非晶铁磁热籽内加热疗法治疗肿瘤的原理和机制
作者:雷茂生 熊国欣 李伟 钱晓燕 李萍
单位:雷茂生 熊国欣 钱晓燕 李萍 洛阳高等医学专科学校 医学工程系;李伟 解剖教研室,河南 洛阳 471003
关键词:电磁场;涡流功率;频率;肿瘤治疗
中国医学物理学杂志990417 摘要: 阐明了非晶铁磁热籽内加热疗法治疗肿瘤的原理及铁磁热籽在电磁场的作用下的产热机制。指出选择和控制电磁场的频率是非晶铁磁热籽内加热疗法达到最佳疗效的关键。
中图分类号:R730.59 文献标识码:A
文章编号:1005-202X(1999)04-0249-02
Principle and mechanism of internal thermotherapy for cancer
, 百拇医药
LEI Mao-sheng1, XIONG Guo-xin1,LI Wei2,QIAN Xiao-yan1,LI Ping1
(Department of BME,Luoyang Medical College,Luoyang 471003,China )
Abstract: Principle and Speciality of Internal thermotherapy by ferromagntic thermoseeds for cancer has been expounded, Mechanism and characteristic of thermogenesis of the ferromagntic seeds in electromgnetic fields has been elaborated. It is important that selecting and controling frequency of electromagnetic fields is key to reach the best curative effect of the therapy.
, 百拇医药
Key words: electromagnetic fields; eddy current; power; frequency; cancer therapy
近几年国外学者开展了铁磁热籽植入瘤体加热治疗肿瘤的研究,并已开始试用于临床,取得了引人注目的结果,但未见有关理论探讨报导。本文就非晶铁磁热籽内加热疗法治疗肿瘤原理和机制进行探讨。
1 内加热疗法治疗肿瘤的原理及特点
加热治疗肿瘤的方法可分为外加热疗法和内加热疗法。外加热疗法多以高频电磁辐射、超声波作用于肿瘤组织,加热杀伤肿瘤组织,从而达到治疗肿瘤的目地[1]。但在外加热疗法中存在较多难以解决的问题,比如对正常组织的损伤以及加热、控温和测温等。非晶铁磁热籽内加热疗法是采用高频电磁场定向加热植入瘤体内的铁磁热籽,利用肿瘤内部的铁磁热籽产生的热量从内部加热肿瘤组织,从而达到治疗肿瘤的目。由于铁磁热籽具有对加热温度的自动调节功能,所以无需复杂的控温和测温设备。
, http://www.100md.com
加热治疗肿瘤的主要原理,是利用肿瘤组织的毛细血管畸形、热曲、散热能力低,含氧不足的肿瘤细胞比正常细胞容易受到热损伤这一差别,加热至42 ℃就可显著破坏或减弱肿瘤细胞的代谢和分裂需要的酶系统及其DNA和RNA的合成,但不损害周围的正常细胞[2]。可见控制温度是疗效好坏的关键。
目前国内外铁磁热籽加热治疗肿瘤所使用的铁磁热籽多为铁铂合金和镍铜合金,其居里点温度在40~65℃范围。铁磁热籽受到一定的电磁场的持续作用,可因为涡流损耗而不断产热,由于采用的材料的居里点温度较低,当热籽温度升高到居里点温度时,其铁磁性便消失而停止产热,需降至居里点温度以下方能恢复,因此铁磁热籽具有对加热温度的自动调节功能。
2 非晶铁磁热籽内加热疗法的产热机制及特点
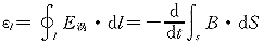
非晶铁磁热籽内加热疗法中产生的热量是由铁磁热籽内的涡流引起的。在外加电磁场的作用下,铁磁热籽内部也会产生感应电动势。这种电动势就会在铁磁热籽内部产生交变的涡旋电流,即所谓涡流。令E涡表示涡旋电场的场强,εl 感应电动势,按电磁感应定律为:
, 百拇医药
(1)
铁磁热籽直径较小其内部磁场可以看成是均匀的,所以E涡与
成正比。
(2)
设外加电磁场的磁感应强度Bo=Bomcosωt,当Bo较小时,电磁场的Bo与铁磁热籽内的磁感应强度B成线性关系则铁磁热籽内的B=Bmcos(ωt-ψ),ω=2πf,f是电磁场的频率。所以
E涡∝ωBmsin(ωt-ψ)
(3)
, 百拇医药
又因涡电流密度与涡旋电场成正比,即涡电流密度与ωBm成正比。因而,涡流功率将随ωBm的平方而变化。涡流功率用P涡表示则:
P涡=k(ωBm)2
(4)
P涡=k(ωμrmBom)2
(5)
其中k为比例常数,它与铁磁热籽的形状大小和电阻率有关,半径为Ro的铁磁热籽单位面积单位长度的电阻率为ρ,它的
,则其涡流功率为:
, http://www.100md.com
(6)
μrm是外加电磁场磁感应强度为Bom时的相对磁导率,当温度较小时μrm很大(例如μrm=1000 ) 涡流功率很大,当温度增至居里温度点时铁磁性消失,转变为顺磁质。此时μrm≈1,Bm≈Bom,P涡≈k(ωBom)2,可认为停止产热。
当外加磁场Bo较大时,由于B和Bo是非线性的关系,涡流功率不能再用以上(4)、(5)、(6)三式近似表示。特别是当磁饱和时P涡不再随外加电磁场的电磁场磁感应强度Bo的增加而增加,但B是周期函数其周期与Bo相同,利用傅立叶级数可以证明当Bo幅值不变时,涡流功率与电磁场频率的平方成正比,因此一般而言P涡是ω2、Bom和温度T的函数,并且与铁磁热籽的形状、大小以及电阻率有关,当磁饱和时,P涡不再随外加电磁场的电磁场磁感应强度Bo的增加而增加,P涡只是ω2和温度T的函数。
, 百拇医药
3 小结
本文对非晶铁磁热籽内热疗法的产热机制及特点的理论探讨。明确了在外加电磁场磁感应强度不变的情况下,涡流功率与电磁场频率的平方成正比关系,对于非晶在铁磁热籽内加热疗法磁场强和频率的选择具有指导意义。
为了达到最佳疗效,在非晶铁磁热籽内加热疗法中,应使肿瘤组织边缘温度在热传导平衡时稳定在42℃。这样即可有效杀伤、杀死内部的肿瘤组织又不会杀伤外围的正常组织。知道肿瘤组织边缘的温度、肿瘤的形状和大小、热导率以及周围的正常组织的热导率。根据热平衡时的热传导方程就可以确定肿瘤组织中心的温度和涡流功率。在外加磁场强度一定的情况下,可以选择适当的频率得到该温度下所需的涡流功率,从而达到最佳疗效,可见非晶铁磁籽内加热疗法治疗肿瘤达到最佳疗效的关键,是选择和控制所施加的电磁场的频率。
参考文献:
1 唐军凯,谢昆岭,姜平.我国应用物理因子治疗肿瘤的回顾[J].中华理疗杂志,1997,20(2):112.
2 陈五高.激光治癌[M].华中师范大学出版社,1993:147.
收稿日期1999-01-22, 百拇医药
单位:雷茂生 熊国欣 钱晓燕 李萍 洛阳高等医学专科学校 医学工程系;李伟 解剖教研室,河南 洛阳 471003
关键词:电磁场;涡流功率;频率;肿瘤治疗
中国医学物理学杂志990417 摘要: 阐明了非晶铁磁热籽内加热疗法治疗肿瘤的原理及铁磁热籽在电磁场的作用下的产热机制。指出选择和控制电磁场的频率是非晶铁磁热籽内加热疗法达到最佳疗效的关键。
中图分类号:R730.59 文献标识码:A
文章编号:1005-202X(1999)04-0249-02
Principle and mechanism of internal thermotherapy for cancer
, 百拇医药
LEI Mao-sheng1, XIONG Guo-xin1,LI Wei2,QIAN Xiao-yan1,LI Ping1
(Department of BME,Luoyang Medical College,Luoyang 471003,China )
Abstract: Principle and Speciality of Internal thermotherapy by ferromagntic thermoseeds for cancer has been expounded, Mechanism and characteristic of thermogenesis of the ferromagntic seeds in electromgnetic fields has been elaborated. It is important that selecting and controling frequency of electromagnetic fields is key to reach the best curative effect of the therapy.
, 百拇医药
Key words: electromagnetic fields; eddy current; power; frequency; cancer therapy
近几年国外学者开展了铁磁热籽植入瘤体加热治疗肿瘤的研究,并已开始试用于临床,取得了引人注目的结果,但未见有关理论探讨报导。本文就非晶铁磁热籽内加热疗法治疗肿瘤原理和机制进行探讨。
1 内加热疗法治疗肿瘤的原理及特点
加热治疗肿瘤的方法可分为外加热疗法和内加热疗法。外加热疗法多以高频电磁辐射、超声波作用于肿瘤组织,加热杀伤肿瘤组织,从而达到治疗肿瘤的目地[1]。但在外加热疗法中存在较多难以解决的问题,比如对正常组织的损伤以及加热、控温和测温等。非晶铁磁热籽内加热疗法是采用高频电磁场定向加热植入瘤体内的铁磁热籽,利用肿瘤内部的铁磁热籽产生的热量从内部加热肿瘤组织,从而达到治疗肿瘤的目。由于铁磁热籽具有对加热温度的自动调节功能,所以无需复杂的控温和测温设备。
, http://www.100md.com
加热治疗肿瘤的主要原理,是利用肿瘤组织的毛细血管畸形、热曲、散热能力低,含氧不足的肿瘤细胞比正常细胞容易受到热损伤这一差别,加热至42 ℃就可显著破坏或减弱肿瘤细胞的代谢和分裂需要的酶系统及其DNA和RNA的合成,但不损害周围的正常细胞[2]。可见控制温度是疗效好坏的关键。
目前国内外铁磁热籽加热治疗肿瘤所使用的铁磁热籽多为铁铂合金和镍铜合金,其居里点温度在40~65℃范围。铁磁热籽受到一定的电磁场的持续作用,可因为涡流损耗而不断产热,由于采用的材料的居里点温度较低,当热籽温度升高到居里点温度时,其铁磁性便消失而停止产热,需降至居里点温度以下方能恢复,因此铁磁热籽具有对加热温度的自动调节功能。
2 非晶铁磁热籽内加热疗法的产热机制及特点
非晶铁磁热籽内加热疗法中产生的热量是由铁磁热籽内的涡流引起的。在外加电磁场的作用下,铁磁热籽内部也会产生感应电动势。这种电动势就会在铁磁热籽内部产生交变的涡旋电流,即所谓涡流。令E涡表示涡旋电场的场强,εl 感应电动势,按电磁感应定律为:
, 百拇医药
(1)
铁磁热籽直径较小其内部磁场可以看成是均匀的,所以E涡与
(2)
设外加电磁场的磁感应强度Bo=Bomcosωt,当Bo较小时,电磁场的Bo与铁磁热籽内的磁感应强度B成线性关系则铁磁热籽内的B=Bmcos(ωt-ψ),ω=2πf,f是电磁场的频率。所以
E涡∝ωBmsin(ωt-ψ)
(3)
, 百拇医药
又因涡电流密度与涡旋电场成正比,即涡电流密度与ωBm成正比。因而,涡流功率将随ωBm的平方而变化。涡流功率用P涡表示则:
P涡=k(ωBm)2
(4)
P涡=k(ωμrmBom)2
(5)
其中k为比例常数,它与铁磁热籽的形状大小和电阻率有关,半径为Ro的铁磁热籽单位面积单位长度的电阻率为ρ,它的
, http://www.100md.com
(6)
μrm是外加电磁场磁感应强度为Bom时的相对磁导率,当温度较小时μrm很大(例如μrm=1000 ) 涡流功率很大,当温度增至居里温度点时铁磁性消失,转变为顺磁质。此时μrm≈1,Bm≈Bom,P涡≈k(ωBom)2,可认为停止产热。
当外加磁场Bo较大时,由于B和Bo是非线性的关系,涡流功率不能再用以上(4)、(5)、(6)三式近似表示。特别是当磁饱和时P涡不再随外加电磁场的电磁场磁感应强度Bo的增加而增加,但B是周期函数其周期与Bo相同,利用傅立叶级数可以证明当Bo幅值不变时,涡流功率与电磁场频率的平方成正比,因此一般而言P涡是ω2、Bom和温度T的函数,并且与铁磁热籽的形状、大小以及电阻率有关,当磁饱和时,P涡不再随外加电磁场的电磁场磁感应强度Bo的增加而增加,P涡只是ω2和温度T的函数。
, 百拇医药
3 小结
本文对非晶铁磁热籽内热疗法的产热机制及特点的理论探讨。明确了在外加电磁场磁感应强度不变的情况下,涡流功率与电磁场频率的平方成正比关系,对于非晶在铁磁热籽内加热疗法磁场强和频率的选择具有指导意义。
为了达到最佳疗效,在非晶铁磁热籽内加热疗法中,应使肿瘤组织边缘温度在热传导平衡时稳定在42℃。这样即可有效杀伤、杀死内部的肿瘤组织又不会杀伤外围的正常组织。知道肿瘤组织边缘的温度、肿瘤的形状和大小、热导率以及周围的正常组织的热导率。根据热平衡时的热传导方程就可以确定肿瘤组织中心的温度和涡流功率。在外加磁场强度一定的情况下,可以选择适当的频率得到该温度下所需的涡流功率,从而达到最佳疗效,可见非晶铁磁籽内加热疗法治疗肿瘤达到最佳疗效的关键,是选择和控制所施加的电磁场的频率。
参考文献:
1 唐军凯,谢昆岭,姜平.我国应用物理因子治疗肿瘤的回顾[J].中华理疗杂志,1997,20(2):112.
2 陈五高.激光治癌[M].华中师范大学出版社,1993:147.
收稿日期1999-01-22, 百拇医药