苦楝微量酚性成分的研究
作者:李石生 邓京振 赵守训
单位:李石生(中国药科大学天然药物化学教研室,南京210009)
关键词:苦楝;阿魏酸二十六醇酯(Ⅰ);阿魏酸二十四醇酯(Ⅱ);阿魏酸二十五醇酯(Ⅲ);阿魏酸二十七醇酯(Ⅳ);阿魏酸二十八醇酯(Ⅴ)
中草药000203
摘 要 从苦楝茎皮中提取分离并鉴定了5个微量酚性化合物。它们的结构分别为阿魏酸二十六醇酯(Ⅰ)、阿魏酸二十四醇酯(Ⅱ)、阿魏酸二十五醇酯(Ⅲ)、阿魏酸二十七醇酯(Ⅳ)、阿魏酸二十八醇酯(Ⅴ)。均为从苦楝中首次分离得到。
Minor Phenolic Constituents of Chinaberry-tree (Melia azedarach)
, http://www.100md.com
Li Shisheng, Deng Jingzhen and Zhao Shouxun
(Department of Phytochemistry, China Pharmaceutical University Nanjing 210009)
Abstract Five minor ferulic acid esters (Ⅰ~Ⅴ) were identified in a petrol extract of Melia azedarach stem bark, one (Ⅰ) of which was isolated with no impurity for the first time. By chemical and spectral methods, their structures were elucidated as hexacosylferulate (Ⅰ); tetracosylferulate (Ⅱ); pentacosylferulate (Ⅲ); heptacosylferulate (Ⅳ) and octacosylferulate (Ⅴ), respectively.
, 百拇医药
Key words Melia azedarach L. hexacosylferulate tetracosylferulate pentacosylferulate heptacosylferulate octacosylferulate▲
Introduction
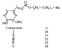
Melia azedarach L (Meliaceas) is widely distributed in Asia, Africa and other tropical regions of the world. Different parts of the tree have long been used as a traditional folk medicine for the treatment of a variety of human ailments such as rheumatism, leprosy, scrofula, itch and eruptive skin disease[1]. Among others, antiviral, antihelminthic, emmenagogic and antitumor activities have also been reported[2]. In order to exploit its potential use as an antineoplastic agent, systematic chemical and pharmacological actions of the stem bark of M.azedarach L. have been studied by our group. Extensive investigation on a petrol extract of the stem bark has resulted in the isolation of hexacosylferulate (Ⅰ) with no impurity for the first time and the determination of four other minor (Ⅱ~Ⅴ) long chain fatty alcohol esters of ferulic acid. The chemical structures of (Ⅰ~Ⅴ) were shown in Fig 1.
, 百拇医药
Fig.1 The chemical sructures of compounds Ⅰ~Ⅴ
Results and Discussion
The petrol-soluble fraction of the stem bark of M. azedarach L. was separated by repeated open column chromatograhpy and recrystallization (see experimental) to give a minor ferulic acid ester, hexacosylferulate (Ⅰ), which was isolated in a pure state for the first time, and a mixt of four other minor ferulic acid esters (Ⅱ~Ⅴ).
, 百拇医药 Hexacosylferulate (Ⅰ) was crystallized from petrol-EtOAc (8.5∶1.5) as needles. Its molecular formula was determined as C36H62O4 by HRF-AB-MS, and its IR spectrum, in addition to its positive results with FeCl3 reagents and negative results with Emerson reagents, indicated that it was a ferulic acid ester[3]. This conclusion was confirmed by the observation of NOE 5.8% for signal δ7.04 when signal δ3.93 was irradiated. The 1HNMR spectral data were similar to those of hexacosylacetoxyferulate except an acetoxy peak at δ2.30 was missing and an additional peak appeared at δ5.87 (disappeared when D2O was added) as broad singlet for hydroxy group[4]. These results are consistent with formula I as shown. Hexacosylferulate was isolated in the pure state for the first time. Assignments of the 1H and 13CNMR signals were shown in Table 1.
, http://www.100md.com
The mix esters Ⅱ~Ⅴ was composed of homologues of hexacosylferulate deducing from its similar spectral data (IR; 1H, 13CNMR) to those of compound Ⅰ. FAB-MS indicated the presence of tetracosylferulate (Ⅱ), pentacosylferulate (Ⅲ), heptacoslferulate (Ⅳ) and octacosylferulate (Ⅴ), HRFAB-MS confirmed their molecular formula as C34H58O4, C35H60O4, C37H64O4 and C38H66O4 respectively (see Table 2). Reversed phase chromatogram of the mixt revealed the existence of four homologues (see experimental). The mixt of compounds Ⅱ~Ⅳ had been identified in Spiranthes sinensis (Pers.) Ames var. amoean (M. Bieberson) Hara[5]. Octacosylferulate (Ⅴ) had also been isolated from Tecomella undulata (G.Don) Seem and Gmelina arborea Roxb[6,7].
, http://www.100md.com
Table 1. 1H and 13CNMR Data of CompoundsⅠ~Ⅴ(CDCl3) position
13C δ
DEPT
1H δ
JH,H (Hz)
1
127.0
C
-
-
, 百拇医药
2
109.2
CH
7.04(d)
1.5
3
147.9
C
-
-
4
146.7
C
, 百拇医药 -
-
5
114.7
CH
6.92(d)
8.0
6
123.0
CH
7.07(dd)
1.5;8.0
7
, 百拇医药
144.6
CH
7.61(d)
16.0
8
115.7
CH
6.30(d)
16.0
9
167.4
C=0
-
, http://www.100md.com
-
MeO
55.9
CH3
3.93(s)
-
HO
-
-
5.87(br.s)
-
1'
64.6
, 百拇医药
CH2
4.19(t)
6.7;6.7
2'
31.9
CH2
1.69(m)
-
3'
26.0
CH2
1.64(m)
, 百拇医药
-
4'to (n-3)
28.8~129.7
CH2
1.25(m)
-
(n-2)
31.9
CH2
1.25(m)
-
(n-1)
, 百拇医药
22.7
CH2
1.25(m)
-
Me
14.1
CH3
0.88(t)
6.6;6.6
It was reported that pharmaceuticals containing alkyl ferulates had been used for the treatment of alcoholism[8,9]. Ferulic acid and a few ferulic acid esters had been reported to possess allelopathic effects[10,11]. The isolation and determination of minor ferulic acid esters with long chain fatty alcohols occurring in lipid-soluble extract of M. azedarach L. is of interest, although the biological significance is not yet clear and remains to be studied further.Experimental
, 百拇医药
General Mps: uncorr.; IR: KBr; NMR: 1H, at 300 MHz, 13C(DEPT) at 75 MHz, CDCl3 ; FAB-MS and HRFAB-MS: negative ion mode; HPLC: Varian HPLC system, ODS colunm, mobile phase: MeOH-H2O-isopropyl alcohol-HOAc (78∶20∶1.5∶0.5), UV: λ 254 nm, flow rate :1.0 mL/min.
Plant material M.azedarach L. was collected from Jishui county, Jiangxi province, China in Aug., 1995. The species was authenticated by Dr. J. Z. Deng, China Pharmaceutical University, where a vouched specimen has been deposited.
, 百拇医药
Extraction and separation The air-dried powdered stem bark (20 kg) was continuously extracted with refluxing 95% EtOH and the extracts concd. in vacuo. The residue was suspended in H2O and the mixt, was successively extracted with petrol, EtOAc and n-BuOH. The combined petrol layers were concd. to dryness to give a petrol fr. (200 g), which was subjected to CC (silica gel), eluting with petrol-EtOAc mixts of increasing polarity. Frs. were monitored by TLC. Fr. 83 (15 mg) (petrol-EtOAc 92∶8) showed positive results with FeCl3 reagents. After repeated silica gel CC and recrystallization several times in petrol-EtOAc (8.5∶1.5), compound Ⅰ (5 mg) as needles and the mixt (Ⅱ~Ⅴ) as white powder (4 mg) were isolated from fr.83.
, 百拇医药
Hexacosylferulate Ⅰ Needles; positive results with FeCl3 reagents, negative results with Emerson reagents; mp 69 ℃~70.5 ℃; HRFAB-MS (neg.) m/z: 557.459 0 (calcd 557.457 0 for C36H61O4); FAB-MS (neg.) m/z: 557 ([M-1]-, 100), 193 ([M-hexacosanyl]-, 31), 175 (21), 161 (20), 148 (23), 133 (27); IRνKBrmax cm-1:3 410, 2 910, 2 850, 1 710, 1 650, 1 600, 1 520, 1 470, 1 270, 1 175 and 980; 1HNMR (CDCl3): 0.88 (3 H, t, J=6.6 Hz, terminal methyl), 1.25 (44H,br. s, -(CH2)22-), 1.64 (2H, m, 3'-H), 1.69 (2 H, m, 2'-H), 3.93 (3H, s, 3-OMe), 4.19 (2H, t, J=6.7 Hz, 6.7 Hz, 1'-H), 5.87 (1H, br. s, disappeared when D2O was added, 4-OH), 6.30 (1H, d, J=16.0 Hz, 8-H), 6.92 (1H, d, J=8.0 Hz, 5-H), 7.04 (1H, d, J=1.5 Hz, 2-H), 7.07 (1H, dd, J=1.5 Hz, 8.0 Hz, 6-H), 7.61 (1H, d, J=16.0 Hz, 7-H); 13CNMR (CDCl3):14.1 (terminal methyl), 22.7 (C-n-1), 26.0 (C-3'), 28.8~29.7 (C-4'-n-3), 31.9 (C-n-2), 31.9 (C-2'), 55.9 (aromatic-OMe), 64.6 (C-1'), 109.2 (C-2), 114.7 (C-5), 115.7 (C-8), 123.0 (C-6), 127.0 (C-1), 144.6 (C-7), 146.7 (C-4), 147.9 (C-3), 167.4 (C-9).
, 百拇医药
Compoundes Ⅱ~Ⅴ The mixt was obtained as white powder; positive results with FeCl3 reagents, negative results with Emerson reag-ents; IR spectrum similar to that of hexacosylferulate; the mixt was dissolved in isopropyl alcohol and further analyzed by HPLC to confirm the existence of compounds Ⅱ~Ⅴ, whose retention time was 8 minutes 12 seconds, 8 minutes 48 seconds, 9 minutes 18 seconds and 10 minutes 36 seconds, respectively. Their 1H and 13CNMR, FAB-MS and HRFAB-MS were shown in Tables 1,2.
, 百拇医药
Table 2. FAB-MS and HRFAB-MS data of compounds Ⅱ~Ⅴ compound
[M-1]- m/z
Elemental
composition
Measured
mass
Calculated
mass
Major
fragments
, 百拇医药 ions m/z
Ⅰ
557
C36H61O4
557.459 0
557.457 0
193;175;161;
148;133
Ⅱ
529
C34H57O4
, 百拇医药
529.427 8
557.425 7
Ⅲ
543
C35H59O4
543.443 5
543.441 3
Ⅳ
571
C37H63O4
571.474 6
, http://www.100md.com
571.472 6
Ⅴ
585
C38H65O4
585.490 3
585.488 3
Acknowledgements This work was supported by grants to Dr. J. Z. Deng from the Natural Science Foundation of China and the Natural Science Foundation of Jiangsu Province.
References
, http://www.100md.com
1,Jiangsu New Medical College. Chinese Medicine Dictionary. Shanghai: Shanghai Scientific Technological Publisher, 1979:1 298
2,Takeya K, et al. Phytochemistry, 1996, 42: 709
3,Balde A, et al. Phytochemistry, 1991, 30: 102
4,Chatterjee A, et al. Phytochemistry, 1977, 16: 397
5,Tezuka Y, et al. Chem Pharm Bull, 1989, 37: 3195
, 百拇医药 6,Joshi K C, et al. Planta Med, 1986, 25: 71
7,Govindachari T R, et al. Indian J Chem, 1971, 9: 1027
8,Brekhman I I, et al. Ger offen DE3, 641,495 (Cl.A61K31/70), 09 Jun 1988, Appl. 04 Dec 1986; 21 pp
9,Mudzhiri L A, et al. Brit UK Pat. Appl. GB2, 198, 041 (Cl.A61K31/195), 08 Jun 1988, GB Appl. 86/28, 228, 26 Nov 1986; 77 pp
10,Nair M G, et al. J Chem Ecol, 1988, 14: 589
11,Laver M L, et al. J Agric Food Chem, 1989, 37: 114, http://www.100md.com
单位:李石生(中国药科大学天然药物化学教研室,南京210009)
关键词:苦楝;阿魏酸二十六醇酯(Ⅰ);阿魏酸二十四醇酯(Ⅱ);阿魏酸二十五醇酯(Ⅲ);阿魏酸二十七醇酯(Ⅳ);阿魏酸二十八醇酯(Ⅴ)
中草药000203
摘 要 从苦楝茎皮中提取分离并鉴定了5个微量酚性化合物。它们的结构分别为阿魏酸二十六醇酯(Ⅰ)、阿魏酸二十四醇酯(Ⅱ)、阿魏酸二十五醇酯(Ⅲ)、阿魏酸二十七醇酯(Ⅳ)、阿魏酸二十八醇酯(Ⅴ)。均为从苦楝中首次分离得到。
Minor Phenolic Constituents of Chinaberry-tree (Melia azedarach)
, http://www.100md.com
Li Shisheng, Deng Jingzhen and Zhao Shouxun
(Department of Phytochemistry, China Pharmaceutical University Nanjing 210009)
Abstract Five minor ferulic acid esters (Ⅰ~Ⅴ) were identified in a petrol extract of Melia azedarach stem bark, one (Ⅰ) of which was isolated with no impurity for the first time. By chemical and spectral methods, their structures were elucidated as hexacosylferulate (Ⅰ); tetracosylferulate (Ⅱ); pentacosylferulate (Ⅲ); heptacosylferulate (Ⅳ) and octacosylferulate (Ⅴ), respectively.
, 百拇医药
Key words Melia azedarach L. hexacosylferulate tetracosylferulate pentacosylferulate heptacosylferulate octacosylferulate▲
Introduction
Melia azedarach L (Meliaceas) is widely distributed in Asia, Africa and other tropical regions of the world. Different parts of the tree have long been used as a traditional folk medicine for the treatment of a variety of human ailments such as rheumatism, leprosy, scrofula, itch and eruptive skin disease[1]. Among others, antiviral, antihelminthic, emmenagogic and antitumor activities have also been reported[2]. In order to exploit its potential use as an antineoplastic agent, systematic chemical and pharmacological actions of the stem bark of M.azedarach L. have been studied by our group. Extensive investigation on a petrol extract of the stem bark has resulted in the isolation of hexacosylferulate (Ⅰ) with no impurity for the first time and the determination of four other minor (Ⅱ~Ⅴ) long chain fatty alcohol esters of ferulic acid. The chemical structures of (Ⅰ~Ⅴ) were shown in Fig 1.
, 百拇医药
Fig.1 The chemical sructures of compounds Ⅰ~Ⅴ
Results and Discussion
The petrol-soluble fraction of the stem bark of M. azedarach L. was separated by repeated open column chromatograhpy and recrystallization (see experimental) to give a minor ferulic acid ester, hexacosylferulate (Ⅰ), which was isolated in a pure state for the first time, and a mixt of four other minor ferulic acid esters (Ⅱ~Ⅴ).
, 百拇医药 Hexacosylferulate (Ⅰ) was crystallized from petrol-EtOAc (8.5∶1.5) as needles. Its molecular formula was determined as C36H62O4 by HRF-AB-MS, and its IR spectrum, in addition to its positive results with FeCl3 reagents and negative results with Emerson reagents, indicated that it was a ferulic acid ester[3]. This conclusion was confirmed by the observation of NOE 5.8% for signal δ7.04 when signal δ3.93 was irradiated. The 1HNMR spectral data were similar to those of hexacosylacetoxyferulate except an acetoxy peak at δ2.30 was missing and an additional peak appeared at δ5.87 (disappeared when D2O was added) as broad singlet for hydroxy group[4]. These results are consistent with formula I as shown. Hexacosylferulate was isolated in the pure state for the first time. Assignments of the 1H and 13CNMR signals were shown in Table 1.
, http://www.100md.com
The mix esters Ⅱ~Ⅴ was composed of homologues of hexacosylferulate deducing from its similar spectral data (IR; 1H, 13CNMR) to those of compound Ⅰ. FAB-MS indicated the presence of tetracosylferulate (Ⅱ), pentacosylferulate (Ⅲ), heptacoslferulate (Ⅳ) and octacosylferulate (Ⅴ), HRFAB-MS confirmed their molecular formula as C34H58O4, C35H60O4, C37H64O4 and C38H66O4 respectively (see Table 2). Reversed phase chromatogram of the mixt revealed the existence of four homologues (see experimental). The mixt of compounds Ⅱ~Ⅳ had been identified in Spiranthes sinensis (Pers.) Ames var. amoean (M. Bieberson) Hara[5]. Octacosylferulate (Ⅴ) had also been isolated from Tecomella undulata (G.Don) Seem and Gmelina arborea Roxb[6,7].
, http://www.100md.com
Table 1. 1H and 13CNMR Data of CompoundsⅠ~Ⅴ(CDCl3) position
13C δ
DEPT
1H δ
JH,H (Hz)
1
127.0
C
-
-
, 百拇医药
2
109.2
CH
7.04(d)
1.5
3
147.9
C
-
-
4
146.7
C
, 百拇医药 -
-
5
114.7
CH
6.92(d)
8.0
6
123.0
CH
7.07(dd)
1.5;8.0
7
, 百拇医药
144.6
CH
7.61(d)
16.0
8
115.7
CH
6.30(d)
16.0
9
167.4
C=0
-
, http://www.100md.com
-
MeO
55.9
CH3
3.93(s)
-
HO
-
-
5.87(br.s)
-
1'
64.6
, 百拇医药
CH2
4.19(t)
6.7;6.7
2'
31.9
CH2
1.69(m)
-
3'
26.0
CH2
1.64(m)
, 百拇医药
-
4'to (n-3)
28.8~129.7
CH2
1.25(m)
-
(n-2)
31.9
CH2
1.25(m)
-
(n-1)
, 百拇医药
22.7
CH2
1.25(m)
-
Me
14.1
CH3
0.88(t)
6.6;6.6
It was reported that pharmaceuticals containing alkyl ferulates had been used for the treatment of alcoholism[8,9]. Ferulic acid and a few ferulic acid esters had been reported to possess allelopathic effects[10,11]. The isolation and determination of minor ferulic acid esters with long chain fatty alcohols occurring in lipid-soluble extract of M. azedarach L. is of interest, although the biological significance is not yet clear and remains to be studied further.Experimental
, 百拇医药
General Mps: uncorr.; IR: KBr; NMR: 1H, at 300 MHz, 13C(DEPT) at 75 MHz, CDCl3 ; FAB-MS and HRFAB-MS: negative ion mode; HPLC: Varian HPLC system, ODS colunm, mobile phase: MeOH-H2O-isopropyl alcohol-HOAc (78∶20∶1.5∶0.5), UV: λ 254 nm, flow rate :1.0 mL/min.
Plant material M.azedarach L. was collected from Jishui county, Jiangxi province, China in Aug., 1995. The species was authenticated by Dr. J. Z. Deng, China Pharmaceutical University, where a vouched specimen has been deposited.
, 百拇医药
Extraction and separation The air-dried powdered stem bark (20 kg) was continuously extracted with refluxing 95% EtOH and the extracts concd. in vacuo. The residue was suspended in H2O and the mixt, was successively extracted with petrol, EtOAc and n-BuOH. The combined petrol layers were concd. to dryness to give a petrol fr. (200 g), which was subjected to CC (silica gel), eluting with petrol-EtOAc mixts of increasing polarity. Frs. were monitored by TLC. Fr. 83 (15 mg) (petrol-EtOAc 92∶8) showed positive results with FeCl3 reagents. After repeated silica gel CC and recrystallization several times in petrol-EtOAc (8.5∶1.5), compound Ⅰ (5 mg) as needles and the mixt (Ⅱ~Ⅴ) as white powder (4 mg) were isolated from fr.83.
, 百拇医药
Hexacosylferulate Ⅰ Needles; positive results with FeCl3 reagents, negative results with Emerson reagents; mp 69 ℃~70.5 ℃; HRFAB-MS (neg.) m/z: 557.459 0 (calcd 557.457 0 for C36H61O4); FAB-MS (neg.) m/z: 557 ([M-1]-, 100), 193 ([M-hexacosanyl]-, 31), 175 (21), 161 (20), 148 (23), 133 (27); IRνKBrmax cm-1:3 410, 2 910, 2 850, 1 710, 1 650, 1 600, 1 520, 1 470, 1 270, 1 175 and 980; 1HNMR (CDCl3): 0.88 (3 H, t, J=6.6 Hz, terminal methyl), 1.25 (44H,br. s, -(CH2)22-), 1.64 (2H, m, 3'-H), 1.69 (2 H, m, 2'-H), 3.93 (3H, s, 3-OMe), 4.19 (2H, t, J=6.7 Hz, 6.7 Hz, 1'-H), 5.87 (1H, br. s, disappeared when D2O was added, 4-OH), 6.30 (1H, d, J=16.0 Hz, 8-H), 6.92 (1H, d, J=8.0 Hz, 5-H), 7.04 (1H, d, J=1.5 Hz, 2-H), 7.07 (1H, dd, J=1.5 Hz, 8.0 Hz, 6-H), 7.61 (1H, d, J=16.0 Hz, 7-H); 13CNMR (CDCl3):14.1 (terminal methyl), 22.7 (C-n-1), 26.0 (C-3'), 28.8~29.7 (C-4'-n-3), 31.9 (C-n-2), 31.9 (C-2'), 55.9 (aromatic-OMe), 64.6 (C-1'), 109.2 (C-2), 114.7 (C-5), 115.7 (C-8), 123.0 (C-6), 127.0 (C-1), 144.6 (C-7), 146.7 (C-4), 147.9 (C-3), 167.4 (C-9).
, 百拇医药
Compoundes Ⅱ~Ⅴ The mixt was obtained as white powder; positive results with FeCl3 reagents, negative results with Emerson reag-ents; IR spectrum similar to that of hexacosylferulate; the mixt was dissolved in isopropyl alcohol and further analyzed by HPLC to confirm the existence of compounds Ⅱ~Ⅴ, whose retention time was 8 minutes 12 seconds, 8 minutes 48 seconds, 9 minutes 18 seconds and 10 minutes 36 seconds, respectively. Their 1H and 13CNMR, FAB-MS and HRFAB-MS were shown in Tables 1,2.
, 百拇医药
Table 2. FAB-MS and HRFAB-MS data of compounds Ⅱ~Ⅴ compound
[M-1]- m/z
Elemental
composition
Measured
mass
Calculated
mass
Major
fragments
, 百拇医药 ions m/z
Ⅰ
557
C36H61O4
557.459 0
557.457 0
193;175;161;
148;133
Ⅱ
529
C34H57O4
, 百拇医药
529.427 8
557.425 7
Ⅲ
543
C35H59O4
543.443 5
543.441 3
Ⅳ
571
C37H63O4
571.474 6
, http://www.100md.com
571.472 6
Ⅴ
585
C38H65O4
585.490 3
585.488 3
Acknowledgements This work was supported by grants to Dr. J. Z. Deng from the Natural Science Foundation of China and the Natural Science Foundation of Jiangsu Province.
References
, http://www.100md.com
1,Jiangsu New Medical College. Chinese Medicine Dictionary. Shanghai: Shanghai Scientific Technological Publisher, 1979:1 298
2,Takeya K, et al. Phytochemistry, 1996, 42: 709
3,Balde A, et al. Phytochemistry, 1991, 30: 102
4,Chatterjee A, et al. Phytochemistry, 1977, 16: 397
5,Tezuka Y, et al. Chem Pharm Bull, 1989, 37: 3195
, 百拇医药 6,Joshi K C, et al. Planta Med, 1986, 25: 71
7,Govindachari T R, et al. Indian J Chem, 1971, 9: 1027
8,Brekhman I I, et al. Ger offen DE3, 641,495 (Cl.A61K31/70), 09 Jun 1988, Appl. 04 Dec 1986; 21 pp
9,Mudzhiri L A, et al. Brit UK Pat. Appl. GB2, 198, 041 (Cl.A61K31/195), 08 Jun 1988, GB Appl. 86/28, 228, 26 Nov 1986; 77 pp
10,Nair M G, et al. J Chem Ecol, 1988, 14: 589
11,Laver M L, et al. J Agric Food Chem, 1989, 37: 114, http://www.100md.com