⅲ2)的制备
, 百拇医药
取由真空快速层析柱上收集到的主含茯苓四环三萜(Ⅰ),(Ⅱ),(Ⅲ)的样品500 mg用150 mL丙酮溶解,加入1 g无水碳酸钾和1 mL 1,2-二溴乙烷,回流4 h后,荧光检测.反应液过滤,浓缩后用20 cm×20 cm的硅胶GF254薄层板,在苯-石油醚-乙酸乙酯(v∶v∶v=3∶2∶1)溶剂系统中分离,甲醇重结晶,得目标物:(Ⅰ1)2.1 mg,(Ⅱ1)4.8 mg,(Ⅲ1)12 mg.用同样方法与1-溴-3-氯丙烷、1-碘丙烷反应得目标物(Ⅰ2),(Ⅱ2),(Ⅱ5),(Ⅲ2).
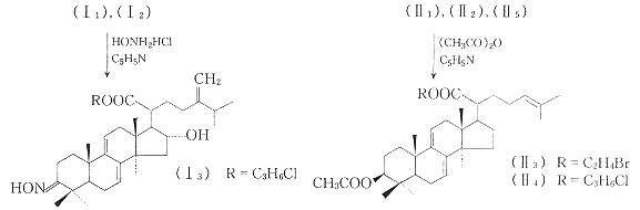
1.3 3位羟基酯化衍生物(Ⅱ3),(Ⅱ4),(Ⅲ3),(Ⅲ4)的制备
取(Ⅰ2)200 mg,加入2 mL吡啶和1 mL醋酸酐,室温搅拌24 h后,用6 mol/L盐酸将反应液调pH 3左右,用乙酸乙酯提取,荧光检测,将乙酸乙酯液浓缩,用20 cm×20 cm硅胶GF254薄层板,在苯-石油醚-乙酸乙酯(v∶v∶v=2∶2∶0.5)中进行分离,甲醇重结晶,得目标化合物(Ⅱ3)60 mg,用同样方法制得目标物(Ⅱ4),(Ⅲ3),(Ⅲ4).
, 百拇医药
1.4 3,16位羟基氧化衍生物(Ⅲ5)的制备
取(Ⅲ2)250 mg溶于20 mL二氯甲烷中,加入吡啶嗡氯铬酸盐(PCC)600 mg,室温搅拌10 h后,用20 cm×20 cm的硅胶GF254薄层板,在苯-石油醚-乙酸乙酯(v∶v∶v=3∶2∶1)中进行分离,甲醇重结晶,得目标物(Ⅲ5)100 mg.
1.5 酮基肟化衍生物(Ⅰ3,Ⅲ6)的制备
取(Ⅰ2)400 mg溶于8 mL无水乙醇中,加120 mg盐酸羟胺8 mL吡啶,回流10 h后,用6 mol/L盐酸将反应液调pH 3左右,用乙酸乙酯提取,荧光检测,将乙酸乙酯液浓缩后,用20 cm×20 cm硅胶GF254薄层板,在苯-石油醚-乙酸乙酯(v∶v∶v=3∶2∶1)中进行分离,甲醇重结晶,得目标物(Ⅰ3),用同样方法制得目标物(Ⅲ6).
, 百拇医药
2 茯苓三萜及其衍生物的结构确证
晶(Ⅰ)、晶(Ⅱ)和晶(Ⅲ)经元素分析、红外光谱、紫外光谱、质谱、核磁共振氢谱及碳谱等分析以及与文献〔1~3〕对照,确定结构如图1所示.
Fig.1 Structure of fuling tritrpene (Ⅰ)(Ⅱ)(Ⅲ)
所制备的14个茯苓四环三萜衍生物均未见文献报道,其结构经元素分析、红外光谱、紫外光谱、质谱及核磁共振谱等确证无误(见图2,图3).其理化数据及光谱数据见表1,表2.


, 百拇医药
Fig.2 Derivatives of fuling triterpene (Ⅰ),(Ⅱ)



Fig.3 Derivatives of fuling triterpene (Ⅲ)
, 百拇医药
Tab.1 The properties of compounds and the data of elemental analysis
Compd.
mp/℃
[α]25D/(°)
Elemental analysis/%
Element
Calcd.
Found
Ⅰ
201~205
, http://www.100md.com
+18.60(C2H5OH,c=1.0)
C
77.18
77.32
H
9.54
9.70
Ⅰ1
141~144
+18.33(CHCl3,c=1.0)
Br
, http://www.100md.com
13.58
13.97
Ⅰ2
155~158
+28.88(CHCl3,c=1.0)
Cl
6.36
6.32
Ⅰ3
160~162
-47.41(CHCl3,c=1.0)
, 百拇医药
Cl
6.19
6.43
Ⅱ
238~240
+48.57(C2H5OH,c=1.0)
C
79.30
79.45
H
10.13
10.43
, 百拇医药
Ⅱ1
144~147
+83.20(CHCl3,c=1.0)
Br
14.26
14.04
Ⅱ2
155~158
+38.62(CHCl3,c=1.0)
Cl
6.69
, 百拇医药
6.95
Ⅱ3
107~109
+59.62(CHCl3,c=1.0)
Br
13.27
13.22
Ⅱ4
79~82
+61.86(CHCl3,c=1.0)
Cl
, http://www.100md.com
6.20
6.12
Ⅱ5
120~122
+10.00(CHCl3,c=1.0)
C
79.84
80.02
H
10.48
9.80
Ⅲ
, 百拇医药
253~256
+21.88(C2H5OH,c=1.0)
C
76.54
76.77
H
10.29
10.12
Ⅲ1
110~114
+34.95(CHCl3,c=1.0)
, 百拇医药
Br
13.48
13.59
Ⅲ2
127~130
+19.63(CHCl3,c=1.0)
Cl
6.31
6.23
Ⅲ3
92~95
+30.09(CHCl3,c=1.0)
, 百拇医药
Br
12.60
12.72
Ⅲ4
58~60
+28.57(CHCl3,c=1.0)
Cl
5.87
6.07
Ⅲ5
111~113
-24.00(CHCl3,c=1.0)
, 百拇医药
Cl
6.32
6.31
Ⅲ6
99~101
-39.60(CHCl3,c=1.0)
Cl
6.16
6.12
Tab.2 Spectra data of UV,IR,MS,1H-NMR
Compd.
, http://www.100md.com
UV(MeOH)
λmax/nm
IR(KBr)
/cm-1
FAB-MS
m/e
1H-NMR(C5D5N)δ
Ⅰ
237(236.86),244(257.89),252(183.92)
, http://www.100md.com
3375,1700,1680,893
482,464,449,437
5.62(1H,J=6.9 Hz,H-7),5.39(1H,d,J=5.1 Hz,H-11),4.98,4.85(2H,s,H-31),4.17(1H,m,H-16),1.43(3H,s,H-30),1.16(3H,d,J=4.2 Hz,H-26),1.14(3H,d,J=4.2 Hz,H-27),1.10(3H,s,H-28),1.06(3H,s,H-19),1.04(3H,s,H-29),1.03(3H,s,H-18)
Ⅰ1
236(261.54),246(237.92),251(163.12)
3400,1738,1720,890
, 百拇医药
591,589,537,557
5.60(1H,d,J=6 Hz,H-7),5.45(1H,d,J=7.5 Hz,H-11),4.94,4.87(2H,H-31),4.63(2H,m,H-1),3.75(2H,t,J=6 Hz,H-2′)
Ⅰ2
237(82.46),244(88.11)
3490,1720,890
561,559,541,525
5.60(1H,d,J=6 Hz,H-7),5.46(1H,d,J=6 Hz,H-11),4.93,4.87(2H,H-31),4.43(2H,t,J=6 Hz,H-1′),3.76(2H,m,H-3′)
, 百拇医药
Ⅰ3
235(242.73),243(273.85),251(183.60)
3350,1720
547,558,541
11.86(1H,s,NOH),5.61(1H,s,H-7),5.46(1H,d,J=6 Hz,H-11),4.92,4.86(2H,s,H-31),4.42(3H,m,H-16,H-1′),3.73(2H,t,J=6 Hz,H-3′),2.84(1H,t,J=11.4 Hz,H-20)
Ⅱ
237(196.63),246(224.78),254(151.29)
, 百拇医药 3400,1700,882
455,454,437,421
5.59(1H,s,H-7),5.33(1H,s,J=8.7 Hz,H-11),5.26(1H,s,H-24),3.37(1H,t,J=8.4 Hz,H-3),1.65(3H,s,H-26),1.60(3H,s,H-27),1.18(3H,s,H-28),1.15(3H,s,H-29),1.07(3H,s,H-29),1.01(3H,s,H-26),0.919(3H,s,H-30)
Ⅱ1
237(184.13),246(209.63),254(140.68)
3500,1710
562,560,545
, 百拇医药
5.62(1H,s,H-7),5.43(1H,d,J=6 Hz,H-11),5.27(1H,t,J=8.7 Hz,H-24),4.59(2H,m,H-1′),3.75(2H,m,H-2′),3.44(1H,t,J=6 Hz,H-3),2.57(1H,H-20)
Ⅱ2
237(182.18),246(212.50),254(143.26)
3500,1715
533,532,530,513,454
5.62(1H,s,H-7),5.45(1H,d,J=6 Hz,H-11),5.25(1H,t,J=6 Hz,H-24),4.43(2H,m,H-1′),3.74(2H,m,H-3′),3.47(1H,t,J=7.5 Hz,H-3),2.55(1H,H-20)
, http://www.100md.com
Ⅱ3
236(170.04),243(194.21),252(126.95)
1730,1300
603,545,479,451
5.57(2H,s,H-7),5.36(1H,d,J=6.9 Hz,H-11),5.27(1H,t,J=6 Hz,H-24),4.70(1H,m,H-3),4.59(2H,m,H-1′),3.74(2H,m,H-2′),2.05(3H,s,CH3COO)
Ⅱ4
231(173.92),243(198.76),252(131.68)
, 百拇医药
1725,1300
573,513,451
5.57(1H,s,H-7),5.39(1H,d,J=6 Hz,H-11),5.26(1H,t,J=6.9 Hz,H-24),4.70(1H,m,H-3),4.41(2H,m,H-1′),3.75(2H,m,H-3′),2.57(1H,td J=10.5 Hz,6 Hz,H-20),2.05(3H,s,CH3COO)
Ⅱ5
237(187.52),246(211.98),254(144.04)
3505,1700
497,479,464,437
, 百拇医药
5.62(1H,s,H-7),5.46(1H,d,J=6 Hz,H-11),5.27(1H,t,J=7.5 Hz,H-24),4.19(2H,m,H-1′),3.44(1H,t,J=9.3 Hz,H-3),2.55(1H,td,J=11.1 Hz,7.5 Hz,H-20)
Ⅲ
236(141.77),244(159.81),252(108.26)
3350,1680,890
486,468,453,435
4.97,4.87(2H,s,H-31),4.50(1H,s,H-16),3.45(1H,t,J=7.0 Hz,H-3),1.66(3H,m,H-30),1.48(3H,m,H-18),1.23(3H,m,H-26),1.12(3H,m,H-27),1.06(3H,m,H-19),1.05(3H,m,H-29),1.04(3H,m,H-28)
, 百拇医药
Ⅲ1
235(96.58),243(107.08),252(72.23)
3360,1720,885
593,575,560,513
4.94,4.87(2H,s,H-31),4.62(3H,m,H-16,H-1′),3.57(2H,t,J=6 Hz,H-2′),3.47(1H,td,J=16.2 Hz,7.5 Hz,H-3),2.55(1H,m,H-20)
Ⅲ2
235(84.97),243(93.80),251(64.33)
3380,1725,880
, 百拇医药
564,563,562,545,529,451
4.93,4.87(2H,s,H-31),4.64(3H,m,H-16,H-1′),3.37(2H,m,H-3′),3.45(1H,t,J=6.6 Hz,H-3)
Ⅲ3
235(63.05),243(69.79),252(47.45)
3500,1720,1250,882
635,573,509,435
4.94,4.87(2H,s,H-31),4.70(1H,m,H-3),4.61(3H,m,H-16,H-1′),3.78(2H,m,H-2′),2.85(1H,m,H-17),2.54(1H,t, J=5.4 Hz,H-20),2.06(3H,s,CH3COO)
, 百拇医药
Ⅲ4
230(92.70),243(103.06),251(70.29)
3400,1730,1245
605,587,527,449
4.92,4.87(2H,s,H-31),4.70(1H,m,H-3),4.46(3H,m,H-16,H-1′),3.74(2H,m,H-3′),2.06(3H,m,CH\-3COO)
Ⅲ5
236(115.21),243(132.94),252(91.03)
3400,1700,885
, 百拇医药
559,541,497,465
4.97,4.91(2H,s,H-31),4.43(2H,m,H-1′),3.78(2H,m,H-3′),2.89(1H,m,H-20)
Ⅲ6
235(108.69),243(115.37),252(78.33)
3400,1730
589,573
12.39(1H,d,J=16.2 Hz,NOH-16),11.86(1H,d,J=16.2 Hz 3位=NOH),4.88,4.85(2H,s,H-31),4.40(2H,m,H-1′),3.75(2H,m,H-3′)
, http://www.100md.com
3 构效关系讨论
采用MTT法测定了3个母体化合物及14个目标化合物对小鼠肝癌H-22细胞的杀伤作用,结果见表3.Tab.3 Inhibiting effect of compounds on cancer cell H-22 of rats
Drug
Concentration/mg.L-1
x±s
Inhibition/%
P
Ⅰ
160
, 百拇医药
0.920±0.078
64.0
<0.01
Ⅰ1
150
1.185±0.28
28.0
<0.01
Ⅰ3
170
1.970±0.226
21.0
, 百拇医药
<0.01
Ⅱ5
170
1.265±0.182
42.5
<0.01
Ⅲ
170
1.135±0.21
55.0
<0.01
Ⅲ1
, 百拇医药
170
1.814±0.264
23.8
<0.01
Note:inhibition ratio of the other compounds on cancer cell H-22 of rat
从表3的初步结果可见:茯苓三萜成分及其衍生物对小鼠肝癌H-22细胞的抑制作用可能与A,D环上的3,16位是否连有酮基和羟基有关,如化合物(Ⅰ)的3,16位分别连有酮基和羟基,化合物(Ⅲ)的3,16位各连有一个羟基,其抑制率分别为64.0%和55.0%,而化合物(Ⅱ)仅3位连有一个羟基,其抑制率小于15%.化合物(Ⅰ),(Ⅱ),(Ⅲ)的羧基酯化衍生物的抑制率结果则显示:化合物(Ⅱ)的丙基酯化衍生物的抑制率增加到42.5%,而化合物(Ⅰ),(Ⅲ)的卤代酯化衍生物的抑制率均明显低于其母体化合物.
, http://www.100md.com
致谢:化合物的红外光谱、紫外光谱由医药生物技术研究所赵淑敏老师测定,核磁共振谱、旋光及元素分析由药物研究所分析中心提供,质谱由军事医学科学仪器测试中心提供.
作者简介:许先栋 通讯联系人
参考文献
1 Takaaki Tai,Tetsuro Shingu,Tohru Kikuchi,et al.Triterpenes from the surface of Poria cocos.Phytochemistry,1995,39(5):1165~1169
2 Takaaki Tai,Akiya Akahori,Tetsuro Shingu.Triterpenes of Poria cocos.Phytochemisty,1993,32(5):1239~1244
3 Akiko Kanematsu,Shinsaku Natori.Triterpenoids of hoelen(fuling),sclerotia of Poria cocos(Schw.)Wolf.Ⅱ. Chem Pharm Bull,1970,18(4):779~783
收稿日期:1999-07-23, 百拇医药
单位:中国医学科学院 中国协和医科大学医药生物技术研究所,北京 100050
关键词:茯苓三萜;三萜衍生物;抗肝癌细胞活性
中国药物化学杂志 CHINESE JOURNAL OF MEDICINAL CHEMISTRY 1999年 第9卷 第4期 vol摘 要 从国产茯苓中分离出3种茯苓三萜成分,制备了14个茯苓三萜衍生物,其化学结构经元素分析、质谱、红外、紫外和核磁共振等确证无误.同时测定了它们对小鼠肝癌H-22细胞的抑制率,并对其构效关系进行了初步推断.
Studies on the Derivatives and Structure-Activity
Relationships of Fuling Triterpene
, http://www.100md.com
Shen Qian,Xu Xiandong,Gu Huier
(Institute of Medicinal Biotechnology,Chinese Academy of Medical Sciences,Beijing 100050)
Abstract In search of antitumor structure-activity relationships of fuling triterpene and its derivatives and looking for more effective antitumor compounds,we designed and prepared fourteen derivatives of fuling triterpene in this paper.The structures of these new compounds were examined by IR,UV,Mass and 1H-NMR spectra as well as elemental analysis.Results of antitumor activity to tumor cell H-22 showed∶The antitumor activity of the ester derivatives was increased,but antitumor activity of the ester derivatives had Cl and Br decreased.
, 百拇医药
Key words fuling triterpene;triterpene derivatives;antitumor activity
近20年来,由于茯苓三萜成分抗肿瘤作用的不断发现,促使人们对茯苓三萜成分进行广泛深入的研究.迄今从茯苓中分离纯化并确定了化学结构的茯苓三萜成分已有20多种.为了了解国产茯苓中所含三萜成分及其衍生物的构效关系,分离出3种茯苓三萜成分,测定了它们的结构,合成制得了14种衍生物,同时测定了它们对小鼠肝癌H-22细胞的抑制率,并对其构效关系进行了初步推断.
1 茯苓三萜成分的分离与衍生物的制备
熔点用X-6型精密熔点仪测定(温度未经校正),红外光谱仪为岛津AZ-435型,紫外光谱仪为UV-2201型,质谱仪为VGZAB spec型,核磁共振仪为Mercury-300型和Bruker Am-500型,旋光光谱仪为Perkin Elmer型.
, 百拇医药
硅胶GF254和硅胶H为青岛海洋化工厂生产.白茯苓购自北京同仁堂.石油醚、乙酸乙酯等化学试剂均为北京化工厂生产的化学纯试剂.
1.1 提取与分离
白茯苓1 000 g,用无水乙醇浸泡20 h,过滤,滤液浓缩至干,得浓缩物8.17 g,取8 g用适量硅胶H吸附,加在装有80 g硅胶H的真空快速色谱柱(VLC)上,依次用石油醚、石油醚-乙酸乙酯(v∶v=7∶3)和乙酸乙酯洗脱,得到不同极性的三部分,其中石油醚-乙酸乙酯部分浓缩后用20 cm×20 cm的硅胶GF254薄层板,在环己烷-乙酸乙酯-冰醋酸(v∶v∶v=6∶4∶0.5)中进行分离,甲醇重结晶得到晶(Ⅰ)3.4 mg,晶(Ⅱ)14 mg,晶(Ⅲ)25 mg.
1.2 21位羧基酯化衍生物(Ⅰ1,Ⅰ2,Ⅱ1,Ⅱ2,Ⅱ5,Ⅲ1,Ⅲ2)的制备
, 百拇医药
取由真空快速层析柱上收集到的主含茯苓四环三萜(Ⅰ),(Ⅱ),(Ⅲ)的样品500 mg用150 mL丙酮溶解,加入1 g无水碳酸钾和1 mL 1,2-二溴乙烷,回流4 h后,荧光检测.反应液过滤,浓缩后用20 cm×20 cm的硅胶GF254薄层板,在苯-石油醚-乙酸乙酯(v∶v∶v=3∶2∶1)溶剂系统中分离,甲醇重结晶,得目标物:(Ⅰ1)2.1 mg,(Ⅱ1)4.8 mg,(Ⅲ1)12 mg.用同样方法与1-溴-3-氯丙烷、1-碘丙烷反应得目标物(Ⅰ2),(Ⅱ2),(Ⅱ5),(Ⅲ2).
1.3 3位羟基酯化衍生物(Ⅱ3),(Ⅱ4),(Ⅲ3),(Ⅲ4)的制备
取(Ⅰ2)200 mg,加入2 mL吡啶和1 mL醋酸酐,室温搅拌24 h后,用6 mol/L盐酸将反应液调pH 3左右,用乙酸乙酯提取,荧光检测,将乙酸乙酯液浓缩,用20 cm×20 cm硅胶GF254薄层板,在苯-石油醚-乙酸乙酯(v∶v∶v=2∶2∶0.5)中进行分离,甲醇重结晶,得目标化合物(Ⅱ3)60 mg,用同样方法制得目标物(Ⅱ4),(Ⅲ3),(Ⅲ4).
, 百拇医药
1.4 3,16位羟基氧化衍生物(Ⅲ5)的制备
取(Ⅲ2)250 mg溶于20 mL二氯甲烷中,加入吡啶嗡氯铬酸盐(PCC)600 mg,室温搅拌10 h后,用20 cm×20 cm的硅胶GF254薄层板,在苯-石油醚-乙酸乙酯(v∶v∶v=3∶2∶1)中进行分离,甲醇重结晶,得目标物(Ⅲ5)100 mg.
1.5 酮基肟化衍生物(Ⅰ3,Ⅲ6)的制备
取(Ⅰ2)400 mg溶于8 mL无水乙醇中,加120 mg盐酸羟胺8 mL吡啶,回流10 h后,用6 mol/L盐酸将反应液调pH 3左右,用乙酸乙酯提取,荧光检测,将乙酸乙酯液浓缩后,用20 cm×20 cm硅胶GF254薄层板,在苯-石油醚-乙酸乙酯(v∶v∶v=3∶2∶1)中进行分离,甲醇重结晶,得目标物(Ⅰ3),用同样方法制得目标物(Ⅲ6).
, 百拇医药
2 茯苓三萜及其衍生物的结构确证
晶(Ⅰ)、晶(Ⅱ)和晶(Ⅲ)经元素分析、红外光谱、紫外光谱、质谱、核磁共振氢谱及碳谱等分析以及与文献〔1~3〕对照,确定结构如图1所示.
Fig.1 Structure of fuling tritrpene (Ⅰ)(Ⅱ)(Ⅲ)
所制备的14个茯苓四环三萜衍生物均未见文献报道,其结构经元素分析、红外光谱、紫外光谱、质谱及核磁共振谱等确证无误(见图2,图3).其理化数据及光谱数据见表1,表2.
, 百拇医药
Fig.2 Derivatives of fuling triterpene (Ⅰ),(Ⅱ)
Fig.3 Derivatives of fuling triterpene (Ⅲ)
, 百拇医药
Tab.1 The properties of compounds and the data of elemental analysis
Compd.
mp/℃
[α]25D/(°)
Elemental analysis/%
Element
Calcd.
Found
Ⅰ
201~205
, http://www.100md.com
+18.60(C2H5OH,c=1.0)
C
77.18
77.32
H
9.54
9.70
Ⅰ1
141~144
+18.33(CHCl3,c=1.0)
Br
, http://www.100md.com
13.58
13.97
Ⅰ2
155~158
+28.88(CHCl3,c=1.0)
Cl
6.36
6.32
Ⅰ3
160~162
-47.41(CHCl3,c=1.0)
, 百拇医药
Cl
6.19
6.43
Ⅱ
238~240
+48.57(C2H5OH,c=1.0)
C
79.30
79.45
H
10.13
10.43
, 百拇医药
Ⅱ1
144~147
+83.20(CHCl3,c=1.0)
Br
14.26
14.04
Ⅱ2
155~158
+38.62(CHCl3,c=1.0)
Cl
6.69
, 百拇医药
6.95
Ⅱ3
107~109
+59.62(CHCl3,c=1.0)
Br
13.27
13.22
Ⅱ4
79~82
+61.86(CHCl3,c=1.0)
Cl
, http://www.100md.com
6.20
6.12
Ⅱ5
120~122
+10.00(CHCl3,c=1.0)
C
79.84
80.02
H
10.48
9.80
Ⅲ
, 百拇医药
253~256
+21.88(C2H5OH,c=1.0)
C
76.54
76.77
H
10.29
10.12
Ⅲ1
110~114
+34.95(CHCl3,c=1.0)
, 百拇医药
Br
13.48
13.59
Ⅲ2
127~130
+19.63(CHCl3,c=1.0)
Cl
6.31
6.23
Ⅲ3
92~95
+30.09(CHCl3,c=1.0)
, 百拇医药
Br
12.60
12.72
Ⅲ4
58~60
+28.57(CHCl3,c=1.0)
Cl
5.87
6.07
Ⅲ5
111~113
-24.00(CHCl3,c=1.0)
, 百拇医药
Cl
6.32
6.31
Ⅲ6
99~101
-39.60(CHCl3,c=1.0)
Cl
6.16
6.12
Tab.2 Spectra data of UV,IR,MS,1H-NMR
Compd.
, http://www.100md.com
UV(MeOH)
λmax/nm
IR(KBr)
FAB-MS
m/e
1H-NMR(C5D5N)δ
Ⅰ
237(236.86),244(257.89),252(183.92)
, http://www.100md.com
3375,1700,1680,893
482,464,449,437
5.62(1H,J=6.9 Hz,H-7),5.39(1H,d,J=5.1 Hz,H-11),4.98,4.85(2H,s,H-31),4.17(1H,m,H-16),1.43(3H,s,H-30),1.16(3H,d,J=4.2 Hz,H-26),1.14(3H,d,J=4.2 Hz,H-27),1.10(3H,s,H-28),1.06(3H,s,H-19),1.04(3H,s,H-29),1.03(3H,s,H-18)
Ⅰ1
236(261.54),246(237.92),251(163.12)
3400,1738,1720,890
, 百拇医药
591,589,537,557
5.60(1H,d,J=6 Hz,H-7),5.45(1H,d,J=7.5 Hz,H-11),4.94,4.87(2H,H-31),4.63(2H,m,H-1),3.75(2H,t,J=6 Hz,H-2′)
Ⅰ2
237(82.46),244(88.11)
3490,1720,890
561,559,541,525
5.60(1H,d,J=6 Hz,H-7),5.46(1H,d,J=6 Hz,H-11),4.93,4.87(2H,H-31),4.43(2H,t,J=6 Hz,H-1′),3.76(2H,m,H-3′)
, 百拇医药
Ⅰ3
235(242.73),243(273.85),251(183.60)
3350,1720
547,558,541
11.86(1H,s,NOH),5.61(1H,s,H-7),5.46(1H,d,J=6 Hz,H-11),4.92,4.86(2H,s,H-31),4.42(3H,m,H-16,H-1′),3.73(2H,t,J=6 Hz,H-3′),2.84(1H,t,J=11.4 Hz,H-20)
Ⅱ
237(196.63),246(224.78),254(151.29)
, 百拇医药 3400,1700,882
455,454,437,421
5.59(1H,s,H-7),5.33(1H,s,J=8.7 Hz,H-11),5.26(1H,s,H-24),3.37(1H,t,J=8.4 Hz,H-3),1.65(3H,s,H-26),1.60(3H,s,H-27),1.18(3H,s,H-28),1.15(3H,s,H-29),1.07(3H,s,H-29),1.01(3H,s,H-26),0.919(3H,s,H-30)
Ⅱ1
237(184.13),246(209.63),254(140.68)
3500,1710
562,560,545
, 百拇医药
5.62(1H,s,H-7),5.43(1H,d,J=6 Hz,H-11),5.27(1H,t,J=8.7 Hz,H-24),4.59(2H,m,H-1′),3.75(2H,m,H-2′),3.44(1H,t,J=6 Hz,H-3),2.57(1H,H-20)
Ⅱ2
237(182.18),246(212.50),254(143.26)
3500,1715
533,532,530,513,454
5.62(1H,s,H-7),5.45(1H,d,J=6 Hz,H-11),5.25(1H,t,J=6 Hz,H-24),4.43(2H,m,H-1′),3.74(2H,m,H-3′),3.47(1H,t,J=7.5 Hz,H-3),2.55(1H,H-20)
, http://www.100md.com
Ⅱ3
236(170.04),243(194.21),252(126.95)
1730,1300
603,545,479,451
5.57(2H,s,H-7),5.36(1H,d,J=6.9 Hz,H-11),5.27(1H,t,J=6 Hz,H-24),4.70(1H,m,H-3),4.59(2H,m,H-1′),3.74(2H,m,H-2′),2.05(3H,s,CH3COO)
Ⅱ4
231(173.92),243(198.76),252(131.68)
, 百拇医药
1725,1300
573,513,451
5.57(1H,s,H-7),5.39(1H,d,J=6 Hz,H-11),5.26(1H,t,J=6.9 Hz,H-24),4.70(1H,m,H-3),4.41(2H,m,H-1′),3.75(2H,m,H-3′),2.57(1H,td J=10.5 Hz,6 Hz,H-20),2.05(3H,s,CH3COO)
Ⅱ5
237(187.52),246(211.98),254(144.04)
3505,1700
497,479,464,437
, 百拇医药
5.62(1H,s,H-7),5.46(1H,d,J=6 Hz,H-11),5.27(1H,t,J=7.5 Hz,H-24),4.19(2H,m,H-1′),3.44(1H,t,J=9.3 Hz,H-3),2.55(1H,td,J=11.1 Hz,7.5 Hz,H-20)
Ⅲ
236(141.77),244(159.81),252(108.26)
3350,1680,890
486,468,453,435
4.97,4.87(2H,s,H-31),4.50(1H,s,H-16),3.45(1H,t,J=7.0 Hz,H-3),1.66(3H,m,H-30),1.48(3H,m,H-18),1.23(3H,m,H-26),1.12(3H,m,H-27),1.06(3H,m,H-19),1.05(3H,m,H-29),1.04(3H,m,H-28)
, 百拇医药
Ⅲ1
235(96.58),243(107.08),252(72.23)
3360,1720,885
593,575,560,513
4.94,4.87(2H,s,H-31),4.62(3H,m,H-16,H-1′),3.57(2H,t,J=6 Hz,H-2′),3.47(1H,td,J=16.2 Hz,7.5 Hz,H-3),2.55(1H,m,H-20)
Ⅲ2
235(84.97),243(93.80),251(64.33)
3380,1725,880
, 百拇医药
564,563,562,545,529,451
4.93,4.87(2H,s,H-31),4.64(3H,m,H-16,H-1′),3.37(2H,m,H-3′),3.45(1H,t,J=6.6 Hz,H-3)
Ⅲ3
235(63.05),243(69.79),252(47.45)
3500,1720,1250,882
635,573,509,435
4.94,4.87(2H,s,H-31),4.70(1H,m,H-3),4.61(3H,m,H-16,H-1′),3.78(2H,m,H-2′),2.85(1H,m,H-17),2.54(1H,t, J=5.4 Hz,H-20),2.06(3H,s,CH3COO)
, 百拇医药
Ⅲ4
230(92.70),243(103.06),251(70.29)
3400,1730,1245
605,587,527,449
4.92,4.87(2H,s,H-31),4.70(1H,m,H-3),4.46(3H,m,H-16,H-1′),3.74(2H,m,H-3′),2.06(3H,m,CH\-3COO)
Ⅲ5
236(115.21),243(132.94),252(91.03)
3400,1700,885
, 百拇医药
559,541,497,465
4.97,4.91(2H,s,H-31),4.43(2H,m,H-1′),3.78(2H,m,H-3′),2.89(1H,m,H-20)
Ⅲ6
235(108.69),243(115.37),252(78.33)
3400,1730
589,573
12.39(1H,d,J=16.2 Hz,NOH-16),11.86(1H,d,J=16.2 Hz 3位=NOH),4.88,4.85(2H,s,H-31),4.40(2H,m,H-1′),3.75(2H,m,H-3′)
, http://www.100md.com
3 构效关系讨论
采用MTT法测定了3个母体化合物及14个目标化合物对小鼠肝癌H-22细胞的杀伤作用,结果见表3.Tab.3 Inhibiting effect of compounds on cancer cell H-22 of rats
Drug
Concentration/mg.L-1
x±s
Inhibition/%
P
Ⅰ
160
, 百拇医药
0.920±0.078
64.0
<0.01
Ⅰ1
150
1.185±0.28
28.0
<0.01
Ⅰ3
170
1.970±0.226
21.0
, 百拇医药
<0.01
Ⅱ5
170
1.265±0.182
42.5
<0.01
Ⅲ
170
1.135±0.21
55.0
<0.01
Ⅲ1
, 百拇医药
170
1.814±0.264
23.8
<0.01
Note:inhibition ratio of the other compounds on cancer cell H-22 of rat
从表3的初步结果可见:茯苓三萜成分及其衍生物对小鼠肝癌H-22细胞的抑制作用可能与A,D环上的3,16位是否连有酮基和羟基有关,如化合物(Ⅰ)的3,16位分别连有酮基和羟基,化合物(Ⅲ)的3,16位各连有一个羟基,其抑制率分别为64.0%和55.0%,而化合物(Ⅱ)仅3位连有一个羟基,其抑制率小于15%.化合物(Ⅰ),(Ⅱ),(Ⅲ)的羧基酯化衍生物的抑制率结果则显示:化合物(Ⅱ)的丙基酯化衍生物的抑制率增加到42.5%,而化合物(Ⅰ),(Ⅲ)的卤代酯化衍生物的抑制率均明显低于其母体化合物.
, http://www.100md.com
致谢:化合物的红外光谱、紫外光谱由医药生物技术研究所赵淑敏老师测定,核磁共振谱、旋光及元素分析由药物研究所分析中心提供,质谱由军事医学科学仪器测试中心提供.
作者简介:许先栋 通讯联系人
参考文献
1 Takaaki Tai,Tetsuro Shingu,Tohru Kikuchi,et al.Triterpenes from the surface of Poria cocos.Phytochemistry,1995,39(5):1165~1169
2 Takaaki Tai,Akiya Akahori,Tetsuro Shingu.Triterpenes of Poria cocos.Phytochemisty,1993,32(5):1239~1244
3 Akiko Kanematsu,Shinsaku Natori.Triterpenoids of hoelen(fuling),sclerotia of Poria cocos(Schw.)Wolf.Ⅱ. Chem Pharm Bull,1970,18(4):779~783
收稿日期:1999-07-23, 百拇医药
参见:首页 > 中医药 > 中药专业 > 中草药汇编 > 中药大典 > 菌藻类 > 茯苓