番红花的化学及药理研究概况
作者:高文运 朱大元
单位:高文运 朱大元 中国科学院上海药物研究所植化室(200031)
关键词:番红花属;化学成分;药理作用
990531 摘 要 综述了番红花属植物近期的化学及药理研究情况 ,主要集中在对其柱头中类胡萝卜素及胡萝卜素类化合物的分离及鉴定上;对一些化合物抗 癌活性的研究相对集中。
番红花 Crocus sativus L. 为鸢尾科番红花 属植物,多年 生草本,主要分布在欧洲、地中海及中亚等地[1],我国浙江等地有栽培。它是一 种名贵的中药材,具有强大的生理活性,其柱头在亚洲和欧洲作为药用,有镇静、祛痰、解 痉作用,用于胃病、调经、麻疹、发热、黄胆、肝脾肿大等的治疗[2]。现将该植 物化学及药理研究近况作一简要总结。
, http://www.100md.com
1 化学成分
对该植物化学成分的研究主要集中在其柱头部分,其中含有挥发油(主要成分为三 甲基环己烯衍生物)、类胡萝卜素及其苷类化合物、胡萝卜素类化合物、氨基酸、三甲基环 己烯衍生物的苷类化合物及皂苷;花被中含有黄酮及其苷类化合物[3]。
1.1 挥发油:从植物的柱头分离得到的挥发油成分有30多个,其中包括2-苯基乙醇、萘 、2-丁烯酸内酯、高级脂肪酸(如棕榈酸、硬脂酸、油酸、亚油酸、亚麻酸等)及一些三甲 基环己烯衍生物[4]。三甲基环己烯衍生物中主要的有3,5,5-三甲基-3 -环己 烯-1-酮(Ⅰ)、2,6,6-三甲基-1,4-环己二烯-1-甲醛(Ⅱ)、3,5,5-三甲基-2 -环己烯-1-酮(Ⅲ)、2,6,6-三甲基-1,3-环己二烯-1-甲醛(藏花醛,Ⅳ)和2,6 ,6-三甲基-2-环己烯-1,4-二酮(Ⅴ),它们的结构如图1。
, 百拇医药
图1 三甲基环己烯衍生物的结构
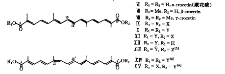
1.2 共轭多烯及其苷类:主要有两类,一类是类胡萝卜素及其苷类 ,另一类为 胡萝卜素[3]。这两类化合物是番红花中主要的有色物质。现分别加以讨论:
1.2.1 类胡萝卜素及其苷类:共分有11个该类化合物,各种藏花酸是其中的主要成分。 它们的结构如图2。

图2 类胡萝卜素及其苷类的结构
1.2.2 胡萝卜素类:主要有α-、β-胡萝卜素、番茄红素 (lycop ene) 和玉米黄质 (zeaxanthin)[3]。
, 百拇医药
1.3 黄酮类:主要是从番红花的花被中分到的[8~10],分别为山柰酚、黄芪苷 和helichrysoside、山柰酚-3-O-葡萄糖-(1→2)-6-乙酰基葡萄 糖 苷、山柰酚-3-O-葡萄糖-(1→2)-葡萄糖苷、槲皮素、翠雀素、翠 雀素-3,5-二葡萄糖苷和3-甲基花翠素及 miricetin 等。
1.4 三甲基环己烯衍生物的苷类化合物:分得了3个化合物 (Ⅹ Ⅵ Ⅰ ~Ⅺ Ⅹ),为葡萄糖苷;还有一个辛二烯酸衍生物的葡萄糖酯 (Ⅹ Ⅹ) [11]。它们的结构如图3。
图3 三甲基环己烯衍生物的结构
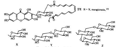
另一个三甲基环己烯衍生物的苷类化合物是藏红花苦素 (picrocrocin) ,它是番红花中的主要苦味成分,结构如图4[3]。
, 百拇医药
图4 藏红花苦素的结构
1.5 其它:番红花中还含有大量的氨基酸和数量不多的皂苷(目前共分到两个,一个为三 萜皂苷,另一个为甾体皂苷)等化合物。
2 药理活性
Hartwel[12]总结了番红花作为抗癌制剂的应用,并指出该植物对肝、脾 、肾、胃、子宫等癌症均有疗效。近年来 Nair 等人[13]研究了番红花提取物的抗 癌活性,将3种癌细胞分别移植到小鼠体内,然后以番红花提取物对它们进行治疗。结果发 现用药小鼠的癌症发病率相对低于对照组,而寿命则相对延长。进一步的研究表明,番红 花提取物有细胞毒性,在较低的浓度下对上述3种癌细胞敏感,而对正常的脾细胞却不敏感 。药理实验还证实,番红花提取物对肝、肾、膀胱等器官无任何毒性。同时,番红花提取物 与顺铂同时使用可降低顺铂的毒性[14]。
, 百拇医药
对番红花中活性成分的研究主要集中在藏花酸 (crocetin) 和藏花素 (crocin) 两个化合物 上。Gainer 等人[15]证实,藏花酸可减少癌细胞数目,并延迟它们的发病;Mathe ws[16]以裸鼠为实验对象,证实藏花酸可有限地抑制由9,10-二甲基-1,2-苯 并蒽及巴豆油诱发的皮肤癌,但无明确的证据证明它对 UV-B 诱发的皮肤癌有效。Abdulla ev[17]研究了藏花酸对3种恶性人体细胞系 (HeLa、A549及VA13) 的抑制活性。将 这些细胞以藏花酸培养3 h 就会对其核酸及蛋白质的合成产生剂量依赖的抑制。
藏花酸及藏花素的另一个重要活性就是清除氧自由基的作用[18,19]。Paramonova 等人[20]经过研究后认为该作用可能是由于藏花酸或藏花素能和形成一种复合物从而降低了 的氧化能力而形成的。
保护肝脏是藏花素的另一个作用。研究证实,藏花素可以减小黄曲霉毒素 B1 对肝脏的损 伤,而其本身对肝功无影响[21]。还有实验证实,藏花酸对肝脏的急性毒物损伤也 有保护作用[22]。
, 百拇医药
在印度的草药疗法中,番红花被认为是滋补剂及非特异免疫功能增强剂。它的提取物对动物 和人都有抗应激和抗焦虑活性。1989年 Ghosal 等人从该植物中分到了一个新化合物 mangi crocin[7],并证实该化合物有较强的“适应原”样活性。进一步的研究证实,其 分子中的有效部位为 xanthone 片段,而类胡萝卜素片段则没有这种活性。
3 结语
综上所述,目前对该植物的研究已取得很大进展,但仍存在一些问题。1)应 继续深入地研究柱头的化学成分及其药理活性,以期能有更大的进展;2)对该植物除柱 头以外的其它部位进行研究,以进一步开发利用这一药用植物,提高资源的利用率。
参 考 文 献
1 中国科学院中国植物志编辑委员会.中国植物志.第十六卷.第一分 册.北京:科学出版社,1985:122
, http://www.100md.com
2 江苏新医学院.中药大辞典.上海:上海科技出版社,1985:2761
3 Rios J L,et al. Phytother Res,1996,10:18 9
4 Tarantilis P A,et al. J Agric Food Chem,1997,45:4 59
5 Pfister S,et al. J Agric Food Chem,1996,44:2612[ ZK)〗
6 Marie-Rose V. Calsteren et al. J Agric Food Chem,1 997,45:1055
7 Ghosal S,et al. J Chem Res (S),1989,70
, http://www.100md.com
8 Garrido J L,et al. Anal Bromatol,1987,39:69
9 宋纯清,等.化学学报,1991,49:917
10 宋纯清.中草药,1990,21(10):7
11 Strauminger M,et al. J Agric Food Chem,1997,45:1 678
12 Hartwell J L.Plants Used Against Cancer.A Survey,Quaterman Publications,Lawrence,1982:284
13 Nair S C,et al. Cancer Lett,1991,57:109
14 Nair S C,et al. J Ethnopharmacol,1991,31:75
, 百拇医药
15 Gainer J V,et al. J Neurosurg,1976,45:535
16 Mathews Roth M M.Oncology,1982,39:32
17 Abdullaev F I.Toxicol Lett,1994,70:243
18 Bors W,et al. Bull Eur Physiopathol Respir,1981.1 7(suppl):13
19 Erben-Russ M,et al. Free Radic Res Commun,1987,2 6:289
20 Paramonova L I,et al. Dolk Vses Akad S-Kh.Naukim V I Lenina,1989,11:30 (CA,112:52954q)
21 Lin J K,et al. Carcinogenesis,1986,7:595
22 Wang C J,et al. Cancer Lett,1991,56:1
(1999-01-14收稿), http://www.100md.com
单位:高文运 朱大元 中国科学院上海药物研究所植化室(200031)
关键词:番红花属;化学成分;药理作用
990531 摘 要 综述了番红花属植物近期的化学及药理研究情况 ,主要集中在对其柱头中类胡萝卜素及胡萝卜素类化合物的分离及鉴定上;对一些化合物抗 癌活性的研究相对集中。
番红花 Crocus sativus L. 为鸢尾科番红花 属植物,多年 生草本,主要分布在欧洲、地中海及中亚等地[1],我国浙江等地有栽培。它是一 种名贵的中药材,具有强大的生理活性,其柱头在亚洲和欧洲作为药用,有镇静、祛痰、解 痉作用,用于胃病、调经、麻疹、发热、黄胆、肝脾肿大等的治疗[2]。现将该植 物化学及药理研究近况作一简要总结。
, http://www.100md.com
1 化学成分
对该植物化学成分的研究主要集中在其柱头部分,其中含有挥发油(主要成分为三 甲基环己烯衍生物)、类胡萝卜素及其苷类化合物、胡萝卜素类化合物、氨基酸、三甲基环 己烯衍生物的苷类化合物及皂苷;花被中含有黄酮及其苷类化合物[3]。
1.1 挥发油:从植物的柱头分离得到的挥发油成分有30多个,其中包括2-苯基乙醇、萘 、2-丁烯酸内酯、高级脂肪酸(如棕榈酸、硬脂酸、油酸、亚油酸、亚麻酸等)及一些三甲 基环己烯衍生物[4]。三甲基环己烯衍生物中主要的有3,5,5-三甲基-3 -环己 烯-1-酮(Ⅰ)、2,6,6-三甲基-1,4-环己二烯-1-甲醛(Ⅱ)、3,5,5-三甲基-2 -环己烯-1-酮(Ⅲ)、2,6,6-三甲基-1,3-环己二烯-1-甲醛(藏花醛,Ⅳ)和2,6 ,6-三甲基-2-环己烯-1,4-二酮(Ⅴ),它们的结构如图1。
, 百拇医药
图1 三甲基环己烯衍生物的结构
1.2 共轭多烯及其苷类:主要有两类,一类是类胡萝卜素及其苷类 ,另一类为 胡萝卜素[3]。这两类化合物是番红花中主要的有色物质。现分别加以讨论:
1.2.1 类胡萝卜素及其苷类:共分有11个该类化合物,各种藏花酸是其中的主要成分。 它们的结构如图2。
图2 类胡萝卜素及其苷类的结构
1.2.2 胡萝卜素类:主要有α-、β-胡萝卜素、番茄红素 (lycop ene) 和玉米黄质 (zeaxanthin)[3]。
, 百拇医药
1.3 黄酮类:主要是从番红花的花被中分到的[8~10],分别为山柰酚、黄芪苷 和helichrysoside、山柰酚-3-O-葡萄糖-(1→2)-6-乙酰基葡萄 糖 苷、山柰酚-3-O-葡萄糖-(1→2)-葡萄糖苷、槲皮素、翠雀素、翠 雀素-3,5-二葡萄糖苷和3-甲基花翠素及 miricetin 等。
1.4 三甲基环己烯衍生物的苷类化合物:分得了3个化合物 (Ⅹ Ⅵ Ⅰ ~Ⅺ Ⅹ),为葡萄糖苷;还有一个辛二烯酸衍生物的葡萄糖酯 (Ⅹ Ⅹ) [11]。它们的结构如图3。
图3 三甲基环己烯衍生物的结构
另一个三甲基环己烯衍生物的苷类化合物是藏红花苦素 (picrocrocin) ,它是番红花中的主要苦味成分,结构如图4[3]。
, 百拇医药
图4 藏红花苦素的结构
1.5 其它:番红花中还含有大量的氨基酸和数量不多的皂苷(目前共分到两个,一个为三 萜皂苷,另一个为甾体皂苷)等化合物。
2 药理活性
Hartwel[12]总结了番红花作为抗癌制剂的应用,并指出该植物对肝、脾 、肾、胃、子宫等癌症均有疗效。近年来 Nair 等人[13]研究了番红花提取物的抗 癌活性,将3种癌细胞分别移植到小鼠体内,然后以番红花提取物对它们进行治疗。结果发 现用药小鼠的癌症发病率相对低于对照组,而寿命则相对延长。进一步的研究表明,番红 花提取物有细胞毒性,在较低的浓度下对上述3种癌细胞敏感,而对正常的脾细胞却不敏感 。药理实验还证实,番红花提取物对肝、肾、膀胱等器官无任何毒性。同时,番红花提取物 与顺铂同时使用可降低顺铂的毒性[14]。
, 百拇医药
对番红花中活性成分的研究主要集中在藏花酸 (crocetin) 和藏花素 (crocin) 两个化合物 上。Gainer 等人[15]证实,藏花酸可减少癌细胞数目,并延迟它们的发病;Mathe ws[16]以裸鼠为实验对象,证实藏花酸可有限地抑制由9,10-二甲基-1,2-苯 并蒽及巴豆油诱发的皮肤癌,但无明确的证据证明它对 UV-B 诱发的皮肤癌有效。Abdulla ev[17]研究了藏花酸对3种恶性人体细胞系 (HeLa、A549及VA13) 的抑制活性。将 这些细胞以藏花酸培养3 h 就会对其核酸及蛋白质的合成产生剂量依赖的抑制。
藏花酸及藏花素的另一个重要活性就是清除氧自由基的作用[18,19]。Paramonova 等人[20]经过研究后认为该作用可能是由于藏花酸或藏花素能和形成一种复合物从而降低了 的氧化能力而形成的。
保护肝脏是藏花素的另一个作用。研究证实,藏花素可以减小黄曲霉毒素 B1 对肝脏的损 伤,而其本身对肝功无影响[21]。还有实验证实,藏花酸对肝脏的急性毒物损伤也 有保护作用[22]。
, 百拇医药
在印度的草药疗法中,番红花被认为是滋补剂及非特异免疫功能增强剂。它的提取物对动物 和人都有抗应激和抗焦虑活性。1989年 Ghosal 等人从该植物中分到了一个新化合物 mangi crocin[7],并证实该化合物有较强的“适应原”样活性。进一步的研究证实,其 分子中的有效部位为 xanthone 片段,而类胡萝卜素片段则没有这种活性。
3 结语
综上所述,目前对该植物的研究已取得很大进展,但仍存在一些问题。1)应 继续深入地研究柱头的化学成分及其药理活性,以期能有更大的进展;2)对该植物除柱 头以外的其它部位进行研究,以进一步开发利用这一药用植物,提高资源的利用率。
参 考 文 献
1 中国科学院中国植物志编辑委员会.中国植物志.第十六卷.第一分 册.北京:科学出版社,1985:122
, http://www.100md.com
2 江苏新医学院.中药大辞典.上海:上海科技出版社,1985:2761
3 Rios J L,et al. Phytother Res,1996,10:18 9
4 Tarantilis P A,et al. J Agric Food Chem,1997,45:4 59
5 Pfister S,et al. J Agric Food Chem,1996,44:2612[ ZK)〗
6 Marie-Rose V. Calsteren et al. J Agric Food Chem,1 997,45:1055
7 Ghosal S,et al. J Chem Res (S),1989,70
, http://www.100md.com
8 Garrido J L,et al. Anal Bromatol,1987,39:69
9 宋纯清,等.化学学报,1991,49:917
10 宋纯清.中草药,1990,21(10):7
11 Strauminger M,et al. J Agric Food Chem,1997,45:1 678
12 Hartwell J L.Plants Used Against Cancer.A Survey,Quaterman Publications,Lawrence,1982:284
13 Nair S C,et al. Cancer Lett,1991,57:109
14 Nair S C,et al. J Ethnopharmacol,1991,31:75
, 百拇医药
15 Gainer J V,et al. J Neurosurg,1976,45:535
16 Mathews Roth M M.Oncology,1982,39:32
17 Abdullaev F I.Toxicol Lett,1994,70:243
18 Bors W,et al. Bull Eur Physiopathol Respir,1981.1 7(suppl):13
19 Erben-Russ M,et al. Free Radic Res Commun,1987,2 6:289
20 Paramonova L I,et al. Dolk Vses Akad S-Kh.Naukim V I Lenina,1989,11:30 (CA,112:52954q)
21 Lin J K,et al. Carcinogenesis,1986,7:595
22 Wang C J,et al. Cancer Lett,1991,56:1
(1999-01-14收稿), http://www.100md.com