天然紫杉醇分离难点研究
作者:薛迎春* 陈 冲 周 佳
单位:西安天诚医药生物工程有限公司 710075
关键词:紫杉醇;分离;溴加成
中草药990904 摘 要 从红豆杉树皮中提取分离紫杉醇,采用1%柠檬酸渗漉,柱层析分离,最后用溴加成分离紫杉醇和cephalomannin,可容易得到高纯度的紫杉醇。
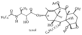
紫杉醇(paclitaxel)〔1〕是从红豆杉植物树皮和树叶中提取的二萜类化合物,它是当今世界公认的广谱性最好,活性最强的抗癌药物。有关它的提取分离已有较多报道〔2~6〕,多采用乙醇回流提取,柱层析分离,再经过制备高效液相色谱,才能得到高纯度paclitaxel。在天然paclitaxel的分离过程中,难点是如何快速有效地分离paclitaxel(t)和cephalomannin(c),它们的化学结构式见图1。

, http://www.100md.com
图1 cephalomannin和paclitaxel的化学结构式
可看出,它们结构非常相似,只有在C13侧链上有微小差异在薄层板上几乎同一斑点,这给它们分离带来很大困难。c和t的部分侧链结构见图2。
图2 t和c的部分侧链结构
在c的侧链结构中,由于C5'-N4'的酰胺影响,C7'-C6'的双键π电子云向C6'乃至C5'方向偏移有利于溴的进攻,而t的此位置系一苯环,相对于c其电子云密度比较均匀而稳定,利用这一差异,我们采用溴加成的办法,改变c的侧链结构,使两者极性有了差异,可采用普通的硅胶柱层析进行分离。
, 百拇医药
1 仪器和材料
FABMS用JMS-S×102质谱仪;EIMS用ZAB-2F质谱仪;IR用60SXFIR仪器(美国Nicoalet公司);1HNMR用Fx-90Q型仪器(日本GEC公司);HPLC用Waters 600-E型仪;熔点用Koflet熔点仪(温度计未校正);旋光用WZZ-1型自动指示旋光仪(上海物理光学仪器厂)。薄层层析用硅胶、柱层析用硅胶均用青岛海洋化工厂产品。其它试剂均用分析纯试剂。标准品paclitaxel(t)和cephalomannin(c)由Sigma公司提供。
2 实验
2.1 加成样品的准备:将树皮用1%柠檬酸渗漉,提取所得总萜经过2次柱层析,得到薄层单一斑点,经HPLC检测含量可达40%~50%的粗品。
2.2 溴加成:加成过程的要点是溶剂的选择,溴量的选择,润柱溶剂的选择,反应温度、时间的控制,分别作了以下实验:
, 百拇医药
2.2.1 溴量选择:称取2个30g硅胶(100~120目),用CHCl3湿法上柱,称取2个2.0g待加成样品溶于少量CHCl3中,分别移取0.1mL和0.15mL溴,在搅拌条件下滴入样品液中,搅拌后倾入柱顶,结果见表1。
表1 溴加成过程的溴量选择
硅胶量
(g)
样品量
(g)
溴用量
(mL)
HPLC
结果(%)
, 百拇医药
A
30
2.0
0.1
3.9
B
30
2.0
0.15
0.1
以上结果表明溴量要过量才可以保证一次除去C。
2.2.2 湿法上柱溶剂选择:同上的实验,A柱选用CHCl3,B柱选用CCl4。上样量相同,结果表明用CHCl3分离效果不佳,用CCl4分离效果很好。
, 百拇医药
2.2.3 溶解样品的溶剂、用量选择:我们对溶样的溶剂进行选择,经过分析,应选择极性小的试剂,结果见表2。表2 溶样的溶剂及用量的选择
硅胶量
(g)
样品量
(g)
溶剂及用
量(mL)
HPLC
结果(%)
A
60
4.0
, 百拇医药
CCl4 5
6.0
B
60
4.0
CHCl3 5
0.1
C
60
4.0
CCl4 1
有凝胶出现
, 百拇医药
由于CCl4对t的溶解度很小,所以应选择少量的CHCl3溶解。
2.2.4 溶溴溶剂的选择:将溴溶于极性小的溶剂中,有利于加成反应进行,一般选择CH-Cl3或CCl4,结果见表3。表3 溶溴溶剂的选择
硅胶量
(g)
样品量
(g)
溶剂及
用量(mL)
结果
A
, 百拇医药
60
4.0
CHCl31
有放热反应
B
60
4.0
CCl40.5
效果很好
C
60
4.0
CCl41
, http://www.100md.com
有凝胶出现
2.2.5 反应温度和时间选择:夏天做此实验时,经常在溶样烧杯中有凝胶出现,有放热现象,选择以下不同反应温度和反应时间,结果见表4。表4 反应温度和时间的选择
样品量
(g)
CHCl3
量(ml)
CCl4
量(mL)
溴量
(mL)
温度
, 百拇医药
(℃)
时间
(min)
结果
A
4.0
5
0.5
0.3
30
1
较多凝胶
B
4.0
, 百拇医药
5
0.5
0.3
10
5
较多凝胶
C
4.0
5
0.5
0.3
0
5
较少凝胶
, http://www.100md.com
D
4.0
5
0.5
0.3
0
1
效果好
根据以上实验结果,我们确认最佳条件,放大至上样量为10g,具体操作如下:称取150g 100~120目硅胶,用CCl4湿法上柱,走平。A:称取10g等加成样溶于25mL CHCl3中,使之溶解;B:取0.75mL溴溶于1.3mL CCl4中。将B滴入A中,搅拌,迅速加入柱顶,用CCl4洗脱至液无色,然后用CHCl3洗脱,至浅黄色带不再移动时,加大极性到CHCl3-MeOH=100∶0.5,等较纯t流分流下时,加大至CHCl3-MeOH=100∶1,收集合并t流分,真空浓缩得固体5.5 g,再用乙醇-水重结晶,得99.21% paclitaxel。
, http://www.100md.com
3 鉴定
paclitaxel:白色结晶,mp213℃~215℃。IRcm-1:3 460,1 730,1 720,1 710, 1650。FABMSm/z:854, 794, 569。 EIMS m/z:550,490,430,404,386,326,308,222, 210,193,165,147,122,105,91,77。1HNMRδ:1.16(3H,s), 1.25(3H,s), 1.69(3H, s), 1.81(3H, d,J=1.1), 2.24, 2.39(各3H,s), 1.86(1H,m), 2.33(2H,m), 2.55(1H, ddd, J=6.6, 9.7, 14.9), 3.80(1H, d,J=7.0),4.20, 4.30(各1H, d,J=8.5), 6.24(1H, brt, J=8.3), 6.27(1H, s), 6.96(1H, d,J=8.8), 7.40(5H, m), 7.61(2 H, t,J=7), 7.74(2H, d,J=7), 8.14(2H, d,J=7)。
, 百拇医药
4 讨论
溴加成的办法分离c,t同制备色谱法相比,可形成规模化生产,同OSO4氧化法〔7〕相比,具有安全化,成本低,操作简单易行等优点。实验的关键处溴加成控温<20 ℃,反应时间不超过5 min。
致谢:旋光、熔点、HPLC、UV均由本公司检测中心检测;IR,MS,1HNMR由204所代测。
参考文献
1 Wani M C, et al. J Am Chem Soc, 1971, 93:2325
2 Harrey S D, et al. J Chromatogr, 1991, 587:300
, 百拇医药 3 Witherup K M, et al. J Liq Chromatogr, 1989, 12:2117
4 Shiff P B, et al. Nature (London), 1979, 277:665
5 陈未名,等.药学学报,1991,26(10):747
6 Stasko M W, et al. J Liq Chromatogr, 1989, 12(11):2133
7 David GI, et al. J Nat Prod, 1992, 55(2):259
收稿日期;1998-09-22, 百拇医药(薛迎春* 陈 冲 周 佳)
单位:西安天诚医药生物工程有限公司 710075
关键词:紫杉醇;分离;溴加成
中草药990904 摘 要 从红豆杉树皮中提取分离紫杉醇,采用1%柠檬酸渗漉,柱层析分离,最后用溴加成分离紫杉醇和cephalomannin,可容易得到高纯度的紫杉醇。
紫杉醇(paclitaxel)〔1〕是从红豆杉植物树皮和树叶中提取的二萜类化合物,它是当今世界公认的广谱性最好,活性最强的抗癌药物。有关它的提取分离已有较多报道〔2~6〕,多采用乙醇回流提取,柱层析分离,再经过制备高效液相色谱,才能得到高纯度paclitaxel。在天然paclitaxel的分离过程中,难点是如何快速有效地分离paclitaxel(t)和cephalomannin(c),它们的化学结构式见图1。
, http://www.100md.com
图1 cephalomannin和paclitaxel的化学结构式
可看出,它们结构非常相似,只有在C13侧链上有微小差异在薄层板上几乎同一斑点,这给它们分离带来很大困难。c和t的部分侧链结构见图2。
图2 t和c的部分侧链结构
在c的侧链结构中,由于C5'-N4'的酰胺影响,C7'-C6'的双键π电子云向C6'乃至C5'方向偏移有利于溴的进攻,而t的此位置系一苯环,相对于c其电子云密度比较均匀而稳定,利用这一差异,我们采用溴加成的办法,改变c的侧链结构,使两者极性有了差异,可采用普通的硅胶柱层析进行分离。
, 百拇医药
1 仪器和材料
FABMS用JMS-S×102质谱仪;EIMS用ZAB-2F质谱仪;IR用60SXFIR仪器(美国Nicoalet公司);1HNMR用Fx-90Q型仪器(日本GEC公司);HPLC用Waters 600-E型仪;熔点用Koflet熔点仪(温度计未校正);旋光用WZZ-1型自动指示旋光仪(上海物理光学仪器厂)。薄层层析用硅胶、柱层析用硅胶均用青岛海洋化工厂产品。其它试剂均用分析纯试剂。标准品paclitaxel(t)和cephalomannin(c)由Sigma公司提供。
2 实验
2.1 加成样品的准备:将树皮用1%柠檬酸渗漉,提取所得总萜经过2次柱层析,得到薄层单一斑点,经HPLC检测含量可达40%~50%的粗品。
2.2 溴加成:加成过程的要点是溶剂的选择,溴量的选择,润柱溶剂的选择,反应温度、时间的控制,分别作了以下实验:
, 百拇医药
2.2.1 溴量选择:称取2个30g硅胶(100~120目),用CHCl3湿法上柱,称取2个2.0g待加成样品溶于少量CHCl3中,分别移取0.1mL和0.15mL溴,在搅拌条件下滴入样品液中,搅拌后倾入柱顶,结果见表1。
表1 溴加成过程的溴量选择
硅胶量
(g)
样品量
(g)
溴用量
(mL)
HPLC
结果(%)
, 百拇医药
A
30
2.0
0.1
3.9
B
30
2.0
0.15
0.1
以上结果表明溴量要过量才可以保证一次除去C。
2.2.2 湿法上柱溶剂选择:同上的实验,A柱选用CHCl3,B柱选用CCl4。上样量相同,结果表明用CHCl3分离效果不佳,用CCl4分离效果很好。
, 百拇医药
2.2.3 溶解样品的溶剂、用量选择:我们对溶样的溶剂进行选择,经过分析,应选择极性小的试剂,结果见表2。表2 溶样的溶剂及用量的选择
硅胶量
(g)
样品量
(g)
溶剂及用
量(mL)
HPLC
结果(%)
A
60
4.0
, 百拇医药
CCl4 5
6.0
B
60
4.0
CHCl3 5
0.1
C
60
4.0
CCl4 1
有凝胶出现
, 百拇医药
由于CCl4对t的溶解度很小,所以应选择少量的CHCl3溶解。
2.2.4 溶溴溶剂的选择:将溴溶于极性小的溶剂中,有利于加成反应进行,一般选择CH-Cl3或CCl4,结果见表3。表3 溶溴溶剂的选择
硅胶量
(g)
样品量
(g)
溶剂及
用量(mL)
结果
A
, 百拇医药
60
4.0
CHCl31
有放热反应
B
60
4.0
CCl40.5
效果很好
C
60
4.0
CCl41
, http://www.100md.com
有凝胶出现
2.2.5 反应温度和时间选择:夏天做此实验时,经常在溶样烧杯中有凝胶出现,有放热现象,选择以下不同反应温度和反应时间,结果见表4。表4 反应温度和时间的选择
样品量
(g)
CHCl3
量(ml)
CCl4
量(mL)
溴量
(mL)
温度
, 百拇医药
(℃)
时间
(min)
结果
A
4.0
5
0.5
0.3
30
1
较多凝胶
B
4.0
, 百拇医药
5
0.5
0.3
10
5
较多凝胶
C
4.0
5
0.5
0.3
0
5
较少凝胶
, http://www.100md.com
D
4.0
5
0.5
0.3
0
1
效果好
根据以上实验结果,我们确认最佳条件,放大至上样量为10g,具体操作如下:称取150g 100~120目硅胶,用CCl4湿法上柱,走平。A:称取10g等加成样溶于25mL CHCl3中,使之溶解;B:取0.75mL溴溶于1.3mL CCl4中。将B滴入A中,搅拌,迅速加入柱顶,用CCl4洗脱至液无色,然后用CHCl3洗脱,至浅黄色带不再移动时,加大极性到CHCl3-MeOH=100∶0.5,等较纯t流分流下时,加大至CHCl3-MeOH=100∶1,收集合并t流分,真空浓缩得固体5.5 g,再用乙醇-水重结晶,得99.21% paclitaxel。
, http://www.100md.com
3 鉴定
paclitaxel:白色结晶,mp213℃~215℃。IRcm-1:3 460,1 730,1 720,1 710, 1650。FABMSm/z:854, 794, 569。 EIMS m/z:550,490,430,404,386,326,308,222, 210,193,165,147,122,105,91,77。1HNMRδ:1.16(3H,s), 1.25(3H,s), 1.69(3H, s), 1.81(3H, d,J=1.1), 2.24, 2.39(各3H,s), 1.86(1H,m), 2.33(2H,m), 2.55(1H, ddd, J=6.6, 9.7, 14.9), 3.80(1H, d,J=7.0),4.20, 4.30(各1H, d,J=8.5), 6.24(1H, brt, J=8.3), 6.27(1H, s), 6.96(1H, d,J=8.8), 7.40(5H, m), 7.61(2 H, t,J=7), 7.74(2H, d,J=7), 8.14(2H, d,J=7)。
, 百拇医药
4 讨论
溴加成的办法分离c,t同制备色谱法相比,可形成规模化生产,同OSO4氧化法〔7〕相比,具有安全化,成本低,操作简单易行等优点。实验的关键处溴加成控温<20 ℃,反应时间不超过5 min。
致谢:旋光、熔点、HPLC、UV均由本公司检测中心检测;IR,MS,1HNMR由204所代测。
参考文献
1 Wani M C, et al. J Am Chem Soc, 1971, 93:2325
2 Harrey S D, et al. J Chromatogr, 1991, 587:300
, 百拇医药 3 Witherup K M, et al. J Liq Chromatogr, 1989, 12:2117
4 Shiff P B, et al. Nature (London), 1979, 277:665
5 陈未名,等.药学学报,1991,26(10):747
6 Stasko M W, et al. J Liq Chromatogr, 1989, 12(11):2133
7 David GI, et al. J Nat Prod, 1992, 55(2):259
收稿日期;1998-09-22, 百拇医药(薛迎春* 陈 冲 周 佳)