He-Ne激光照射后细菌生长规律的理论与实验分析
作者:赵箭光 苏炽辉
单位:广州医学院 医学物理教研室,广东 广州 510182
关键词:He-Ne激光;细菌;生长规律;理论分析
中国医学物理学杂志990407 摘要:目的:探寻He-Ne激光照射后细菌的生长规律。方法:通过对实验结果进行分析,建立He-Ne激光照射后细菌生长所符合的微分方程,并解方程。结果:建立了He-Ne激光照射后细菌生长规律的理论并由此得出生长规律的理论公式。用此公式拟合有关实验数据,结果符合得很好。结论:此理论有助于揭示He-Ne激光作用于机体的完整机制;还有利于食品发酵工业的生产,提高生产效率。
中图分类号:Q631 文献标识码:A
文章编号:1005s-202X(1999)04-0222-03
, 百拇医药
Theoretical analysis on growth of bacteria after He-Ne laser radiation
ZHAO Jian-guang, SU Chi-hui
(Medical Physics Dept. of Guangzhou Medical College, Guangzhou 510182, China)
Abstract: Purpose: To search for a theory about growth rule of bacteria after He-Ne laser radiation. Method: Based on test data analysis, differential equations describing growth rule of bacteria after He-Ne laser radiation have been found. Result: A theory about growth of bacteria after He-Ne laser radiation has been established and the theoretical formulae derived. Calculation results from the formulae fit the test data satisfactorily. Conclusion: This theory is helpful to further unveil mechanism of action of laser on organism. It is also useful to He-Ne laser therapy. Both theoretical and test results showed that He-Ne laser radiation might speed zymosis process. Therefore, the research results are valuable in production in food fermentation industry too.
, 百拇医药
Key words: He-Ne laser; Bacteria; Growth rule; Theoretical analysis
Logistic理论[1]是一经典理论,它已被广泛引用于描述细菌在有限培养基中的繁殖。该理论的基本微分方程是
(1)
初始条件:N(0)=N0
其中,k为生长速率常数,β为生长抑制系数,k/β= Ne;
方程的解,即Logistic规律为
, 百拇医药
(2)
但是,我们最近在实验中发现,用低功率He-Ne激光照射后,细菌的生长情况与对照组相比发生了改变[2],上述理论不能描述我们的实验结果。在对实验结果进行分析的基础上,我们建立了He-Ne激光照射后细菌生长规律的理论并得到新的细菌生长规律的理论公式。
1 实验简介
实验菌种为大肠杆菌、白色葡萄球菌。将细菌接种到肉汤培养基中,在温度为37℃的恒温箱中培养18~24小时。再用肉汤培养基按1:30的比例稀释,等量地分装于各试管中。随机地将这些试管分为对照组和实验组,实验组除加He-Ne激光照射外,其余生长条件均保持与对照组一致。所加He-Ne激光的功率密度为7.1 mW.cm-2,照射时间30分钟。实验组在照射后与对照组一起置入37℃的恒温箱中分别培养4,8,12,16小时,然后用722-光栅分光光度计测量每管菌液的光密度值。测量结果如表1所示。
, 百拇医药
表1 实验组与对照组的光密度值(
±s) 菌 种
培养时间
(小时)
对照组
实验组
大肠杆菌
4
0.170±0.005
0.180±0.013
8
0.224±0.012
, 百拇医药
0.253±0.011
12
0.337±0.025
0.344±0.033
16
0.428±0.017
0.430±0.030
白色葡萄球菌
4
0.146±0.028
0.159±0.025
8
, 百拇医药
0.206±0.022
0.248±0.044
12
0.291±0.053
0.335±0.0145
16
0.401±0.072
0.424±0.056
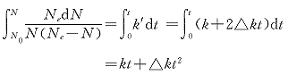
2 理论分析
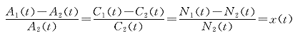
设函数x(t)为t时刻实验组、对照组的菌数差与对照组菌数的比。即
, 百拇医药
N1--实验组菌数,N2--对照组菌数。
由图1可见,对照组细菌的繁殖符合(2)式--Logistic规律,式中k为常数,在0
(3)
图1 对照组和实验组细菌生长曲线
, 百拇医药
根据以上的讨论,生长速率应与时间有关,用k′来表示,于是(3)式应修改为
(4)
因k′=k′(t)是时间t的函数,不失普遍性,将函数k′(t)作泰勒展开,得
k′(t)=k+2△kt+bt2+……
其中,2△k、b均为常数,k与对照组的k相同,取一级近似,得
k′(t) =k+2△kt
实验组的生长速率k′与时间t有关,相应地实验组的生长抑制因子β′也与时间t有关。又因实验组与对照组N0相同、营养物质等量且有限,所以
, 百拇医药
k′/β′=k/β=Ne
方程(4)就是描述He-Ne激光照射后细菌生长规律的微分方程。当△k=0时,它就回到Logistic的理论。
将方程(4)移项得
两边求定积分,得
左端积分得
∴方程的解为
, http://www.100md.com
即:
(5)
(5)式就是He-Ne激光照射后细菌生长规律的理论公式。
3 实验和理论比较
光密度值用符号A表示,A=logI0/I=acl[3]。式中,a为吸收系数,由所研究物质的性质决定;l为液槽的厚度;c代表浓度。因实验组和对照组属同一种菌液,它们的吸收系数a相等。两组的光密度值成对测量,两液槽的厚度l相等。所以实验组与对照组光密度值的差只是由它们的浓度差即单位体积的菌数差产生。
故
, 百拇医药
(6)
将测量数据代入(6)式,计算出白色葡萄球菌、大肠杆菌x(t)的实验值,归一化后画出它们的图形(图2、图3中实线所示)。
利用实验数据估计参数k、△k,并令
代入(2)、(5)式,分别求出白色葡萄球菌、大肠杆菌对照组的N2(t)和实验组的N1(t)再代入(6)式中,计算出它们x(t)的理论值,归一化后,画出函数曲线(虚线)于图2、图3中。
图2 函数x(t)的理论值与实验值的拟合(白色葡萄球菌)
, http://www.100md.com
图3 函数x(t)的理论值与实验值的拟合(大肠杆菌)
(1)白色葡萄球菌:k=0.36,△k=0.0044,B=22.90。
(2)大肠杆菌:k=0.50,△k=0.0046,B=23.05。
4 讨论
图2中,曲线L代表用Logistic理论所画的白色葡萄球菌x(t)的函数曲线,与实验曲线比较相差很大;而用我们的理论所画的x(t)的函数曲线与实验曲线符合得很好。
图3中大肠杆菌x(t)的理论值与实验值也符合得较好,如果k′(t)取二级近似,理论曲线与实验曲线将拟合得更好。
由于低功率He-Ne激光的作用,使得细菌生长速率不为常数。比较(2)与(5)式,公式的形式基本相同。但分母中指数部分由k变为(k+△kt),说明低功率He-Ne激光对细菌生长的作用具有刺激效应[4];在我们的实验条件下,k与△k相差102数量级。我们猜测,若改变实验条件,如:增大He-Ne激光照射的功率密度至某一定值,△k很可能变为负值,激光对细菌的生长将产生抑制作用[5]。又如,改变激光的波长,用波长位于265.0 nm附近的激光进行照射,△k也可能为负值,因265.0 nm附近的光具有杀菌作用。这些有待进一步的实验进行验证。 从图2、图3中二条实验曲线的形状可见,由于低功率He-Ne激光照射产生的刺激效应,使得实验组中细菌的生长速率提高,较对照组更快地进入对数生长期,在0~8小时期间,x(t)迅速增大,并在8小时左右达到最大;随着对照组逐渐进入生长平衡期,x(t)在8小时后迅速减小并渐趋于零。将上述理论应用于食品发酵过程,我们可以预料,如果在发酵过程中用低功率密度的He-Ne激光进行大面积照射,很有可能提高生产效率。
, 百拇医药
众所周知,He-Ne激光已广泛地应用于临床治疗中,如消炎、镇痛等。从我们研究的结果看,低功率He-Ne激光并不能直接杀灭细菌,但实际上,低功率He-Ne激光照射后某些病症可以获得治愈。这是一个既有趣又在临床上具有重要意义的问题。有文献报道[6]:一定剂量的低功率He-Ne激光照射机体的一定部位,可提高机体的非特异性及特异性免疫功能。低功率He-Ne激光具有治疗效果,说明低功率He-Ne激光作用后,机体免疫功能提高的水平大于对细菌的刺激作用,这个猜想是否正确还有待于进一步验证。不过,我们的这个研究确实为He-Ne激光治疗机制研究提出了一个新的课题。
致谢:中山大学激光与光谱学研究所佘卫龙教授对本文修改提出宝贵意见,特此致谢!
参考文献:
1 方积乾.微积分初步与生物医学应用[M].北京:北京医科大学、中国协和医科大学联合出版社,1990.256.
, 百拇医药
2 赵箭光,崔淑仪.低功率He-Ne激光对细菌生长作用的研究[J].广州医学院学报,1998,26(4):32.
3 [美]I.H.西格尔.生物化学计算[M].北京:科学出版社,1983.241.
4 Tiphlova, O. and T. Karu. Stimulation of Escherichia coli division by low intensity monochromatic visible light[J]. Photochem. Photobiol, 1988,48:467-471.
5 史宏敏,谭延康,王之光,等.激光医学基础[M].广州:华南理工大学出版社,1990.122.
6 赵玉军.He-Ne激光对机体免疫功能影响研究进展[J].激光生物学,1995,4(2):661
收稿日期:1999-04-30., 百拇医药
单位:广州医学院 医学物理教研室,广东 广州 510182
关键词:He-Ne激光;细菌;生长规律;理论分析
中国医学物理学杂志990407 摘要:目的:探寻He-Ne激光照射后细菌的生长规律。方法:通过对实验结果进行分析,建立He-Ne激光照射后细菌生长所符合的微分方程,并解方程。结果:建立了He-Ne激光照射后细菌生长规律的理论并由此得出生长规律的理论公式。用此公式拟合有关实验数据,结果符合得很好。结论:此理论有助于揭示He-Ne激光作用于机体的完整机制;还有利于食品发酵工业的生产,提高生产效率。
中图分类号:Q631 文献标识码:A
文章编号:1005s-202X(1999)04-0222-03
, 百拇医药
Theoretical analysis on growth of bacteria after He-Ne laser radiation
ZHAO Jian-guang, SU Chi-hui
(Medical Physics Dept. of Guangzhou Medical College, Guangzhou 510182, China)
Abstract: Purpose: To search for a theory about growth rule of bacteria after He-Ne laser radiation. Method: Based on test data analysis, differential equations describing growth rule of bacteria after He-Ne laser radiation have been found. Result: A theory about growth of bacteria after He-Ne laser radiation has been established and the theoretical formulae derived. Calculation results from the formulae fit the test data satisfactorily. Conclusion: This theory is helpful to further unveil mechanism of action of laser on organism. It is also useful to He-Ne laser therapy. Both theoretical and test results showed that He-Ne laser radiation might speed zymosis process. Therefore, the research results are valuable in production in food fermentation industry too.
, 百拇医药
Key words: He-Ne laser; Bacteria; Growth rule; Theoretical analysis
Logistic理论[1]是一经典理论,它已被广泛引用于描述细菌在有限培养基中的繁殖。该理论的基本微分方程是
(1)
初始条件:N(0)=N0
其中,k为生长速率常数,β为生长抑制系数,k/β= Ne;
方程的解,即Logistic规律为
, 百拇医药
(2)
但是,我们最近在实验中发现,用低功率He-Ne激光照射后,细菌的生长情况与对照组相比发生了改变[2],上述理论不能描述我们的实验结果。在对实验结果进行分析的基础上,我们建立了He-Ne激光照射后细菌生长规律的理论并得到新的细菌生长规律的理论公式。
1 实验简介
实验菌种为大肠杆菌、白色葡萄球菌。将细菌接种到肉汤培养基中,在温度为37℃的恒温箱中培养18~24小时。再用肉汤培养基按1:30的比例稀释,等量地分装于各试管中。随机地将这些试管分为对照组和实验组,实验组除加He-Ne激光照射外,其余生长条件均保持与对照组一致。所加He-Ne激光的功率密度为7.1 mW.cm-2,照射时间30分钟。实验组在照射后与对照组一起置入37℃的恒温箱中分别培养4,8,12,16小时,然后用722-光栅分光光度计测量每管菌液的光密度值。测量结果如表1所示。
, 百拇医药
表1 实验组与对照组的光密度值(
培养时间
(小时)
对照组
实验组
大肠杆菌
4
0.170±0.005
0.180±0.013
8
0.224±0.012
, 百拇医药
0.253±0.011
12
0.337±0.025
0.344±0.033
16
0.428±0.017
0.430±0.030
白色葡萄球菌
4
0.146±0.028
0.159±0.025
8
, 百拇医药
0.206±0.022
0.248±0.044
12
0.291±0.053
0.335±0.0145
16
0.401±0.072
0.424±0.056
2 理论分析
设函数x(t)为t时刻实验组、对照组的菌数差与对照组菌数的比。即
, 百拇医药
N1--实验组菌数,N2--对照组菌数。
由图1可见,对照组细菌的繁殖符合(2)式--Logistic规律,式中k为常数,在0
(3)
图1 对照组和实验组细菌生长曲线
, 百拇医药
根据以上的讨论,生长速率应与时间有关,用k′来表示,于是(3)式应修改为
(4)
因k′=k′(t)是时间t的函数,不失普遍性,将函数k′(t)作泰勒展开,得
k′(t)=k+2△kt+bt2+……
其中,2△k、b均为常数,k与对照组的k相同,取一级近似,得
k′(t) =k+2△kt
实验组的生长速率k′与时间t有关,相应地实验组的生长抑制因子β′也与时间t有关。又因实验组与对照组N0相同、营养物质等量且有限,所以
, 百拇医药
k′/β′=k/β=Ne
方程(4)就是描述He-Ne激光照射后细菌生长规律的微分方程。当△k=0时,它就回到Logistic的理论。
将方程(4)移项得
两边求定积分,得
左端积分得
∴方程的解为
, http://www.100md.com
即:
(5)
(5)式就是He-Ne激光照射后细菌生长规律的理论公式。
3 实验和理论比较
光密度值用符号A表示,A=logI0/I=acl[3]。式中,a为吸收系数,由所研究物质的性质决定;l为液槽的厚度;c代表浓度。因实验组和对照组属同一种菌液,它们的吸收系数a相等。两组的光密度值成对测量,两液槽的厚度l相等。所以实验组与对照组光密度值的差只是由它们的浓度差即单位体积的菌数差产生。
故
, 百拇医药
(6)
将测量数据代入(6)式,计算出白色葡萄球菌、大肠杆菌x(t)的实验值,归一化后画出它们的图形(图2、图3中实线所示)。
利用实验数据估计参数k、△k,并令
代入(2)、(5)式,分别求出白色葡萄球菌、大肠杆菌对照组的N2(t)和实验组的N1(t)再代入(6)式中,计算出它们x(t)的理论值,归一化后,画出函数曲线(虚线)于图2、图3中。
图2 函数x(t)的理论值与实验值的拟合(白色葡萄球菌)
, http://www.100md.com
图3 函数x(t)的理论值与实验值的拟合(大肠杆菌)
(1)白色葡萄球菌:k=0.36,△k=0.0044,B=22.90。
(2)大肠杆菌:k=0.50,△k=0.0046,B=23.05。
4 讨论
图2中,曲线L代表用Logistic理论所画的白色葡萄球菌x(t)的函数曲线,与实验曲线比较相差很大;而用我们的理论所画的x(t)的函数曲线与实验曲线符合得很好。
图3中大肠杆菌x(t)的理论值与实验值也符合得较好,如果k′(t)取二级近似,理论曲线与实验曲线将拟合得更好。
由于低功率He-Ne激光的作用,使得细菌生长速率不为常数。比较(2)与(5)式,公式的形式基本相同。但分母中指数部分由k变为(k+△kt),说明低功率He-Ne激光对细菌生长的作用具有刺激效应[4];在我们的实验条件下,k与△k相差102数量级。我们猜测,若改变实验条件,如:增大He-Ne激光照射的功率密度至某一定值,△k很可能变为负值,激光对细菌的生长将产生抑制作用[5]。又如,改变激光的波长,用波长位于265.0 nm附近的激光进行照射,△k也可能为负值,因265.0 nm附近的光具有杀菌作用。这些有待进一步的实验进行验证。 从图2、图3中二条实验曲线的形状可见,由于低功率He-Ne激光照射产生的刺激效应,使得实验组中细菌的生长速率提高,较对照组更快地进入对数生长期,在0~8小时期间,x(t)迅速增大,并在8小时左右达到最大;随着对照组逐渐进入生长平衡期,x(t)在8小时后迅速减小并渐趋于零。将上述理论应用于食品发酵过程,我们可以预料,如果在发酵过程中用低功率密度的He-Ne激光进行大面积照射,很有可能提高生产效率。
, 百拇医药
众所周知,He-Ne激光已广泛地应用于临床治疗中,如消炎、镇痛等。从我们研究的结果看,低功率He-Ne激光并不能直接杀灭细菌,但实际上,低功率He-Ne激光照射后某些病症可以获得治愈。这是一个既有趣又在临床上具有重要意义的问题。有文献报道[6]:一定剂量的低功率He-Ne激光照射机体的一定部位,可提高机体的非特异性及特异性免疫功能。低功率He-Ne激光具有治疗效果,说明低功率He-Ne激光作用后,机体免疫功能提高的水平大于对细菌的刺激作用,这个猜想是否正确还有待于进一步验证。不过,我们的这个研究确实为He-Ne激光治疗机制研究提出了一个新的课题。
致谢:中山大学激光与光谱学研究所佘卫龙教授对本文修改提出宝贵意见,特此致谢!
参考文献:
1 方积乾.微积分初步与生物医学应用[M].北京:北京医科大学、中国协和医科大学联合出版社,1990.256.
, 百拇医药
2 赵箭光,崔淑仪.低功率He-Ne激光对细菌生长作用的研究[J].广州医学院学报,1998,26(4):32.
3 [美]I.H.西格尔.生物化学计算[M].北京:科学出版社,1983.241.
4 Tiphlova, O. and T. Karu. Stimulation of Escherichia coli division by low intensity monochromatic visible light[J]. Photochem. Photobiol, 1988,48:467-471.
5 史宏敏,谭延康,王之光,等.激光医学基础[M].广州:华南理工大学出版社,1990.122.
6 赵玉军.He-Ne激光对机体免疫功能影响研究进展[J].激光生物学,1995,4(2):661
收稿日期:1999-04-30., 百拇医药