桃金娘中的黄酮苷和一种逆没食子丹宁△
作者:候爱君* 刘延泽** 吴养洁
单位:候爱君* 刘延泽** 河南中医学院 郑州 450003;吴养洁 郑州大学化学系
关键词:桃金娘;黄酮苷;可水解丹宁
中草药990903 摘 要 从桃金娘Rhodomyrtus tomentosa(Ait.) Hassk. 叶中分得3种黄酮苷和1种可水解丹宁,经化学和波谱分析,确定它们的结构分别为杨梅素-3-O-α-L-鼠李糖苷(myricetin-3-O-α-L-rhamnoside, Ⅰ), 杨梅素-3-O-α-L-呋喃阿拉伯糖苷(myricetin-3-O-α-L-furanoarabinoside, Ⅱ), 杨梅素-3-O-β-D-葡萄糖苷(myricetin-3-O-β-D-glucoside,Ⅲ)和2,3-六羟基联苷基-D-葡萄糖(2,3-hexahydroxydiphenyl-D-glucose,Ⅳ),这些成分均为首次从该植物中得到。
, http://www.100md.com
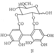
桃金娘 Rhodomyrtus tomentosa(Ait.) Hassk. 为桃金娘科药用植物,主要分布在我国南方各省,其叶、根和果实分别入药,但其化学成分国内外尚未见报道。前文〔1〕我们曾报道其中4种逆没食子丹宁的分离与结构,现又从其干燥叶分离得到3种黄酮苷和一种逆没食子丹宁,经化学和波谱分析,确定其结构分别为杨梅素-3-O-α-L-鼠李糖苷(myricetin-3-O-α-L-rhamnoside,Ⅰ),杨梅素-3-O-α-L-furanoarabinoside,Ⅱ),杨梅素-3-O-β-D-葡萄糖苷(myricetin-3-O-β-D-glucoside,Ⅲ)和一种逆没食子丹宁2,3-六羟基联苯基-D-葡萄糖(2,3-hexahydroxydiphenl-D-glucose,Ⅳ)。化合物Ⅳ首次是作为结构证明过程中的人工酶解产物〔2〕进行报道的,后又从山茶Camellia japonica〔3〕和帝汶岛白桉Eucalyptus alba Reinw〔4〕中发现,但均未见其数据报道,我们详细证明了其结构。这些成分均为首次从该植物中得到。化合物Ⅰ~Ⅳ的化学结构见图1。

, 百拇医药
图1 化合物Ⅰ~Ⅳ的化学结构式
1 材料和仪器
柱层析所用吸附剂:Diaion HP-20(日本 Tsk), Toyopearl HW-40(C)和(F)(日本 Tosoh Co), MCl gel CHP-20P(Mitsub-ishi)。核磁共振分别用Bruker 80 MHz,300 MHz和400 MHz核磁共振仪测定,溶剂为Me2CO-d6。正相HPLC用Shimadzu LC-6A型液相色谱仪,Column:Zorbax SIL(6mm× 150mm), Solvent: Hexane-MeOH-THF-HCOOH 55∶33∶11∶1+(COOH)2450 mg/L, Flow rate:2.5 mL/min, Temperature: room temperature, Wavelength: 280 nm。TLC用吸附剂为青岛海洋化工厂生产的TLC用硅胶G。
, http://www.100md.com
桃金娘于1995年8月由广西壮族自治区药检所黄燮才教授提供,并鉴定为桃金娘科植物桃金娘R. tomentosa。
2 提珖和分离
桃金娘干燥叶2kg,用70%Me2CO室温组织破碎提取,减压浓缩得含干燥物130g的浓缩液,依次用Et2O,EtOAc及n-BuOH萃取。将EtOAc部分的干燥粉末10.8 g进行Toyopearl HW-40(C)柱层析,依次用不同浓度MeOH及70%Me2CO进行洗脱,按18mL/fr.收集洗脱液,TLC检识合并,分别真空浓缩至干燥粉末,其中fr.246~261析出黄色结晶(500mg),经TLC检识为单一斑点,即化合物Ⅰ。将C-1 fr. 262~279加热溶解于20%MeOH中,进行MCI gel CHP-20P柱层析,依次用不同浓度MeOH及70%Me2CO洗脱,其中50%MeOH部分的fr.149~169(20mg)为单一斑点,即化合物Ⅱ。Fr.181~202(15mg)为单一斑点,即化合物Ⅲ。
, 百拇医药
将n-BuOH部分干燥粉末13g,用少量20%MeOH溶解,同上进行Toyopearl HW-40(C)柱层析,其中fr.104~128(300mg)为单一斑点,再用MCI gel CHP-20P柱进行精制得化合物Ⅳ(250 mg)。
3 鉴定
化合物Ⅰ:为鲜黄色结晶,易溶于热水、MeOH和Me2CO。遇FeCl3试剂显绿色,HCl-Mg反应显红色,锆-枸橼酸反应黄色减退,加水稀释后渐退至无色,说明为黄酮类化合物,并且无游离的3-OH。1HNMR谱中芳香区域有黄酮类化合物H-6、H-8的信号及B环上3',4',5'-三取代出现的双氢单峰,而无H-3,故说明为5,7,3',4',5'-五羟基取代的黄酮醇类化合物。在δ5.49处有一偶合常数为1.6 Hz的二重峰为鼠李糖上H-1的特征,δ0.93处的偶合常数为5.6 Hz的二重峰鼠李糖上甲基的特征。故确定该化合物为杨梅苷(myricetrin,Ⅰ),即杨梅素-3-O-α-L-鼠李糖苷。负离子FAB-MS给出分子离子463[M+-1],与上述推测一致。
, http://www.100md.com
化合物Ⅱ:为鲜黄色无定形粉末,与化合物Ⅰ具有相同的理化性质。1HNMR谱中芳香区域δ7.27为一双氢单峰,为黄酮类化合物B环上3,4,5-三取代的特征,δ6.52(1 H, d,J=2.0 Hz)和6.26(1 H, d,J=2.0 Hz)分别为A环上H-8与H-6的特征,推测此化合物为杨梅素-3-O-糖苷。在δ3.50~5.75范围内出现了糖上6个氢的信号,故该糖为五碳糖,其中糖上H-1在5.49处为一单峰,δ4.35,4.06,3.89处各有1个氢的信号,δ3.54处为2个氢的信号,与阿拉伯糖的信号相似。13CNMR谱中出现20个C的吸收,除去黄酮母核的15个C,还有5个C的吸收峰,进一步证明分子中的糖为五碳糖。与参考文献〔4〕中阿拉伯糖苷的13CNMR谱数据(Table l)比较,确定该糖为α-L-呋喃阿拉伯糖。对样品进行酸水解,将糖部分与阿拉伯糖、半乳糖、葡萄糖及鼠李糖进行纸层析对照,结果表明,样品斑点与阿拉伯糖标准品具有相同的Rf值,故确定该化合物为杨梅素-3-O-L-呋喃阿拉伯糖苷(Ⅱ)。负离子FAB-MS给出分子离子449[M+-1],与上述推测一致。
, http://www.100md.com
表1 化合物Ⅱ及其相关化合物
阿拉伯糖的13CNMR数据 C位
化合
物Ⅲ
α-甲基-L
(或-D)-吡喃
阿拉伯糖苷
β-甲基-L
(或-D)-吡喃
阿拉伯糖苷
α-甲基-L-
吡喃
, 百拇医药
阿拉伯糖苷
β-甲基-L-
吡喃
阿拉伯糖苷
1
108.60
105.1
101.0
109.5
103.3
2
81.89
71.8
, 百拇医药
69.4
82.0
76.3
3
78.09
73.4
69.9
77.9
77.9
4
88.23
69.4
70.0
, 百拇医药
84.8
83.1
5
61.84
67.3
63.8
62.5
64.3
化合物Ⅲ与化合物Ⅱ和Ⅰ具有相同的理化性质。1HNMR谱同样推测苷元为杨梅素(myricetrin),δ5.25 (1 H, d,J=5.43 Hz)处为葡萄糖上H-1的信号,δ3.0~4.0范围内为糖上其余6个H的信号。因此确定该化合物为杨梅素-3-O-β-D-葡萄糖苷(Ⅲ)。负离子FAB-MS给出分子离子479[M+-|],与上述推测一致。
, 百拇医药
化合物Ⅳ为淡棕色无定形粉末,遇FeCl3试剂显蓝黑色,明胶反应为阴性,αα'-联吡啶反应为阴性,说明该化合物为可水解丹宁单元体,并且分子量较小。1HNMR谱中芳香区域δ6.70,6.22处出现了两对单氢单峰的信号,为一个六羟基联苯基(HHDP)在可水解丹宁中葡萄糖的C1-OH游离后所形成的anomer中的芳氢特征,δ5.50~3.40处出现了相当于′个葡萄糖核的14个质子信号,进一步说明其为anomer,δ5.38(1 H, d,J=3.6 Hz)处为α-anomer中糖H-1信号,δ4.95 (1 H, d,J=8.0 Hz)为β-anomer中糖H-1信号。根据1H-1H COSY谱分别归属了α、β-异构体中的其余糖质子。由于H-2和H-3的化学位移值在较低场,故HHDP基位于葡萄糖的2,3-位,即2,3-HHDP-D-glucose。13CNMR谱中δ172~168范围内出现了两对C=O信号,为一个HHDP基的2个C=O在anomer中的吸收特征,δ150~100范围内为一个HHDP基中的芳香C在anomer中的吸收峰,δ100~60范围内为相当于2个糖的12个C信号,较低场δ94.74和δ91.40分别为β、α-型糖端基C信号,且β-C1比α-C1位于低场,由1H-13CCOSY谱分别归属了α,β异构体中其余的糖上碳。与文献〔5〕提供的α-D-pyranoglucose和β-D-pyranoglucose的13CNMR谱数据比较(表2),可以看出,α,β-anomer中C-2,3的化学位移比α,β-D-pyranoglucose中C-2,3的化学位移位于较低场,而与其相邻的C-1,4却位于较高场,进一步证实了HHDP基位于葡萄糖核的2,3-位。由以上分析确定该化合物的结构为2,3-HHDP-D-glucose(Ⅳ),负离子FAB-MS给出分子离子481[M+-1],与上述推测一致。表2 化合物Ⅳ的葡萄糖部分的13CNMR
, http://www.100md.com
数据(在Me2CO-d6中) C位
Compound Ⅳ
glucose
α-anomer
α-D-pyranoglucose
1
94.1
92.7
2
75.6
72.1
3
, 百拇医药
78.3
73.4
4
68.2
70.4
5
73.0
72.1
6
62.0
61.3
β-anomer
β-D-pyranoglucose
, 百拇医药
1
94.7
96.5
2
77.9
74.8
3
80.7
76.4
4
68.5
70.3
5
, 百拇医药
77.9
76.6
6
62.0
61.5
参考文献
1 刘延泽,等.天然产物研究与开发,1998,10(1):14
2 Okuda T, et al. Tetrahedron Lett, 1982, 23:3937
3 Han L, et al. Chem Pharm Bull, 1994, 42(7):1399
4 Yoshida T, et al. Chem Pharm Bull, 1992,40(7):1750
5 龚运淮.天然有机化合物的13C核磁共振化学位移.昆明:云南科技出版社,1986:403
收稿日期1998-09-16, http://www.100md.com(候爱君* 刘延泽** 吴养洁)
单位:候爱君* 刘延泽** 河南中医学院 郑州 450003;吴养洁 郑州大学化学系
关键词:桃金娘;黄酮苷;可水解丹宁
中草药990903 摘 要 从桃金娘Rhodomyrtus tomentosa(Ait.) Hassk. 叶中分得3种黄酮苷和1种可水解丹宁,经化学和波谱分析,确定它们的结构分别为杨梅素-3-O-α-L-鼠李糖苷(myricetin-3-O-α-L-rhamnoside, Ⅰ), 杨梅素-3-O-α-L-呋喃阿拉伯糖苷(myricetin-3-O-α-L-furanoarabinoside, Ⅱ), 杨梅素-3-O-β-D-葡萄糖苷(myricetin-3-O-β-D-glucoside,Ⅲ)和2,3-六羟基联苷基-D-葡萄糖(2,3-hexahydroxydiphenyl-D-glucose,Ⅳ),这些成分均为首次从该植物中得到。
, http://www.100md.com
桃金娘 Rhodomyrtus tomentosa(Ait.) Hassk. 为桃金娘科药用植物,主要分布在我国南方各省,其叶、根和果实分别入药,但其化学成分国内外尚未见报道。前文〔1〕我们曾报道其中4种逆没食子丹宁的分离与结构,现又从其干燥叶分离得到3种黄酮苷和一种逆没食子丹宁,经化学和波谱分析,确定其结构分别为杨梅素-3-O-α-L-鼠李糖苷(myricetin-3-O-α-L-rhamnoside,Ⅰ),杨梅素-3-O-α-L-furanoarabinoside,Ⅱ),杨梅素-3-O-β-D-葡萄糖苷(myricetin-3-O-β-D-glucoside,Ⅲ)和一种逆没食子丹宁2,3-六羟基联苯基-D-葡萄糖(2,3-hexahydroxydiphenl-D-glucose,Ⅳ)。化合物Ⅳ首次是作为结构证明过程中的人工酶解产物〔2〕进行报道的,后又从山茶Camellia japonica〔3〕和帝汶岛白桉Eucalyptus alba Reinw〔4〕中发现,但均未见其数据报道,我们详细证明了其结构。这些成分均为首次从该植物中得到。化合物Ⅰ~Ⅳ的化学结构见图1。
, 百拇医药
图1 化合物Ⅰ~Ⅳ的化学结构式
1 材料和仪器
柱层析所用吸附剂:Diaion HP-20(日本 Tsk), Toyopearl HW-40(C)和(F)(日本 Tosoh Co), MCl gel CHP-20P(Mitsub-ishi)。核磁共振分别用Bruker 80 MHz,300 MHz和400 MHz核磁共振仪测定,溶剂为Me2CO-d6。正相HPLC用Shimadzu LC-6A型液相色谱仪,Column:Zorbax SIL(6mm× 150mm), Solvent: Hexane-MeOH-THF-HCOOH 55∶33∶11∶1+(COOH)2450 mg/L, Flow rate:2.5 mL/min, Temperature: room temperature, Wavelength: 280 nm。TLC用吸附剂为青岛海洋化工厂生产的TLC用硅胶G。
, http://www.100md.com
桃金娘于1995年8月由广西壮族自治区药检所黄燮才教授提供,并鉴定为桃金娘科植物桃金娘R. tomentosa。
2 提珖和分离
桃金娘干燥叶2kg,用70%Me2CO室温组织破碎提取,减压浓缩得含干燥物130g的浓缩液,依次用Et2O,EtOAc及n-BuOH萃取。将EtOAc部分的干燥粉末10.8 g进行Toyopearl HW-40(C)柱层析,依次用不同浓度MeOH及70%Me2CO进行洗脱,按18mL/fr.收集洗脱液,TLC检识合并,分别真空浓缩至干燥粉末,其中fr.246~261析出黄色结晶(500mg),经TLC检识为单一斑点,即化合物Ⅰ。将C-1 fr. 262~279加热溶解于20%MeOH中,进行MCI gel CHP-20P柱层析,依次用不同浓度MeOH及70%Me2CO洗脱,其中50%MeOH部分的fr.149~169(20mg)为单一斑点,即化合物Ⅱ。Fr.181~202(15mg)为单一斑点,即化合物Ⅲ。
, 百拇医药
将n-BuOH部分干燥粉末13g,用少量20%MeOH溶解,同上进行Toyopearl HW-40(C)柱层析,其中fr.104~128(300mg)为单一斑点,再用MCI gel CHP-20P柱进行精制得化合物Ⅳ(250 mg)。
3 鉴定
化合物Ⅰ:为鲜黄色结晶,易溶于热水、MeOH和Me2CO。遇FeCl3试剂显绿色,HCl-Mg反应显红色,锆-枸橼酸反应黄色减退,加水稀释后渐退至无色,说明为黄酮类化合物,并且无游离的3-OH。1HNMR谱中芳香区域有黄酮类化合物H-6、H-8的信号及B环上3',4',5'-三取代出现的双氢单峰,而无H-3,故说明为5,7,3',4',5'-五羟基取代的黄酮醇类化合物。在δ5.49处有一偶合常数为1.6 Hz的二重峰为鼠李糖上H-1的特征,δ0.93处的偶合常数为5.6 Hz的二重峰鼠李糖上甲基的特征。故确定该化合物为杨梅苷(myricetrin,Ⅰ),即杨梅素-3-O-α-L-鼠李糖苷。负离子FAB-MS给出分子离子463[M+-1],与上述推测一致。
, http://www.100md.com
化合物Ⅱ:为鲜黄色无定形粉末,与化合物Ⅰ具有相同的理化性质。1HNMR谱中芳香区域δ7.27为一双氢单峰,为黄酮类化合物B环上3,4,5-三取代的特征,δ6.52(1 H, d,J=2.0 Hz)和6.26(1 H, d,J=2.0 Hz)分别为A环上H-8与H-6的特征,推测此化合物为杨梅素-3-O-糖苷。在δ3.50~5.75范围内出现了糖上6个氢的信号,故该糖为五碳糖,其中糖上H-1在5.49处为一单峰,δ4.35,4.06,3.89处各有1个氢的信号,δ3.54处为2个氢的信号,与阿拉伯糖的信号相似。13CNMR谱中出现20个C的吸收,除去黄酮母核的15个C,还有5个C的吸收峰,进一步证明分子中的糖为五碳糖。与参考文献〔4〕中阿拉伯糖苷的13CNMR谱数据(Table l)比较,确定该糖为α-L-呋喃阿拉伯糖。对样品进行酸水解,将糖部分与阿拉伯糖、半乳糖、葡萄糖及鼠李糖进行纸层析对照,结果表明,样品斑点与阿拉伯糖标准品具有相同的Rf值,故确定该化合物为杨梅素-3-O-L-呋喃阿拉伯糖苷(Ⅱ)。负离子FAB-MS给出分子离子449[M+-1],与上述推测一致。
, http://www.100md.com
表1 化合物Ⅱ及其相关化合物
阿拉伯糖的13CNMR数据 C位
化合
物Ⅲ
α-甲基-L
(或-D)-吡喃
阿拉伯糖苷
β-甲基-L
(或-D)-吡喃
阿拉伯糖苷
α-甲基-L-
吡喃
, 百拇医药
阿拉伯糖苷
β-甲基-L-
吡喃
阿拉伯糖苷
1
108.60
105.1
101.0
109.5
103.3
2
81.89
71.8
, 百拇医药
69.4
82.0
76.3
3
78.09
73.4
69.9
77.9
77.9
4
88.23
69.4
70.0
, 百拇医药
84.8
83.1
5
61.84
67.3
63.8
62.5
64.3
化合物Ⅲ与化合物Ⅱ和Ⅰ具有相同的理化性质。1HNMR谱同样推测苷元为杨梅素(myricetrin),δ5.25 (1 H, d,J=5.43 Hz)处为葡萄糖上H-1的信号,δ3.0~4.0范围内为糖上其余6个H的信号。因此确定该化合物为杨梅素-3-O-β-D-葡萄糖苷(Ⅲ)。负离子FAB-MS给出分子离子479[M+-|],与上述推测一致。
, 百拇医药
化合物Ⅳ为淡棕色无定形粉末,遇FeCl3试剂显蓝黑色,明胶反应为阴性,αα'-联吡啶反应为阴性,说明该化合物为可水解丹宁单元体,并且分子量较小。1HNMR谱中芳香区域δ6.70,6.22处出现了两对单氢单峰的信号,为一个六羟基联苯基(HHDP)在可水解丹宁中葡萄糖的C1-OH游离后所形成的anomer中的芳氢特征,δ5.50~3.40处出现了相当于′个葡萄糖核的14个质子信号,进一步说明其为anomer,δ5.38(1 H, d,J=3.6 Hz)处为α-anomer中糖H-1信号,δ4.95 (1 H, d,J=8.0 Hz)为β-anomer中糖H-1信号。根据1H-1H COSY谱分别归属了α、β-异构体中的其余糖质子。由于H-2和H-3的化学位移值在较低场,故HHDP基位于葡萄糖的2,3-位,即2,3-HHDP-D-glucose。13CNMR谱中δ172~168范围内出现了两对C=O信号,为一个HHDP基的2个C=O在anomer中的吸收特征,δ150~100范围内为一个HHDP基中的芳香C在anomer中的吸收峰,δ100~60范围内为相当于2个糖的12个C信号,较低场δ94.74和δ91.40分别为β、α-型糖端基C信号,且β-C1比α-C1位于低场,由1H-13CCOSY谱分别归属了α,β异构体中其余的糖上碳。与文献〔5〕提供的α-D-pyranoglucose和β-D-pyranoglucose的13CNMR谱数据比较(表2),可以看出,α,β-anomer中C-2,3的化学位移比α,β-D-pyranoglucose中C-2,3的化学位移位于较低场,而与其相邻的C-1,4却位于较高场,进一步证实了HHDP基位于葡萄糖核的2,3-位。由以上分析确定该化合物的结构为2,3-HHDP-D-glucose(Ⅳ),负离子FAB-MS给出分子离子481[M+-1],与上述推测一致。表2 化合物Ⅳ的葡萄糖部分的13CNMR
, http://www.100md.com
数据(在Me2CO-d6中) C位
Compound Ⅳ
glucose
α-anomer
α-D-pyranoglucose
1
94.1
92.7
2
75.6
72.1
3
, 百拇医药
78.3
73.4
4
68.2
70.4
5
73.0
72.1
6
62.0
61.3
β-anomer
β-D-pyranoglucose
, 百拇医药
1
94.7
96.5
2
77.9
74.8
3
80.7
76.4
4
68.5
70.3
5
, 百拇医药
77.9
76.6
6
62.0
61.5
参考文献
1 刘延泽,等.天然产物研究与开发,1998,10(1):14
2 Okuda T, et al. Tetrahedron Lett, 1982, 23:3937
3 Han L, et al. Chem Pharm Bull, 1994, 42(7):1399
4 Yoshida T, et al. Chem Pharm Bull, 1992,40(7):1750
5 龚运淮.天然有机化合物的13C核磁共振化学位移.昆明:云南科技出版社,1986:403
收稿日期1998-09-16, http://www.100md.com(候爱君* 刘延泽** 吴养洁)