鄂北贝母二萜成分鄂贝醇的结构解析
作者:阮汉利 吴继洲 邓淑凯 马准 刘国利 陈华安 孙汉董 张宏杰
单位:阮汉利 吴继洲 邓淑凯 马准 同济医科大学药学院(武汉 430030);刘国利 陈华安 孙汉董 张宏杰 中国科学院昆明植物研究所
关键词:贝母属;鄂北贝母;鄂贝醇;对映-贝壳杉烷;二萜
鄂北贝母二萜成分鄂贝醇的结构解析 摘 要 在鄂北贝母Fritillaria ebeiensis 鳞茎非生物碱的继续研究中,又分得 6 种对映-贝壳杉烷型二萜,经理化常数及波谱解析,并与标准品对照,证实晶 Ⅰ~Ⅲ 的结构分别为 ent-kau-15-en-17-ol, ent-kauran-16 β, 17-diol,ent-kauran-16 α, 17-diol。晶 Ⅳ C22H36O4, mp 163℃~164℃,经波谱分析及降解反应,鉴定其结构为 ent-3 β-acetoxy-kauran-16 β, 17-diol,命名为鄂贝醇 (fritillebeinol),Ⅰ~Ⅲ 在该植物中系首次分得。Ⅳ 系首次发现的新天然产物。晶 Ⅴ 和晶 Ⅵ 为聚合二萜,其结构正在鉴定中。
, http://www.100md.com
Structural Elucidation of a New Diterpenoid, Fritillebinol from
Ebeiensis Fritillary Bulb (Fritillaria ebeiensis)
Ruan Hanli,Sun Handong ,Wu Jizhou ,et al.
(College of Pharmacy, Tongji University of Medical Sciences, Wuhan 430030)
Abstract The bulb of Fritillaria ebeiensis G. D. Yu et G. Q. Ji is commercially available as a substitute for the principal Chinese traditional medicine “ Beimu ”. As for the non basic constituents of the bulbs of this plant, we have isolated and identified fritillebic acid and three diterpenoid dimers, i. g. fritillebin A, fritillebin B and fritillebinide C in a previous study.
, 百拇医药
In continuation of our investigation of non basic constituents, six ent-kaurane diterpenoids (Ⅰ~Ⅵ) were further isolated from the bulb of F. ebeiensis cultivated in Suizhou district, Hubei. Compounds Ⅰ~Ⅲ were identified as the known diterpenoids ent-kan-15-en-17-ol, ent-kauran-16β, 17-diol and ent-kauran-16α, 17-diol on the basis of spectral data TLC and mixed mp comparison with authentic samples, and references.
Compound Ⅳ, C22H36O4, mp 163~164℃, named fritillebinol, is a new diterpenoid, its structure has been established as ent-3β-acetoxy-kauran-16β, 17-diol on the basis of its spectroscopic and chemical evidences. Compounds Ⅴ and Ⅵ are diterpenoid dimers, their structures are still under investigation.
, 百拇医药
Key words Fritillaria ebeiensis G. D. Yu et G. Q. Ji fritillebinol ent-kaurane
鄂北贝母 Fritillaria ebeiensis G. D. Yu et G. Q. Ji 系百合科贝母属植物,原为野生,现已栽培成功。作者等曾从其总生物碱部位分离鉴定了浙贝甲素(peimine),浙贝乙素(peiminine),湖贝啶(hubenidine),鄂贝甲素(ebeinine),鄂贝乙素(ebeinone)及鄂贝新(ebeiensine)等 6 种生物碱〔1~3〕;后来从其非生物碱部位分离鉴定了对映-贝壳杉烷(ent-kaurane)二萜,鄂贝酸(fritillebic acid)及鄂贝酸酯甲、乙(fritillebin A、B)〔4〕,鄂贝缩醛丙(fritillebinide C) 3 种二萜二聚体化合物。
在非生物碱的继续研究中又分离到 Ⅰ~Ⅵ 具有 ent-kauran 骨架的二萜成分,晶 Ⅱ~Ⅲ 的理化性质和波谱数据分别与 ent-kau-15-en-17-ol,ent-kauran-16 β,17-diol,ent-kauran-16 α,17-diol〔5,6〕 一致,其中晶 Ⅰ 与文献〔6〕比较相同,晶 Ⅱ,Ⅲ 与标准品作混合熔点测定,熔点不下降,薄层层析对比分析,Rf 值相同,斑点重叠。因此,鉴定 Ⅰ 为 ent-kau-15-en-17-ol,Ⅱ 为 ent-kauran-16 β,17-diol,Ⅲ 为 ent-kauran-16 α,17-diol,均首次从该植物中分离到。
, 百拇医药
晶Ⅳ为无色针晶(EtOAc),mp 163℃~164℃,[α]D-112.5°(c,0.34, MeOH),分子式为 C22H36O4 [HREI-MS m/z 364.2613(M+),计算值 364.2612]。IR(KBr, cm-1): 3 420(OH),1 722,1 250(OAc)。EI-MS 给出分子离子峰 m/z 364(M+)及特征离 m/z 346(M-H2O)+,333 (M-CH2OH)+,286(346-CH3COOH)+,273(333-CH3COOH)+,231。1H-NMR谱图示有 3 个叔甲基 δ 0.84(6 H,s,C18-H,C19-H),1.04(3 H,s,C20-H),一个乙酰氧基δ 2.05(3 H,s,-OAc)及乙酰氧基同碳氢质子 δ 4.45(1 H,dd,J=10.4,6.5 Hz),一个羟甲基 δ 3.63,3.75(2 H,AB,dd,J=11 Hz)的存在,见表1。13 C-NMR 谱图可观察到 22 个碳原子,其 DEPT 试验表明 22 个碳分别以4个伯碳,9个仲碳,4个叔碳及 5 个季碳的形式存在,各碳的化学位移值如表2所示。根据以上分析及本植物已分离鉴定的二萜基本骨架考虑,晶Ⅳ亦为具有 ent-kaurane 骨架的二萜醇。
, 百拇医药
表1 化合物 Ⅰ~Ⅳ 的 1 HNMR 数据(400 MHz,CDCl3,δ)
H
Ⅰ
Ⅱ
Ⅲ
Ⅳ
0.80
0.80
0.80
0.84
tert-CH3(s)
, 百拇医药 0.82
0.84
0.84
0.84
1.01
1.02
1.02
1.04
H-C3-OAc
4.45
(dd,J=10.4,6.5)
-CH2OH
, 百拇医药
4.15(s)
3.63
3.39
3.63
(AB,dd,J=11.0)
4.16(s)
3.75
3.47
3.75
-C-CH=C-(s)
5.32
晶Ⅳ中乙酰氧基的结合位置可由1H-13C NMR 远程偶合相关谱(HMBC)分析来决定,乙酰氧基同碳氢(H-3)与 C4、C18、C19 及乙酰氧基的羰基碳之间均存在远程偶合,且 H-18、H-19 与连接乙酰氧基的碳(C3)之间亦存在远程偶合,见图1。因此,乙酰氧基连在 C3 位无疑,而且 H-3 与 H-2 之间的偶合常数J=10.4 Hz,与鄂贝酸(fritillebic acid)中 C3 位乙酰氧基 J2,3比较一致,显示它们之间为 1,3-diaxial 关系,即 C3 位乙酰氧基为 equatrial 定向。在Ⅳ的谱图中也可观察到 H-17 与 C13、C16 之间,H-13 与 C17 之间相关峰的存在,所以 -CH2OH 结合在 C16 位无疑。从 DEPT 谱中看出归属于 C16 的碳为季碳(δ 81.7)表明另一个羟基也结合在 C16 位,而且 H-17 与 C17 的化学位移值与文献报道的 ent-kauran-16 β,17-diol,ent-kauran-16 α,17-diol〔5,6〕 的化学位移值比较(见表2),更接近于前者,由此表明 C16-CH2OH 为 β 定向,即 C16 为 R 构型。
, http://www.100md.com
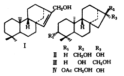
图1 化合物 Ⅰ~Ⅳ的化学结构式
为了进一步确证 Ⅳ 的结构,用5% NaOH-MeOH 液水解晶 Ⅳ,得到晶体 Ⅳa,其理化性质和波谱数据与 fritillebin B 同样水解得到的 ent-kauran-3 β,16 β,17-triol〔4〕 比较完全一致,经与标准品作 Co-mp,Co-TLC 分析,熔点不降低,斑点重叠,得以认定。Ⅳ和Ⅳa的 HMBC 分析见图2。
图2 Ⅳ 和 Ⅳa 的 HMBC 分析
综上所述,晶 Ⅳ 的结构确定为 ent-3 β-acetoxy-karuan-16 β,17-diol,系天然产物中首次发现的新化合物,命名为鄂贝醇(fritillebinol)。
, 百拇医药
本文报道的 Ⅰ、Ⅱ、Ⅲ的 C1,C7及 C14 化学位移值与文献〔5〕记载的不同,此系作者根据 1 H-1H、1H-13C COSY 以及 NOEsy 实验技术对 ent-kauran-16 β,17-diol (Ⅱ) 重新归属订正〔4〕,并根据分子模型分析后整理,此处不再赘述。但非常有趣的是,从鄂北贝母中既分离鉴定了多种聚合二萜酯和缩醛,又分离到聚合二萜前体物鄂贝酸(fritillebic acid)及 ent-kau-15-en-17-ol,ent-kauran-16β,17-diol,ent-kauran-16α,17-diol,ent-3 β-acetoxy-kauran-16β,17-diol 等化合物,那么其聚合二萜是植物体内的原生代谢产物,还是在提取分离过程中聚合而成的人工产物,还有待进一步研究。
1 仪器和材料
, http://www.100md.com
熔点用 X4 型显微熔点仪测定,温度计未校正;旋光用 WZZ-1 自动显示旋光仪测定;红外光谱用 IR-460 型仪测定;核磁共振用 Bruker-400 型测定;质谱用 Autospec 型质谱仪测定;薄层层析用高效硅胶 H 板和柱层硅胶为青岛海洋化工厂生产,展开剂为正己烷-乙酸乙酯系统,显色剂为 5% 茴香醛 -10% 硫酸甲醇溶液。药材购自随州市中药材公司。
2 提取与分离
取鄂北贝母 4.2 kg,用95%乙醇加热提取,得浸膏410 g,浸膏在水与环己烷中多次分配,合并环己烷萃取液,得浸膏 51 g。浸膏经硅胶柱层析,以极性递增的环己烷-乙酸乙酯系统洗脱,TLC 指导合并,得晶Ⅰ231.9 mg,晶Ⅱ450 mg,晶Ⅲ36.4 mg,晶Ⅳ548.9 mg,晶Ⅴ89 mg,晶Ⅵ71.6 mg。
3 鉴定
, 百拇医药 晶Ⅰ:无色针晶,分子式为 C20H32O(HREI-MS m/z: 288.2483,计算值288.2453),mp 134℃~135℃,[α]D -24.8°(c,0.49,CHCl3)。IR(KBr)cm-1: 3 300(OH),1 380,1 364(偕二甲基)。EI-MS m/z: 288(100%),273,255,230,163。1H NMR,13C-NMR(CDCl3)δ: 见表1、2。以上理化常数和波谱数据与文献〔5〕报道的 ent-kau-15-en-17-ol 完全一致。
表2 化合物 Ⅰ~Ⅳ 的 13 CNMR 数据
C位
Ⅰ
, 百拇医药
Ⅱ
Ⅲ
Ⅳ
1
40.5
40.4
40.5
38.3
2
18.7
18.6
18.8
23.5
, 百拇医药
3
44.0
42.0
42.0
80.9
4
33.3
33.2
33.3
37.7
5
48.5
56.2
, 百拇医药
56.3
55.1
6
19.3
20.5
20.1
20.0
7
42.1
42.0
41.9
41.8
8
, 百拇医药
49.0
44.7
43.6
44.4
9
56.0
56.8
57.1
56.4
10
39.6
39.4
39.5
, 百拇医药
38.9
11
18.7
18.3
18.7
18.4
12
25.7
26.3
26.8
26.2
13
41.3
, 百拇医药
45.6
41.0
45.3
14
39.3
37.3
38.4
37.1
15
136.1
53.5
52.9
53.1
, 百拇医药
16
146.1
81.7
79.8
81.7
17
61.3
66.3
70.0
66.1
18
33.6
33.5
, 百拇医药
33.6
28.2
19
21.6
21.5
21.6
16.5
20
17.7
17.7
17.6
17.8
OAc
, http://www.100md.com
171.0
21.2
晶Ⅱ:无色针晶,分子式为 C20H34O2(HREI-MS m/z: 306.2547,计算值: 306.2535),mp 187℃~188℃,[α]D -38.4°(c,0.76,CHCl3)。IR(KBr) cm-1:3 390(OH)。EI-MS m/z: 306,288,275(100%),257,23。1HNMR,13CNMR(CDCl3)δ: 见表1,2。以上理化性质和波谱数据与文献〔5,6〕报道的 ent-kauran-16 β,17-diol 一致,与标准品作混合熔点测定,熔点不下降,薄层层析对比分析,Rf 值相同,斑点重叠。因此,鉴定晶 Ⅱ 为 ent-kauran-16 β,17-diol。
, 百拇医药
晶Ⅲ:无色针晶,分子式为 C20H34O2(HREI-MS m/z: 306.2538,计算值: 306.2535),mp 177℃~178℃,[α]D -43.2°(c,0.12,CHCl3)。IR(KBr) cm-1:3 390(OH)。EI-MS m/z: 306,288,275(100%),257,231。1HNMR,13CNMR(CDCl3)δ: 见表1,2。以上理化性质和波谱数据与文献〔5,6〕报道的 ent-kauran-16 α,17-diol 一致,与标准品作混合熔点测定,熔点不下降,薄层层析对比分析,Rf 值相同,斑点重叠。因此,鉴定晶Ⅲ 为 ent-kauran-16 α,17-diol。
晶Ⅳ:无色针晶,分子式为 C22H36O4(HREI-MS m/z: 364.2612,计算值: (346.2612),mp 163℃~164℃,[α]D -112.5°(c,0.49,CHCl3)。IR(KBr) cm-1:3 420(OH),1 722,1 250(OAc)。EI MS m/z: 364,346(M-H2O)+,333(M-CH2OH)+,286(346-CH3COOH)+,273(333-CH3COOH)+,1HNMR,13CNMR(CDCl3)δ: 见表1,2。晶 Ⅳ 的水解:取晶 Ⅳ 20 mg,加 5% NaOH-MeOH 溶液 10 mL 于水浴上回流 1 h ,常法处理,得晶 Ⅳa,无色针晶(EtOAc),mp 214℃~216℃。分子式为 C20H34O3(HREI-MS m/z: 322.2514,计算值: 322.2512)。IR(KBr)cm-1: 3 400(OH)。EI-MS m/z: 322(M)+,304 [(M-H2O)+,100%],291(M-CH2OH)+,273(M-CH2OH-H2O)+,255。1HNMR,13CNMR(CDCl3)δ: 见表1,2。以上理化性质和波谱数据与 fritillebin B 碱水解后得到的 ent-kauran-3 β,16 β,17-triol〔4〕一致,与标准品作混合熔点测定,熔点不下降,薄层层析对比分析,Rf 值相同,斑点重叠。因此,鉴定晶 Ⅳa 为 ent-kauran-3 β,16 β,17-triol。
, 百拇医药
晶 Ⅴ 和晶 Ⅵ 为聚合二萜,其结构正在鉴定之中。
参 考 文 献
1 吴继洲,等.中草药,1989,20(12):533
2 吴继洲,等.同济医科大学学报,1991,20(2):89
3 吴继洲,等.高等学校化学学报,1992,13(5):658
4 Wu Jizhou,et al. Chem Pharm Bull,1995,43(9):1448
5 Kitajima J,et al.Chem Pharm Bull,1982,30(11):3912
6 吴继洲,等.中草药, 1989,20(6):244
(1998-05-08 收稿), 百拇医药
单位:阮汉利 吴继洲 邓淑凯 马准 同济医科大学药学院(武汉 430030);刘国利 陈华安 孙汉董 张宏杰 中国科学院昆明植物研究所
关键词:贝母属;鄂北贝母;鄂贝醇;对映-贝壳杉烷;二萜
鄂北贝母二萜成分鄂贝醇的结构解析 摘 要 在鄂北贝母Fritillaria ebeiensis 鳞茎非生物碱的继续研究中,又分得 6 种对映-贝壳杉烷型二萜,经理化常数及波谱解析,并与标准品对照,证实晶 Ⅰ~Ⅲ 的结构分别为 ent-kau-15-en-17-ol, ent-kauran-16 β, 17-diol,ent-kauran-16 α, 17-diol。晶 Ⅳ C22H36O4, mp 163℃~164℃,经波谱分析及降解反应,鉴定其结构为 ent-3 β-acetoxy-kauran-16 β, 17-diol,命名为鄂贝醇 (fritillebeinol),Ⅰ~Ⅲ 在该植物中系首次分得。Ⅳ 系首次发现的新天然产物。晶 Ⅴ 和晶 Ⅵ 为聚合二萜,其结构正在鉴定中。
, http://www.100md.com
Structural Elucidation of a New Diterpenoid, Fritillebinol from
Ebeiensis Fritillary Bulb (Fritillaria ebeiensis)
Ruan Hanli,Sun Handong ,Wu Jizhou ,et al.
(College of Pharmacy, Tongji University of Medical Sciences, Wuhan 430030)
Abstract The bulb of Fritillaria ebeiensis G. D. Yu et G. Q. Ji is commercially available as a substitute for the principal Chinese traditional medicine “ Beimu ”. As for the non basic constituents of the bulbs of this plant, we have isolated and identified fritillebic acid and three diterpenoid dimers, i. g. fritillebin A, fritillebin B and fritillebinide C in a previous study.
, 百拇医药
In continuation of our investigation of non basic constituents, six ent-kaurane diterpenoids (Ⅰ~Ⅵ) were further isolated from the bulb of F. ebeiensis cultivated in Suizhou district, Hubei. Compounds Ⅰ~Ⅲ were identified as the known diterpenoids ent-kan-15-en-17-ol, ent-kauran-16β, 17-diol and ent-kauran-16α, 17-diol on the basis of spectral data TLC and mixed mp comparison with authentic samples, and references.
Compound Ⅳ, C22H36O4, mp 163~164℃, named fritillebinol, is a new diterpenoid, its structure has been established as ent-3β-acetoxy-kauran-16β, 17-diol on the basis of its spectroscopic and chemical evidences. Compounds Ⅴ and Ⅵ are diterpenoid dimers, their structures are still under investigation.
, 百拇医药
Key words Fritillaria ebeiensis G. D. Yu et G. Q. Ji fritillebinol ent-kaurane
鄂北贝母 Fritillaria ebeiensis G. D. Yu et G. Q. Ji 系百合科贝母属植物,原为野生,现已栽培成功。作者等曾从其总生物碱部位分离鉴定了浙贝甲素(peimine),浙贝乙素(peiminine),湖贝啶(hubenidine),鄂贝甲素(ebeinine),鄂贝乙素(ebeinone)及鄂贝新(ebeiensine)等 6 种生物碱〔1~3〕;后来从其非生物碱部位分离鉴定了对映-贝壳杉烷(ent-kaurane)二萜,鄂贝酸(fritillebic acid)及鄂贝酸酯甲、乙(fritillebin A、B)〔4〕,鄂贝缩醛丙(fritillebinide C) 3 种二萜二聚体化合物。
在非生物碱的继续研究中又分离到 Ⅰ~Ⅵ 具有 ent-kauran 骨架的二萜成分,晶 Ⅱ~Ⅲ 的理化性质和波谱数据分别与 ent-kau-15-en-17-ol,ent-kauran-16 β,17-diol,ent-kauran-16 α,17-diol〔5,6〕 一致,其中晶 Ⅰ 与文献〔6〕比较相同,晶 Ⅱ,Ⅲ 与标准品作混合熔点测定,熔点不下降,薄层层析对比分析,Rf 值相同,斑点重叠。因此,鉴定 Ⅰ 为 ent-kau-15-en-17-ol,Ⅱ 为 ent-kauran-16 β,17-diol,Ⅲ 为 ent-kauran-16 α,17-diol,均首次从该植物中分离到。
, 百拇医药
晶Ⅳ为无色针晶(EtOAc),mp 163℃~164℃,[α]D-112.5°(c,0.34, MeOH),分子式为 C22H36O4 [HREI-MS m/z 364.2613(M+),计算值 364.2612]。IR(KBr, cm-1): 3 420(OH),1 722,1 250(OAc)。EI-MS 给出分子离子峰 m/z 364(M+)及特征离 m/z 346(M-H2O)+,333 (M-CH2OH)+,286(346-CH3COOH)+,273(333-CH3COOH)+,231。1H-NMR谱图示有 3 个叔甲基 δ 0.84(6 H,s,C18-H,C19-H),1.04(3 H,s,C20-H),一个乙酰氧基δ 2.05(3 H,s,-OAc)及乙酰氧基同碳氢质子 δ 4.45(1 H,dd,J=10.4,6.5 Hz),一个羟甲基 δ 3.63,3.75(2 H,AB,dd,J=11 Hz)的存在,见表1。13 C-NMR 谱图可观察到 22 个碳原子,其 DEPT 试验表明 22 个碳分别以4个伯碳,9个仲碳,4个叔碳及 5 个季碳的形式存在,各碳的化学位移值如表2所示。根据以上分析及本植物已分离鉴定的二萜基本骨架考虑,晶Ⅳ亦为具有 ent-kaurane 骨架的二萜醇。
, 百拇医药
表1 化合物 Ⅰ~Ⅳ 的 1 HNMR 数据(400 MHz,CDCl3,δ)
H
Ⅰ
Ⅱ
Ⅲ
Ⅳ
0.80
0.80
0.80
0.84
tert-CH3(s)
, 百拇医药 0.82
0.84
0.84
0.84
1.01
1.02
1.02
1.04
H-C3-OAc
4.45
(dd,J=10.4,6.5)
-CH2OH
, 百拇医药
4.15(s)
3.63
3.39
3.63
(AB,dd,J=11.0)
4.16(s)
3.75
3.47
3.75
-C-CH=C-(s)
5.32
晶Ⅳ中乙酰氧基的结合位置可由1H-13C NMR 远程偶合相关谱(HMBC)分析来决定,乙酰氧基同碳氢(H-3)与 C4、C18、C19 及乙酰氧基的羰基碳之间均存在远程偶合,且 H-18、H-19 与连接乙酰氧基的碳(C3)之间亦存在远程偶合,见图1。因此,乙酰氧基连在 C3 位无疑,而且 H-3 与 H-2 之间的偶合常数J=10.4 Hz,与鄂贝酸(fritillebic acid)中 C3 位乙酰氧基 J2,3比较一致,显示它们之间为 1,3-diaxial 关系,即 C3 位乙酰氧基为 equatrial 定向。在Ⅳ的谱图中也可观察到 H-17 与 C13、C16 之间,H-13 与 C17 之间相关峰的存在,所以 -CH2OH 结合在 C16 位无疑。从 DEPT 谱中看出归属于 C16 的碳为季碳(δ 81.7)表明另一个羟基也结合在 C16 位,而且 H-17 与 C17 的化学位移值与文献报道的 ent-kauran-16 β,17-diol,ent-kauran-16 α,17-diol〔5,6〕 的化学位移值比较(见表2),更接近于前者,由此表明 C16-CH2OH 为 β 定向,即 C16 为 R 构型。
, http://www.100md.com
图1 化合物 Ⅰ~Ⅳ的化学结构式
为了进一步确证 Ⅳ 的结构,用5% NaOH-MeOH 液水解晶 Ⅳ,得到晶体 Ⅳa,其理化性质和波谱数据与 fritillebin B 同样水解得到的 ent-kauran-3 β,16 β,17-triol〔4〕 比较完全一致,经与标准品作 Co-mp,Co-TLC 分析,熔点不降低,斑点重叠,得以认定。Ⅳ和Ⅳa的 HMBC 分析见图2。
图2 Ⅳ 和 Ⅳa 的 HMBC 分析
综上所述,晶 Ⅳ 的结构确定为 ent-3 β-acetoxy-karuan-16 β,17-diol,系天然产物中首次发现的新化合物,命名为鄂贝醇(fritillebinol)。
, 百拇医药
本文报道的 Ⅰ、Ⅱ、Ⅲ的 C1,C7及 C14 化学位移值与文献〔5〕记载的不同,此系作者根据 1 H-1H、1H-13C COSY 以及 NOEsy 实验技术对 ent-kauran-16 β,17-diol (Ⅱ) 重新归属订正〔4〕,并根据分子模型分析后整理,此处不再赘述。但非常有趣的是,从鄂北贝母中既分离鉴定了多种聚合二萜酯和缩醛,又分离到聚合二萜前体物鄂贝酸(fritillebic acid)及 ent-kau-15-en-17-ol,ent-kauran-16β,17-diol,ent-kauran-16α,17-diol,ent-3 β-acetoxy-kauran-16β,17-diol 等化合物,那么其聚合二萜是植物体内的原生代谢产物,还是在提取分离过程中聚合而成的人工产物,还有待进一步研究。
1 仪器和材料
, http://www.100md.com
熔点用 X4 型显微熔点仪测定,温度计未校正;旋光用 WZZ-1 自动显示旋光仪测定;红外光谱用 IR-460 型仪测定;核磁共振用 Bruker-400 型测定;质谱用 Autospec 型质谱仪测定;薄层层析用高效硅胶 H 板和柱层硅胶为青岛海洋化工厂生产,展开剂为正己烷-乙酸乙酯系统,显色剂为 5% 茴香醛 -10% 硫酸甲醇溶液。药材购自随州市中药材公司。
2 提取与分离
取鄂北贝母 4.2 kg,用95%乙醇加热提取,得浸膏410 g,浸膏在水与环己烷中多次分配,合并环己烷萃取液,得浸膏 51 g。浸膏经硅胶柱层析,以极性递增的环己烷-乙酸乙酯系统洗脱,TLC 指导合并,得晶Ⅰ231.9 mg,晶Ⅱ450 mg,晶Ⅲ36.4 mg,晶Ⅳ548.9 mg,晶Ⅴ89 mg,晶Ⅵ71.6 mg。
3 鉴定
, 百拇医药 晶Ⅰ:无色针晶,分子式为 C20H32O(HREI-MS m/z: 288.2483,计算值288.2453),mp 134℃~135℃,[α]D -24.8°(c,0.49,CHCl3)。IR(KBr)cm-1: 3 300(OH),1 380,1 364(偕二甲基)。EI-MS m/z: 288(100%),273,255,230,163。1H NMR,13C-NMR(CDCl3)δ: 见表1、2。以上理化常数和波谱数据与文献〔5〕报道的 ent-kau-15-en-17-ol 完全一致。
表2 化合物 Ⅰ~Ⅳ 的 13 CNMR 数据
C位
Ⅰ
, 百拇医药
Ⅱ
Ⅲ
Ⅳ
1
40.5
40.4
40.5
38.3
2
18.7
18.6
18.8
23.5
, 百拇医药
3
44.0
42.0
42.0
80.9
4
33.3
33.2
33.3
37.7
5
48.5
56.2
, 百拇医药
56.3
55.1
6
19.3
20.5
20.1
20.0
7
42.1
42.0
41.9
41.8
8
, 百拇医药
49.0
44.7
43.6
44.4
9
56.0
56.8
57.1
56.4
10
39.6
39.4
39.5
, 百拇医药
38.9
11
18.7
18.3
18.7
18.4
12
25.7
26.3
26.8
26.2
13
41.3
, 百拇医药
45.6
41.0
45.3
14
39.3
37.3
38.4
37.1
15
136.1
53.5
52.9
53.1
, 百拇医药
16
146.1
81.7
79.8
81.7
17
61.3
66.3
70.0
66.1
18
33.6
33.5
, 百拇医药
33.6
28.2
19
21.6
21.5
21.6
16.5
20
17.7
17.7
17.6
17.8
OAc
, http://www.100md.com
171.0
21.2
晶Ⅱ:无色针晶,分子式为 C20H34O2(HREI-MS m/z: 306.2547,计算值: 306.2535),mp 187℃~188℃,[α]D -38.4°(c,0.76,CHCl3)。IR(KBr) cm-1:3 390(OH)。EI-MS m/z: 306,288,275(100%),257,23。1HNMR,13CNMR(CDCl3)δ: 见表1,2。以上理化性质和波谱数据与文献〔5,6〕报道的 ent-kauran-16 β,17-diol 一致,与标准品作混合熔点测定,熔点不下降,薄层层析对比分析,Rf 值相同,斑点重叠。因此,鉴定晶 Ⅱ 为 ent-kauran-16 β,17-diol。
, 百拇医药
晶Ⅲ:无色针晶,分子式为 C20H34O2(HREI-MS m/z: 306.2538,计算值: 306.2535),mp 177℃~178℃,[α]D -43.2°(c,0.12,CHCl3)。IR(KBr) cm-1:3 390(OH)。EI-MS m/z: 306,288,275(100%),257,231。1HNMR,13CNMR(CDCl3)δ: 见表1,2。以上理化性质和波谱数据与文献〔5,6〕报道的 ent-kauran-16 α,17-diol 一致,与标准品作混合熔点测定,熔点不下降,薄层层析对比分析,Rf 值相同,斑点重叠。因此,鉴定晶Ⅲ 为 ent-kauran-16 α,17-diol。
晶Ⅳ:无色针晶,分子式为 C22H36O4(HREI-MS m/z: 364.2612,计算值: (346.2612),mp 163℃~164℃,[α]D -112.5°(c,0.49,CHCl3)。IR(KBr) cm-1:3 420(OH),1 722,1 250(OAc)。EI MS m/z: 364,346(M-H2O)+,333(M-CH2OH)+,286(346-CH3COOH)+,273(333-CH3COOH)+,1HNMR,13CNMR(CDCl3)δ: 见表1,2。晶 Ⅳ 的水解:取晶 Ⅳ 20 mg,加 5% NaOH-MeOH 溶液 10 mL 于水浴上回流 1 h ,常法处理,得晶 Ⅳa,无色针晶(EtOAc),mp 214℃~216℃。分子式为 C20H34O3(HREI-MS m/z: 322.2514,计算值: 322.2512)。IR(KBr)cm-1: 3 400(OH)。EI-MS m/z: 322(M)+,304 [(M-H2O)+,100%],291(M-CH2OH)+,273(M-CH2OH-H2O)+,255。1HNMR,13CNMR(CDCl3)δ: 见表1,2。以上理化性质和波谱数据与 fritillebin B 碱水解后得到的 ent-kauran-3 β,16 β,17-triol〔4〕一致,与标准品作混合熔点测定,熔点不下降,薄层层析对比分析,Rf 值相同,斑点重叠。因此,鉴定晶 Ⅳa 为 ent-kauran-3 β,16 β,17-triol。
, 百拇医药
晶 Ⅴ 和晶 Ⅵ 为聚合二萜,其结构正在鉴定之中。
参 考 文 献
1 吴继洲,等.中草药,1989,20(12):533
2 吴继洲,等.同济医科大学学报,1991,20(2):89
3 吴继洲,等.高等学校化学学报,1992,13(5):658
4 Wu Jizhou,et al. Chem Pharm Bull,1995,43(9):1448
5 Kitajima J,et al.Chem Pharm Bull,1982,30(11):3912
6 吴继洲,等.中草药, 1989,20(6):244
(1998-05-08 收稿), 百拇医药