多舌飞蓬化学成分的研究△
作者:李 波 赵映梅** 林中文 孙汉董
单位:中国科学院昆明植物研究所植物化学开放实验室 650204
关键词:多舌飞蓬;飞蓬属;芹菜素-7-氧-葡萄糖醛酸丁酯
中草药990801 摘 要 从菊科植物多舌飞蓬Erigeron multiradiatus中分得7个化合物,通过光谱分析鉴定为芹菜素-7-氧-葡萄糖醛酸丁酯(Ⅰ)、芹菜素(Ⅱ)、山柰酚(Ⅲ)、山柰酚-7-氧-鼠李糖苷(Ⅳ)、山柰酚-3-氧-葡萄糖-7-氧-鼠李糖苷(Ⅴ)、合欢酸(Ⅵ)、豆甾醇葡萄糖苷(Ⅶ)。其中Ⅰ为一新化合物。
Studies on the Chemical Constituents of Multiradiate Fleabane
(Erigeron multiradiatus)
, 百拇医药
Li Bo, Zhao Yingmei, Lin Zhongwen, et al
(Kunming Institute of Botany, Chinese Academy of Sciences, Kunming 650204)
Abstract Seven compounds were isolated from Erigeron multiradiatus (Wall.) Benth.. They were identified as apigenin-7-O-β-D-glucuronide butyl ester (Ⅰ), apigenin (Ⅱ), kaempferol (Ⅲ), kaempferol-7-O-α-L-rhamnopyranoside (Ⅳ), kaempferol-3-O-β-D-glucopyranoside-7-O-α-L-rhamnopyranoside (Ⅴ), echinocystic acid (Ⅵ), and stigmasterol glucoside (Ⅶ), on the basis of spectral methods. Among them,Ⅰ was a new compound.
, 百拇医药
Key words Erigeron multiradiatus (Wall.) Benth. apigenin-7-O-β-D-glucuronide butyl ester
多舌飞蓬Erigeron multiradiatus(Wall.) Benth.系菊科飞蓬属多年生草本植物。分布于我国西藏、云南、四川等地[1]。民间用作治疗脑偏瘫后遗症药物灯盏花[2]的代用品。有关该植物的化学成分研究未见详细报道。我们从云南丽江产多舌飞蓬全草的丙酮-水提取物中分离得到7个化合物,分别鉴定为芹菜素-7-氧-葡萄糖醛酸丁酯(Ⅰ)、芹菜素(Ⅱ)、山柰酚(Ⅲ)、山柰酚-7-氧-鼠李糖苷(Ⅳ)、山柰酚-3-氧-葡萄糖-7-氧-鼠李糖苷(Ⅴ)、合欢酸(Ⅵ)、豆甾醇葡萄糖苷(Ⅶ)。其中化合物Ⅰ以前未见文献报道。
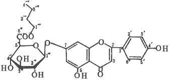
化合物Ⅰ,mp237℃~240℃,由质谱及13CNMR谱推知其分子式为C25H26O11(M+502)。比较Ⅰ和已知化合物芹菜素-7-氧-葡萄糖苷的1H及13CNMR谱可以推知Ⅰ为芹菜素-7-氧-葡萄糖醛酸苷类化合物[3]。由于Ⅰ的光谱中有一组正丁氧基的信号:δH0.69(3 H,t,7.4),1.25(2 H,m),1.50(2 H,m),4.18(2 H,t,6.6);δC13.7,19.2,30.8和65.2。另外Ⅰ的13C NMR谱中葡萄糖醛酸羰基信号的高场位移(δc169.8)以及IR谱中1 729 cm-1的吸收等,表明分子中有一个正丁氧基以葡萄糖醛酸丁酯的形式存在。HMBC谱中观察到的C6″和H-1,C7和H-1″的相关信号也进一步证明了葡萄糖醛酸丁酯的存在以及葡萄糖醛酸丁酯在芹菜素C7位的连结。1HNMR谱中δH6.02(d,J=7.4 Hz,H-1″)的信号表明了葡萄糖醛酸的β-构型。化合物Ⅰ的1H和13CNMR光谱数据表1。
, http://www.100md.com
表1 化合物Ⅰ的1H和13CHMR数据(C5D5N) Position
δC(DEPT)
δH(J)
Position
δC(DEPT)
δH(J)
2
165.0(C)
1″
101.9(CH)
6.02(1H,d,7.4)
, 百拇医药
3
104.1(CH)
6.89(1H,s)
2″
74.5(CH)
4.42(1H,m)
4
182.9(C)
3″
77.7(CH)
4.47(1H,m)
5
, 百拇医药 162.9(C)
4″
72.8(CH)
4.63(1H,t,9.3)
6
100.7(CH)
6.86(1H,d,2.1)
5″
77.4(CH)
4.91(1H,d,9.7)
7
163.7(C)
, 百拇医药
6″
169.8(C)
8
95.4(CH)
7.12(1H,d,2.0)
1
65.2(CH2)
4.18(1H,t,6.6)
9
157.9(C)
2
30.8(CH2)
, 百拇医药
1.50(2H,m)
10
106.8(C)
3
19.2(CH2)
1.25(2H,m)
1′
122.0(C)
4
13.7(CH3)
0.69(3H,t,7.4)
2′,6′
, 百拇医药
129.0(CH)
7.83(2H,d,8.8)
3′,5′
116.9(CH)
7.20(2H,d,8.5)
4′
162.7(C)
以上光谱数据根据HH-COSY,CH-COSY,及HMBC谱进行全指定。
根据以上光谱数据分析推断化合物Ⅰ的结构式见图1。
图1 化合物Ⅰ的化学结构式
, 百拇医药
1 仪器
熔点用XRC-1型显微熔点测定仪测定,温度未校正;红外光谱用岛津IR-435型红外光度计测定;核磁共振谱用Bruker AM-400及DRX-500型波谱仪测定,TMS为内标;质谱用VG Autospec-3000型质谱仪测定;硅胶薄板及柱层析硅胶为青岛海洋化工厂出品。
2 提取和分离
多舌飞蓬干燥全草2.6 kg粉碎后用丙酮-水(6∶4)浸提4次,滤液合并,滤渣继续用水回流提取3 h,滤液合并,回收丙酮,浓缩物用石油醚萃取除去脂溶性杂质后继续用EtOAc萃取,蒸干溶剂后得EtOAc部分51.5 g。残余物用n-BuOH萃取得n-BuOH部分58.5 g。EtOAc部分上MCI gel CHP20P柱脱色,用甲醇洗脱得甲醇部分30.5 g。上硅胶柱层析,用MeOH-CHCl3洗脱得芹菜素(31 mg,Ⅱ)、山柰酚(8 mg,Ⅲ)、山柰酚-7-氧-鼠李糖苷(344 mg,Ⅳ)及豆甾醇葡萄糖苷(62 mg,Ⅶ)。n-BuOH部分硅胶柱层析,用MeOH-CHCI3洗脱得芹菜素-7-氧-葡萄糖醛酸丁酯(105 mg,Ⅰ)、山柰酚-3-氧-葡萄糖-7-氧-鼠李糖苷(25 mg,Ⅴ)及合欢酸(95 mg,Ⅵ)。
, 百拇医药
3 鉴定
化合物Ⅰ:淡黄色粉末状结晶,mp237℃~240℃(MeOH),C25H26O11,FABMS m/z:593(M+Gly-H)+,501(M-H)+,269(M-GluCA butyl ester-H)+。lRνmax(KBr)cm-1:3 382,2 963,1 729,1 659,1 603,1 494,1 340,1 244,1 177,1 067,835,622。1H和13C NMR数据见表1。
化合物Ⅱ:土黄色粉末状结晶,mp 319 ℃~321℃(MeOH),C15H10O5,FABMS m/z:361(M+Gly-H)+,269(M-H)+,1H和13 CNMR数据和文献报道芹菜素的一致[3]。
, http://www.100md.com
化合物Ⅲ:橙黄色针晶,mp 267℃~270℃(MeOH),C15H10O6,FABMS m/z:377(M+Gly-H)+,285(M-H)+,1H和13CNMR数据和文献报道山柰酚的一致[3]。
化合物Ⅳ:黄色针晶,mp 229℃~232℃(MeOH),C21H20O10,FABMS m/z:523(M+Gly-H)+,431(M-H)+,285(M-Rha-H)+。1H和13CNMR数据和文献报道山柰酚-7-氧-鼠李糖苷的一致[4]。
化合物Ⅴ:淡黄色针晶,mp 259℃~261℃(MeOH),C27H30O15,FABMS m/z:594(M)+。1H和13CNMR数据和文献报道山柰酚-3-氧-葡萄糖-7-氧-鼠李糖苷的一致[3]。
, 百拇医药
化合物Ⅵ:白色针晶,mp 270℃~273℃(MeOH-CHCl3),C30H48O4,FABMS m/z:471(M-H)+。1H和13C NMR数据和文献报道合欢酸的一致[5]。
化合物Ⅶ:无色块状结晶,mp272℃~274℃(MeOH),经薄层层析对照和已知标准品豆甾醇葡萄糖苷一致。
参考文献
1 中国植物志编委会.中国植物志.第七十四卷.北京:科学出版社,1985:296
2 郭济贤,等.中成药研究,1987,8:30
3 Markham K R,et al.Tetrahedron,1978,34:1389
4 Farkas L,et al.Phytochemistry,1976,15:215
5 Akai E,et al.Chem Pharm, Bull 1985,33(9):3715
收稿日期:1998-11-18, 百拇医药(李 波 赵映梅** 林中文 孙汉董)
单位:中国科学院昆明植物研究所植物化学开放实验室 650204
关键词:多舌飞蓬;飞蓬属;芹菜素-7-氧-葡萄糖醛酸丁酯
中草药990801 摘 要 从菊科植物多舌飞蓬Erigeron multiradiatus中分得7个化合物,通过光谱分析鉴定为芹菜素-7-氧-葡萄糖醛酸丁酯(Ⅰ)、芹菜素(Ⅱ)、山柰酚(Ⅲ)、山柰酚-7-氧-鼠李糖苷(Ⅳ)、山柰酚-3-氧-葡萄糖-7-氧-鼠李糖苷(Ⅴ)、合欢酸(Ⅵ)、豆甾醇葡萄糖苷(Ⅶ)。其中Ⅰ为一新化合物。
Studies on the Chemical Constituents of Multiradiate Fleabane
(Erigeron multiradiatus)
, 百拇医药
Li Bo, Zhao Yingmei, Lin Zhongwen, et al
(Kunming Institute of Botany, Chinese Academy of Sciences, Kunming 650204)
Abstract Seven compounds were isolated from Erigeron multiradiatus (Wall.) Benth.. They were identified as apigenin-7-O-β-D-glucuronide butyl ester (Ⅰ), apigenin (Ⅱ), kaempferol (Ⅲ), kaempferol-7-O-α-L-rhamnopyranoside (Ⅳ), kaempferol-3-O-β-D-glucopyranoside-7-O-α-L-rhamnopyranoside (Ⅴ), echinocystic acid (Ⅵ), and stigmasterol glucoside (Ⅶ), on the basis of spectral methods. Among them,Ⅰ was a new compound.
, 百拇医药
Key words Erigeron multiradiatus (Wall.) Benth. apigenin-7-O-β-D-glucuronide butyl ester
多舌飞蓬Erigeron multiradiatus(Wall.) Benth.系菊科飞蓬属多年生草本植物。分布于我国西藏、云南、四川等地[1]。民间用作治疗脑偏瘫后遗症药物灯盏花[2]的代用品。有关该植物的化学成分研究未见详细报道。我们从云南丽江产多舌飞蓬全草的丙酮-水提取物中分离得到7个化合物,分别鉴定为芹菜素-7-氧-葡萄糖醛酸丁酯(Ⅰ)、芹菜素(Ⅱ)、山柰酚(Ⅲ)、山柰酚-7-氧-鼠李糖苷(Ⅳ)、山柰酚-3-氧-葡萄糖-7-氧-鼠李糖苷(Ⅴ)、合欢酸(Ⅵ)、豆甾醇葡萄糖苷(Ⅶ)。其中化合物Ⅰ以前未见文献报道。
化合物Ⅰ,mp237℃~240℃,由质谱及13CNMR谱推知其分子式为C25H26O11(M+502)。比较Ⅰ和已知化合物芹菜素-7-氧-葡萄糖苷的1H及13CNMR谱可以推知Ⅰ为芹菜素-7-氧-葡萄糖醛酸苷类化合物[3]。由于Ⅰ的光谱中有一组正丁氧基的信号:δH0.69(3 H,t,7.4),1.25(2 H,m),1.50(2 H,m),4.18(2 H,t,6.6);δC13.7,19.2,30.8和65.2。另外Ⅰ的13C NMR谱中葡萄糖醛酸羰基信号的高场位移(δc169.8)以及IR谱中1 729 cm-1的吸收等,表明分子中有一个正丁氧基以葡萄糖醛酸丁酯的形式存在。HMBC谱中观察到的C6″和H-1,C7和H-1″的相关信号也进一步证明了葡萄糖醛酸丁酯的存在以及葡萄糖醛酸丁酯在芹菜素C7位的连结。1HNMR谱中δH6.02(d,J=7.4 Hz,H-1″)的信号表明了葡萄糖醛酸的β-构型。化合物Ⅰ的1H和13CNMR光谱数据表1。
, http://www.100md.com
表1 化合物Ⅰ的1H和13CHMR数据(C5D5N) Position
δC(DEPT)
δH(J)
Position
δC(DEPT)
δH(J)
2
165.0(C)
1″
101.9(CH)
6.02(1H,d,7.4)
, 百拇医药
3
104.1(CH)
6.89(1H,s)
2″
74.5(CH)
4.42(1H,m)
4
182.9(C)
3″
77.7(CH)
4.47(1H,m)
5
, 百拇医药 162.9(C)
4″
72.8(CH)
4.63(1H,t,9.3)
6
100.7(CH)
6.86(1H,d,2.1)
5″
77.4(CH)
4.91(1H,d,9.7)
7
163.7(C)
, 百拇医药
6″
169.8(C)
8
95.4(CH)
7.12(1H,d,2.0)
1
65.2(CH2)
4.18(1H,t,6.6)
9
157.9(C)
2
30.8(CH2)
, 百拇医药
1.50(2H,m)
10
106.8(C)
3
19.2(CH2)
1.25(2H,m)
1′
122.0(C)
4
13.7(CH3)
0.69(3H,t,7.4)
2′,6′
, 百拇医药
129.0(CH)
7.83(2H,d,8.8)
3′,5′
116.9(CH)
7.20(2H,d,8.5)
4′
162.7(C)
以上光谱数据根据HH-COSY,CH-COSY,及HMBC谱进行全指定。
根据以上光谱数据分析推断化合物Ⅰ的结构式见图1。
图1 化合物Ⅰ的化学结构式
, 百拇医药
1 仪器
熔点用XRC-1型显微熔点测定仪测定,温度未校正;红外光谱用岛津IR-435型红外光度计测定;核磁共振谱用Bruker AM-400及DRX-500型波谱仪测定,TMS为内标;质谱用VG Autospec-3000型质谱仪测定;硅胶薄板及柱层析硅胶为青岛海洋化工厂出品。
2 提取和分离
多舌飞蓬干燥全草2.6 kg粉碎后用丙酮-水(6∶4)浸提4次,滤液合并,滤渣继续用水回流提取3 h,滤液合并,回收丙酮,浓缩物用石油醚萃取除去脂溶性杂质后继续用EtOAc萃取,蒸干溶剂后得EtOAc部分51.5 g。残余物用n-BuOH萃取得n-BuOH部分58.5 g。EtOAc部分上MCI gel CHP20P柱脱色,用甲醇洗脱得甲醇部分30.5 g。上硅胶柱层析,用MeOH-CHCl3洗脱得芹菜素(31 mg,Ⅱ)、山柰酚(8 mg,Ⅲ)、山柰酚-7-氧-鼠李糖苷(344 mg,Ⅳ)及豆甾醇葡萄糖苷(62 mg,Ⅶ)。n-BuOH部分硅胶柱层析,用MeOH-CHCI3洗脱得芹菜素-7-氧-葡萄糖醛酸丁酯(105 mg,Ⅰ)、山柰酚-3-氧-葡萄糖-7-氧-鼠李糖苷(25 mg,Ⅴ)及合欢酸(95 mg,Ⅵ)。
, 百拇医药
3 鉴定
化合物Ⅰ:淡黄色粉末状结晶,mp237℃~240℃(MeOH),C25H26O11,FABMS m/z:593(M+Gly-H)+,501(M-H)+,269(M-GluCA butyl ester-H)+。lRνmax(KBr)cm-1:3 382,2 963,1 729,1 659,1 603,1 494,1 340,1 244,1 177,1 067,835,622。1H和13C NMR数据见表1。
化合物Ⅱ:土黄色粉末状结晶,mp 319 ℃~321℃(MeOH),C15H10O5,FABMS m/z:361(M+Gly-H)+,269(M-H)+,1H和13 CNMR数据和文献报道芹菜素的一致[3]。
, http://www.100md.com
化合物Ⅲ:橙黄色针晶,mp 267℃~270℃(MeOH),C15H10O6,FABMS m/z:377(M+Gly-H)+,285(M-H)+,1H和13CNMR数据和文献报道山柰酚的一致[3]。
化合物Ⅳ:黄色针晶,mp 229℃~232℃(MeOH),C21H20O10,FABMS m/z:523(M+Gly-H)+,431(M-H)+,285(M-Rha-H)+。1H和13CNMR数据和文献报道山柰酚-7-氧-鼠李糖苷的一致[4]。
化合物Ⅴ:淡黄色针晶,mp 259℃~261℃(MeOH),C27H30O15,FABMS m/z:594(M)+。1H和13CNMR数据和文献报道山柰酚-3-氧-葡萄糖-7-氧-鼠李糖苷的一致[3]。
, 百拇医药
化合物Ⅵ:白色针晶,mp 270℃~273℃(MeOH-CHCl3),C30H48O4,FABMS m/z:471(M-H)+。1H和13C NMR数据和文献报道合欢酸的一致[5]。
化合物Ⅶ:无色块状结晶,mp272℃~274℃(MeOH),经薄层层析对照和已知标准品豆甾醇葡萄糖苷一致。
参考文献
1 中国植物志编委会.中国植物志.第七十四卷.北京:科学出版社,1985:296
2 郭济贤,等.中成药研究,1987,8:30
3 Markham K R,et al.Tetrahedron,1978,34:1389
4 Farkas L,et al.Phytochemistry,1976,15:215
5 Akai E,et al.Chem Pharm, Bull 1985,33(9):3715
收稿日期:1998-11-18, 百拇医药(李 波 赵映梅** 林中文 孙汉董)