骨健颗粒剂提取工艺研究*
作者:孙秀华 杨正裕 康玉玲
单位:北京中医药大学 北京100029
关键词:骨健颗粒剂;提取工艺;淫羊藿甙;正交设计
北京中医药大学学报990419 摘要:采用正交设计L9(34),对骨健颗粒剂进行了提取工艺研究,筛选出最佳提取条件,并采用薄层层析—紫外分光光度法测定了该制剂中主药淫羊藿中淫羊藿甙的吸收度,计算出淫羊藿甙的转移率为71.2%,验证了优选出的最佳提取工艺的合理性。
A Research on the Extraction Technology of GuJian Granules
Sun Xiuhua Yang Zhengyu Kang Yuling
, 百拇医药
(Beijing University of Traditional Chinese Medicine, Beijing 100029)
ABSTRACT: Use orthogonal design Lg (34) to screen out the best extraction condition. Assay the absorbance of icariin which is an ingredient of lonspur epimedium, the principal drug in the granule. The transference rate of icariin was 71.2%. It proved the rationality of the optimum seeked extraction technology.
KEY WORDS: GuJian granules; Extraction technology; Icariin; Orthogonal design
, 百拇医药
骨健颗粒剂为治疗骨质疏松症的中药制剂,淫羊藿为方中主药,具有补肾阳、强筋骨、祛风湿的功效。根据处方中各药材有效成分或有效部位的性质,确定了淫羊藿等药材以水提醇沉法提取。本文对提取条件进行了考察,优选出最佳提取工艺条件,并对优选出的提取工艺进行了验证。
1 仪器与试药
752紫外光栅分光光度计(上海仪器设备厂),淫羊藿、党参、骨碎补等药材饮片(同仁堂北辰药材批发部);淫羊藿甙(中国药品生物制品检定所);骨健颗粒剂(北京中医药大学中药学院制剂教研室提供)。所用试剂均为分析纯。
2 工艺研究与结果
2.1 淫羊藿等药材提取条件考察及结果
按处方比例,称取淫羊藿等药材,按正交设计表L9(34)进行试验,因处方中主要药物均含甙类成分故以总甙得量为考察指标。将各份实验样品根据不同的加水量,煎煮不同次数及时间,各自合并煎煮液并浓缩至1∶1(g/mL),加95%乙醇达到需要的浓度,放置24h,滤过,滤液回收乙醇并浓缩至一定量,用正丁醇萃取3次,合并萃取液,回收正丁醇并水浴浓缩至干,再放入干燥箱内继续干燥,称重,计算总甙重量。试验方法及结果见表1、表2。
, 百拇医药
表1 因素水平表 水平
加水倍数
(A)
煎煮时间/h
(B)
煎煮次数
(C)
醇沉浓度/%
(D)
1
16
2.5
1
, 百拇医药
50
2
18
2
2
60
3
20
1.5
3
70
2.2 数据的统计分析
将总甙得量数据填入正交表及方差分析表中进行方差分析计算,结果见表2、表3。表2 正交试验设计表及实验结果 实验号
, 百拇医药
A
B
C
D
总甙得量/g
1
1
1
1
1
0.54
2
1
2
, 百拇医药
2
2
0.70
3
1
3
3
3
1.83
4
2
1
2
3
, http://www.100md.com
0.90
5
2
2
3
1
0.56
6
2
3
1
2
1.88
7
, 百拇医药
3
1
3
2
0.98
8
3
2
1
3
0.90
9
3
3
, http://www.100md.com
2
1
1.19
Ⅰj
3.07
2.42
3.32
2.29
G=9.48
Ⅱj
3.34
2.16
2.79
, http://www.100md.com
3.56
G2=89.8704
Ⅲj
3.07
4.90
3.37
3.63
CT=9.9856
Ⅰ2j
9.4249
5.8564
11.0224
, http://www.100md.com
5.2441
Ⅱ2j
11.1556
4.6656
7.7841
12.6736
Ⅲ2j
9.4249
24.0100
11.3569
13.1769
, 百拇医药
表3 方差分析表 方差来源
方差
自由度
F值
P值
A
0.0162
2
B
1.5251
2
94.14
<0.05
, 百拇医药
C
0.0689
2
4.25
D
0.3793
2
23.41
<0.05
统计结果表明:①煎煮时间与醇沉浓度对实验结果有显著影响(P<0.05),加水倍数与煎者次数影响很小,各因素影响顺序是B>D>C>A;②各因素中各水平的影响顺序是A2>A1>A3,B3>B1>B2,C3>C1>C2,D3>D2>D1。因此根据实验结果最佳提取条件是A2B3C3D3。即加水倍数为药材量的18倍,煎者时间为1.5h,煎煮次数为3次,醇沉浓度为70%。因煎煮次数影响很小,从生产考虑,煎煮次数改为2次为宜。
, 百拇医药
3 最佳提取工艺验证
本方中君药淫羊藿的主要有效成分为淫羊藿甙,故以淫羊藿甙为颗粒剂测定指标进行最佳提取工艺验证。具体操作是按最佳提取工艺将淫羊藿等药材提取后制成颗粒剂。按文献方法[1]对颗粒剂和淫羊藿药材分别测定淫羊藿甙的吸收度,计算出有效成分的转移率。
3.1 供试品溶液的制备
取淫羊藿叶片粗粉,于80℃干燥4h,取约0.5g,精密称定,共称3份样品,置圆底烧瓶中,精密加入70%乙醇20mL,称定重量。加热回流1h,放冷,称定重量,加70%乙醇补足减失重量,摇匀,滤过,弃去初滤液,收集续滤液,即得淫羊藿药材供试品溶液。另精密称取颗粒剂1.188g(相当于0.5g淫羊藿药材),共称3份。按上法制成骨健颗粒剂供试品溶液。
3.2 对照品溶液的制备
, 百拇医药
精密称取在105℃干燥至恒重的淫羊藿甙对照品10mg,置20mL容量瓶中,加甲醇适量使溶解并稀释至刻度,摇匀,作为对照品溶液(每1mL中含淫羊藿甙500μg)。量取对照品溶液5mL置100mL容量瓶中,加甲醇稀释至刻度,摇匀,作为对照品稀释液(每1mL中含淫羊藿甙25μg)。
3.3 测定方法与结果
精密量取上述2种供试品溶液各100μL,点于硅胶G薄层板上,使成条状,在供试品条斑侧1.5cm处点对照品稀释液10μL作为对照,用醋酸乙酯—丁酮—甲酸—水(5∶3∶1∶1)为展开剂,展开,取出,挥尽溶剂,置紫外灯(365nm)下检视。刮取与淫羊藿甙相应位置上的暗红色荧光条斑,置10mL试管中。同时刮取同一块层析板上与供试品条斑等面积的硅胶G,作为空白,置另一个10mL试管中,各管分别加入甲醇10mL,充分振摇,放置2h,滤过,弃去初滤液,收集续滤液,在270nm波长处测定吸收度,结果见表4。
, 百拇医药
表4 药材和颗粒剂的薄层洗脱测定结果 项目
药材
颗粒剂
1
2
3
1
2
3
样品/g
0.5004
0.5030
0.5033
, 百拇医药
1.1880
1.1884
1.1884
吸收度
0.1752
0.1959
0.1643
0.1158
0.1325
0.1337
平均吸收度
0.1785
, 百拇医药 0.1273
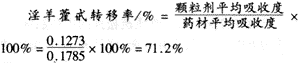
由表4得知3份淫羊藿药材吸收度A平均为0.1785,3份颗粒剂吸收度A平均为0.1273,因吸收度与含量成正比,故以吸收度之比计算淫羊藿甙转移率:
结果颗粒剂中淫羊藿甙转移率为71.2%,说明优选出的提取方法提取比较完全,提取工艺可行。
4 讨论
在因素水平表1中未设空白项,故表2中各号样品均制备3份,测得的总甙得量为3份样品的平均值。各份样品加水煎煮时应控制温度和煎液得量,因若温度不同,各份样品的水分蒸发不一致而影响实验结果,最好采用回流的方法。为了保证有效成分的提出率,提取浓缩液醇沉时宜慢加快搅,以免有效成分损失。
骨健颗粒剂中主要药材的有效成分以甙类为主,故在提取工艺考察中以总甙得量为考察指标。淫羊藿在本方中为主药,所以在工艺验证中测定了淫羊藿甙的转移率(这与成品的含量测定指标是一致的)。采用1995年版药典测定淫羊藿药材和颗粒剂内淫羊藿甙的吸收度,并通过多次试验,颗粒剂内其他成分和辅料对测定无干扰,证明此方法是可行的。
*国家中医药管理局资助课题
作者简介:孙秀华,女,54岁,副教授
参考文献
1 中华人民共和国药典一部.广东:广东科技出版社、化学工业出版社,1995.287~288
(收稿日期:1999-03-05), 百拇医药
单位:北京中医药大学 北京100029
关键词:骨健颗粒剂;提取工艺;淫羊藿甙;正交设计
北京中医药大学学报990419 摘要:采用正交设计L9(34),对骨健颗粒剂进行了提取工艺研究,筛选出最佳提取条件,并采用薄层层析—紫外分光光度法测定了该制剂中主药淫羊藿中淫羊藿甙的吸收度,计算出淫羊藿甙的转移率为71.2%,验证了优选出的最佳提取工艺的合理性。
A Research on the Extraction Technology of GuJian Granules
Sun Xiuhua Yang Zhengyu Kang Yuling
, 百拇医药
(Beijing University of Traditional Chinese Medicine, Beijing 100029)
ABSTRACT: Use orthogonal design Lg (34) to screen out the best extraction condition. Assay the absorbance of icariin which is an ingredient of lonspur epimedium, the principal drug in the granule. The transference rate of icariin was 71.2%. It proved the rationality of the optimum seeked extraction technology.
KEY WORDS: GuJian granules; Extraction technology; Icariin; Orthogonal design
, 百拇医药
骨健颗粒剂为治疗骨质疏松症的中药制剂,淫羊藿为方中主药,具有补肾阳、强筋骨、祛风湿的功效。根据处方中各药材有效成分或有效部位的性质,确定了淫羊藿等药材以水提醇沉法提取。本文对提取条件进行了考察,优选出最佳提取工艺条件,并对优选出的提取工艺进行了验证。
1 仪器与试药
752紫外光栅分光光度计(上海仪器设备厂),淫羊藿、党参、骨碎补等药材饮片(同仁堂北辰药材批发部);淫羊藿甙(中国药品生物制品检定所);骨健颗粒剂(北京中医药大学中药学院制剂教研室提供)。所用试剂均为分析纯。
2 工艺研究与结果
2.1 淫羊藿等药材提取条件考察及结果
按处方比例,称取淫羊藿等药材,按正交设计表L9(34)进行试验,因处方中主要药物均含甙类成分故以总甙得量为考察指标。将各份实验样品根据不同的加水量,煎煮不同次数及时间,各自合并煎煮液并浓缩至1∶1(g/mL),加95%乙醇达到需要的浓度,放置24h,滤过,滤液回收乙醇并浓缩至一定量,用正丁醇萃取3次,合并萃取液,回收正丁醇并水浴浓缩至干,再放入干燥箱内继续干燥,称重,计算总甙重量。试验方法及结果见表1、表2。
, 百拇医药
表1 因素水平表 水平
加水倍数
(A)
煎煮时间/h
(B)
煎煮次数
(C)
醇沉浓度/%
(D)
1
16
2.5
1
, 百拇医药
50
2
18
2
2
60
3
20
1.5
3
70
2.2 数据的统计分析
将总甙得量数据填入正交表及方差分析表中进行方差分析计算,结果见表2、表3。表2 正交试验设计表及实验结果 实验号
, 百拇医药
A
B
C
D
总甙得量/g
1
1
1
1
1
0.54
2
1
2
, 百拇医药
2
2
0.70
3
1
3
3
3
1.83
4
2
1
2
3
, http://www.100md.com
0.90
5
2
2
3
1
0.56
6
2
3
1
2
1.88
7
, 百拇医药
3
1
3
2
0.98
8
3
2
1
3
0.90
9
3
3
, http://www.100md.com
2
1
1.19
Ⅰj
3.07
2.42
3.32
2.29
G=9.48
Ⅱj
3.34
2.16
2.79
, http://www.100md.com
3.56
G2=89.8704
Ⅲj
3.07
4.90
3.37
3.63
CT=9.9856
Ⅰ2j
9.4249
5.8564
11.0224
, http://www.100md.com
5.2441
Ⅱ2j
11.1556
4.6656
7.7841
12.6736
Ⅲ2j
9.4249
24.0100
11.3569
13.1769
, 百拇医药
表3 方差分析表 方差来源
方差
自由度
F值
P值
A
0.0162
2
B
1.5251
2
94.14
<0.05
, 百拇医药
C
0.0689
2
4.25
D
0.3793
2
23.41
<0.05
统计结果表明:①煎煮时间与醇沉浓度对实验结果有显著影响(P<0.05),加水倍数与煎者次数影响很小,各因素影响顺序是B>D>C>A;②各因素中各水平的影响顺序是A2>A1>A3,B3>B1>B2,C3>C1>C2,D3>D2>D1。因此根据实验结果最佳提取条件是A2B3C3D3。即加水倍数为药材量的18倍,煎者时间为1.5h,煎煮次数为3次,醇沉浓度为70%。因煎煮次数影响很小,从生产考虑,煎煮次数改为2次为宜。
, 百拇医药
3 最佳提取工艺验证
本方中君药淫羊藿的主要有效成分为淫羊藿甙,故以淫羊藿甙为颗粒剂测定指标进行最佳提取工艺验证。具体操作是按最佳提取工艺将淫羊藿等药材提取后制成颗粒剂。按文献方法[1]对颗粒剂和淫羊藿药材分别测定淫羊藿甙的吸收度,计算出有效成分的转移率。
3.1 供试品溶液的制备
取淫羊藿叶片粗粉,于80℃干燥4h,取约0.5g,精密称定,共称3份样品,置圆底烧瓶中,精密加入70%乙醇20mL,称定重量。加热回流1h,放冷,称定重量,加70%乙醇补足减失重量,摇匀,滤过,弃去初滤液,收集续滤液,即得淫羊藿药材供试品溶液。另精密称取颗粒剂1.188g(相当于0.5g淫羊藿药材),共称3份。按上法制成骨健颗粒剂供试品溶液。
3.2 对照品溶液的制备
, 百拇医药
精密称取在105℃干燥至恒重的淫羊藿甙对照品10mg,置20mL容量瓶中,加甲醇适量使溶解并稀释至刻度,摇匀,作为对照品溶液(每1mL中含淫羊藿甙500μg)。量取对照品溶液5mL置100mL容量瓶中,加甲醇稀释至刻度,摇匀,作为对照品稀释液(每1mL中含淫羊藿甙25μg)。
3.3 测定方法与结果
精密量取上述2种供试品溶液各100μL,点于硅胶G薄层板上,使成条状,在供试品条斑侧1.5cm处点对照品稀释液10μL作为对照,用醋酸乙酯—丁酮—甲酸—水(5∶3∶1∶1)为展开剂,展开,取出,挥尽溶剂,置紫外灯(365nm)下检视。刮取与淫羊藿甙相应位置上的暗红色荧光条斑,置10mL试管中。同时刮取同一块层析板上与供试品条斑等面积的硅胶G,作为空白,置另一个10mL试管中,各管分别加入甲醇10mL,充分振摇,放置2h,滤过,弃去初滤液,收集续滤液,在270nm波长处测定吸收度,结果见表4。
, 百拇医药
表4 药材和颗粒剂的薄层洗脱测定结果 项目
药材
颗粒剂
1
2
3
1
2
3
样品/g
0.5004
0.5030
0.5033
, 百拇医药
1.1880
1.1884
1.1884
吸收度
0.1752
0.1959
0.1643
0.1158
0.1325
0.1337
平均吸收度
0.1785
, 百拇医药 0.1273
由表4得知3份淫羊藿药材吸收度A平均为0.1785,3份颗粒剂吸收度A平均为0.1273,因吸收度与含量成正比,故以吸收度之比计算淫羊藿甙转移率:
结果颗粒剂中淫羊藿甙转移率为71.2%,说明优选出的提取方法提取比较完全,提取工艺可行。
4 讨论
在因素水平表1中未设空白项,故表2中各号样品均制备3份,测得的总甙得量为3份样品的平均值。各份样品加水煎煮时应控制温度和煎液得量,因若温度不同,各份样品的水分蒸发不一致而影响实验结果,最好采用回流的方法。为了保证有效成分的提出率,提取浓缩液醇沉时宜慢加快搅,以免有效成分损失。
骨健颗粒剂中主要药材的有效成分以甙类为主,故在提取工艺考察中以总甙得量为考察指标。淫羊藿在本方中为主药,所以在工艺验证中测定了淫羊藿甙的转移率(这与成品的含量测定指标是一致的)。采用1995年版药典测定淫羊藿药材和颗粒剂内淫羊藿甙的吸收度,并通过多次试验,颗粒剂内其他成分和辅料对测定无干扰,证明此方法是可行的。
*国家中医药管理局资助课题
作者简介:孙秀华,女,54岁,副教授
参考文献
1 中华人民共和国药典一部.广东:广东科技出版社、化学工业出版社,1995.287~288
(收稿日期:1999-03-05), 百拇医药