方形空间通风换热的气流组织性能数值分析
作者:吴群刚 梁新刚 任建勋 过增元 陈泽敬
单位:清华大学工程力学系,北京 100084
关键词:航天舱;热环境;热交换;通风(工程);数学模型;舒适温度
航天医学与医学工程000305摘要: 目的研究载人航天器舱内的气流组织性能,分析斜进风通风方式下舱内的通风换热,为通风换热的设计提供依据。 方法 由物理模型,引入合理假设,建立描述舱内流动和传热的数学模型,采用交错网格的SIMPLE算法,从进风角度、换热性能、温度、速度的均匀性及环境的舒适性等方面综合分析该通风方式的特点。 结果 斜进风方式不存在明显的短路问题,换热能力较好;舱内工作区速度、温度的均匀性和舒适性提高;投入能量得到了较好的利用;两侧壁换热虽失去对称性,但其换热能力并没有迥然差别;进风角度小于45°时温度场、速度场的均匀性比进风角度大于45°时要好一些,但由于
的值保持在一定水平,此时的换热能力与进风角度大于45°时相比变化不大。 结论 二维斜进风通风方式气流组织性能较好,但流动的可控性较差;可以适当地设计通风方式和角度,增加流动的可控性,并使换热和均匀性同时优化;空间站载人舱可采用角度变动范围在15°~75°之间的风向可调式小开口斜进风方式。
, http://www.100md.com
中图分类号:R852.51 文献标识码:A
文章编号:1002-0837(2000)03-0174-05
Numerical Study of Ventilation and Heat Transfer Performance in a Square Space
WU Qun-gang,LIANG Xin-gang,GUO Zeng-yuan,REN Jian-xun,CHEN Ze-jing
Abstract:Objective To investigate the ventilation organization in a square space with slot inlet and oblique inlet flow and to try afford some useful suggestion for the design of ventilation. Method Based on physical model, control equations depicting the ventilation and heat transfer in cabin were given. The inlet air direction, velocity, temperature, convective heat transfer capability and environment amenity were numerically simulated with staggered grid SIMPLE method. Result As far as the cases of oblique inlet flow direction were concerned, the research indicated that the heat transfer capability, the homogeneity, amenity and effectiveness of input energy were acceptable although the flow patterns were asymmetric. When the angle between the inlet flow direction and ceiling was smaller than 45 degree, there were better homogeneity of temperature and velocity fields. The heat transfer performance,was not sensitive to the inlet flow angle. Conclusion The 2D ventilation configuration with oblique inlet flow direction has good thermal performance but the control of flow pattern is not satisfactory. It is possible to improve the homogeneity of temperature and velocity, heat transfer capability and the control of flow pattern simultaneously by proper organization of
The research recommends independent inlet apertures with adjustable angle between 30~45 degree.
, 百拇医药
Key words:space capsules;thermal environments;heat exchange;ventilation (engineering);mathematical modeles;comfort temperature
通风换热组织是空调设计的一个重要环节,就空间飞行器的载人舱而言,舱内的空气通风不仅要满足舱内仪器设备的散热要求,还要满足航天员在工作时对舱内环境舒适性的要求。由于飞行器在轨时处于微重力环境,舱内因自然对流引起的流动大为减少,若通风方式设计不当,会带来局部过热(过冷)、或绝对湿度过大、有害物质浓度过高等问题。因此飞行器载人舱内气流的良好组织性能是维持其正常工作的必要手段[1,2]。
汤广发等[3]利用数值模拟方法对某水电厂主厂房的气流组织状况进行了分析,讨论和比较了几种不同开口方式下流动的流型和速度场,并指出横向同侧送风方式无论从气流流型还是从工作区速度分布的均匀程度来看都是较佳的。但该文仅讨论了速度场的分布,没有涉及诸如温度场、换热状况等其它相关的内容。Son等人[4]则对国际空间站舱内的通风和空气分布特性作了数值分析和实验研究。数值分析采用了FLUENT软件,实验研究则采用了1:1的模型,整个实验装置通过温度控制系统来保证模拟舱内壁的温度与通风空气的温度一致,以减小自然对流。他们将不同工况下模拟舱内的空气速度分布的数值分析结果和实验结果进行了比较,得到了一些有用的结论。
, 百拇医药
刘云龙[5]、任建勋[6]等人分别用数值分析和模型实验的方法讨论了舱内气流的流场分布,并对舱内的温度场、换热能力等做了分析。象房间空调系统的通风一样,空间飞行器载人舱内的通风方式也有多种选择形式,如均匀进风、集中进风、斜进风等。刘、任的研究主要是针对均匀进风和集中进风展开的。研究结果表明均匀通风方式下大部分送风未经换热就直接排出出风口,工作区内壁面的换热性能较差,并容易造成局部温度和湿度分布的不均匀;相对于均匀通风方式而言,集中通风方式的换热能力有较大程度的提高,与此同时,舱内的温度场均匀性也得以改善,但其速度分布的均匀性趋于恶化。此外,任建勋等还对45°斜进风的情形作了初步的定性实验研究,得出了斜进风方式也可能是一种比较合适的气流组织方式的结论[5]。
本文将着重分析斜进风通风方式下舱内的通风换热情况,从进风角度的选择、换热性能、温度、速度的均匀性及环境的舒适性等方面综合分析该通风方式的具体特点,为空间站舱内通风换热系统的设计与选择提供一定的依据。
, 百拇医药
物理模型与控制方程及其求解
斜进风通风方式的全称是“两顶角狭缝集中斜进风-两底角狭缝集中出风”,其通风换热结构如图1所示。通过天花板两侧的狭长缝,将气流以一定的角度送入舱内。在本文的研究中,进口气流温度恒定为20℃,送风量按照具体研究要求取相应的值,本文取600 m3/h。出风口在两侧壁下端,为了解决分叉问题[7],将两侧壁延长,使气流从两侧壁下端排出后通过地板下的回风箱关联起来。进口宽度尺寸依据入口风速确定,入口角度依具体的讨论要求而定,在0~90°之间选择。所谓入口角度(进风夹角)是指进风方向与天花板的夹角。侧壁下端出口宽度为高度的1/20。天花板与地板绝热,两侧壁为加热壁,本文取定壁温为30℃。入口新风在舱内经混合、换热后由出风口排出。在计算时,不计重力作用。
图1 斜进风方式示意图
, http://www.100md.com
Fig.1 Sketch of ventilation space with slot inlet
根据物理模型,为进行数值研究,作以下假设:二维、稳态、层流流动,忽略舱内垂直纸面方向两端壁面的影响;入口空气速度、温度均匀恒定;外部环境不对舱内流场和温度场产生影响;能量方程中的耗散项忽略不计。
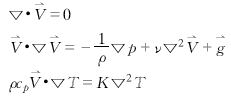
由以上物理模型和基本假设,得到描述舱内空气流动和传热的质量、动量、能量方程如下:
其中
为速度矢量,T、ρ、p、ν分别为温度、密度、压力及运动粘度,K为导热系数,cp为定压比热,g为重力加速度,计算中令g等于零。边界条件:所有固壁上分速度为零;上、下壁面处绝热;左右侧壁面Tw;进口处风温Tin恒定;分速度由下式给定:v=vin, u=uin;出口处边界按参考文献[7]推荐的方法处理。
, http://www.100md.com
考虑到存在的解的分叉现象[7],我们用全场进行计算。采用交错网格的SIMPLE算法进行求解。为验证程序的正确性,对封闭方腔自然对流的标准算例进行了计算,Grashof数从1.4×103到1.4×108,平均Nusselt数与文献[8]的偏差不超过5%。迭代计算过程采用欠松驰,并特别考虑了孤岛问题的特殊处理[7]。
本文使用侧壁平均努谢尔特数、气流进出口温升、温度不均匀性系数、速度不均匀性系数及投入能量利用系数等作为衡量舱内气流组织性能好坏的评价指标。各参数定义如下:
平均努谢尔特数Nuave:
当温差一定时,换热系数越高,对流换热的热流密度越大,其换热的能力也越强,热负荷一定时,所需通风量也越小。
, 百拇医药
速度不均匀性系数kv:
其中
为样本点数,vi为工作区某点速度,vave为速度的算术平均值。速度越均匀,速度不均匀性系数越小,反之越大。
温度不均匀性系数kT:
其中
为样本点数,Ti为工作区某点温度,Tave为温度的算术平均值。温度越均匀,温度不均匀性系数越小,反之越大。
, http://www.100md.com
投入能量利用系数γT:
式中Tin、Tout为送、排风温度,取Tin=20℃;TO为工作区设计温度,一般取TO=23~24℃,本文取TO=23.5℃。当γT≥1.0时,表明气流能控制工作区温度,而排风温度可以高于舱内温度,经济性较好;反之,则表明投入能量没有完全被利用,经济性不够好。
结果与讨论
表1给出了斜进风方式下典型进风角度下的数值计算结果。由表可见,在斜进风通风方式下,不同进风角度的温度不均匀性系数都仅在0.1左右,表明斜进风方式的温度均匀性相当好,且随角度的变化没有什么大的差异;速度不均匀系数也都没有超过0.92。相对于集中进风,其速度均匀性也有较大提高[5]。随着角度的变化,速度均匀性的变化要大一些,进风角度小于45°时速度不均匀性系数均在0.5左右,一旦进风角度超过45°,速度不均匀性系数便很快增加,表明从速度均匀性的方面考虑,进风夹角小一些有好处。各个角度下的投入能量利用系数γT均大于1,表明对于斜进风情形,不论进风角度如何,投入的能量均得到了较好的利用。不同角度下衡量其舱内总体换热状况的平均Nu也都比较高,表明该通风方式也具有较好的换热能力,并与进风角度无太大关系,因而对于斜进风方式,在热负荷增加时,不论进风夹角如何,也均可不必使通风量提高很多,这样也有利于节省功耗。
, 百拇医药
表1 典型进风角度下舱内的换热与舒适性参数
Table 1 The heat transfer and amenity parameters of typical inlet flow angles inlet flow angle
average Nu of
left wall
average Nu of
right wall
temperature
difference
between inlet
, http://www.100md.com
and outlet
(℃)
coefficient of
temperature
inhomogeneity
(kT)
coefficient of
wow and flutter
(kv)
effectiveness
of input energy
, 百拇医药
(γT)
15°
81.53
93.08
3.65
0.13
0.54
1.04
30°
85.89
99.80
3.96
0.12
, 百拇医药
0.45
1.13
45°
96.58
87.62
3.84
0.12
0.51
1.10
60°
89.01
91.17
3.71
, 百拇医药
0.097
0.92
1.05
75°
99.82
101.05
4.02
0.11
0.88
1.16
图2给出了不同进风角度下舱内流动和换热的流场和温度场,对于进风角度小于一定值时存在分叉解[7]的情况,为节省篇幅,只给出了稳定解的一种流态分布,另一稳定解可由图2类推而得。从流场来看,进风角度小于45°时,空气从进风口流入后,在气流与入口壁面间因为射流作用而形成负压区,将进口气流“吸”向壁面,并由于两股气流的综合作用,在工作区中央形成一个大旋涡,气流在舱内一部分贴壁流动;另一部分通过大涡的旋转与另一壁面进行辗转换热后再由另一个出风口排出。由于这一旋涡大范围较强的旋转,一方面将部分气流“挤压”到一侧壁面处,另一方面也可以将另一侧壁面处的热量及时带到主流空气中。进风角度大于45°时,由于进风在垂直方向分速度的加大,在侧壁附近区域的速度值很高。沿着流动方向的深入,空气速度先是有所降低,到了出风口附近,再转为增加。从进风口进入工作区的空气,大部分通过和侧壁换热后,直接由出风口排出,并在工作区中间诱发了一对较弱的环流。随着进风角度的加大,环流逐渐变成左右对称。有一部分气流要参与环流之后才排到出风口。这对环流与进风角度小于45°时出现的大涡相比,强度要小得多,气流速度也较低,但它们的存在对舱内工作区的舒适性也会产生重要影响。进风角度为45°时的流场介于上述两者之间,气流流动曲折、紊乱,流场呈不规则情形,计算不收敛。
, 百拇医药
图2 不同进风角度的舱内工作区流场和温度场
Fig.2 Stream lines and isotherms
从温度场来看,斜进风方式不论进风角度如何,由于不存在明显的短路问题,两壁面的换热能力也没有迥然差别。依靠诱导旋涡的旋转,也使工作区的均匀性和舒适性得以有效提高。所以从总体上看,这种通风方式换热性能较好,温度场均匀性也较好,舒适性较高。具体地讲,进风角度小于45°时,舱内两侧壁附近空气的温度梯度较大,同时温度场不对称。由于大旋涡的作用,一部分空气直接纵掠一侧加热壁,换热后直接排出工作区;另一部分通过大涡作用,折返流向进风口,间接地与侧壁换热,随后与来流空气混合,不断将侧壁传递的热量输送给主流空气,再由主流空气带出舱外。同时被侧壁加热的空气与主流空气的混合也比较充分。所以在工作区中央的空气温度也比较高。进风角度大于45°时,从进风口出来的空气大部分直接纵掠两个加热侧壁,在两侧壁附近区域,空气的温度变化比较剧烈,温度梯度较大,换热也较强。大部分经过加热后的空气直接从出风口排出,所以此时工作区中央的空气温度与进风角度小于45°时相比要低一些。
, 百拇医药
比较图2的各个进风角度下的流场和温度场可见,进风角度大于45°时工作区中央的速度比进风角度小于45°时低, 温度也比小于45°时为低,因而从总体分布上讲,其温度场、速度场均匀性也稍逊一些。 我们再将表1和图2结合起来分析一个重要现象。一般认为,舱内区域的温度、速度均匀性与两侧壁面处的换热能力两者不可兼得。由前面根据图2所做的分析,进风角度小于45°时工作区的温度场、速度场均匀性要好于进风角度大于45°时的相应情况,再看表1中的平均Nu数和气流进出口温升,可以发现,虽然进风角度小于45°时舱内温度、速度分布的均匀性要更好一些,然而此时的换热能力与进风角度大于45°时相比却变化不大。换句话说,在这里,当进风角度取合适值时,不但使温度、速度分布均匀性得以改善,而且同时使其两侧壁的换热能力得以保持,从而做到了换热能力和分布均匀性的同时优化。
按照文献[8]的阐述,可以将对流换热问题比拟为导热问题,也就是将能量方程中的流动项比拟为导热方程中的热源项,影响此热源项大小从而换热能力大小的因素是:流动速度和温度梯度的模,流体内速度和温度梯度的分布以及它们的夹角。可用数学式将这些影响因素概括为:
。改变绝对值或改变其夹角,便可使换热情况发生变化。由图2可知,进风角度小于45°时,虽然近壁处速度值减少,但温度梯度和流动速度的夹角也减少了,两者相权的结果,使换热能力仍然保持在一定水平。因此在这里获得换热能力和分布均匀性的同时加强便成为可能。对于空间站舱内的通风换热,通过人为设计恰当的进风角度,可以使
达到最大,从而在强化换热的同时,改进均匀性。
, 百拇医药
结 论
本文对斜进风通风方式下的舱内流动与换热情况进行了数值模拟,从进风角度的选择、换热性能、温度、速度的均匀性及环境的舒适性等方面具体研究了该通风方式的特点。研究表明:斜进风通风方式的换热能力较好,舱内速度、温度的均匀性和舒适性较高,能量利用比较充分,整体上满足安全性、舒适性、经济性的要求,但两侧壁的换热失去对称性;对不同的进风角度,就温度场、速度场均匀性而言,进风角度小于45°时比进风角度大于45°要好一些。可以适当地设计通风方式和角度,通过改变
强化传热,实现换热和均匀性的同时优化;综合考虑各种因素,空间站载人舱若采用角度可调的小开口斜进风方式,其角度变动范围可在15°~75°之间,正常工作时其进风角度设置成小于45°较好,建议取在30°~45°之间。本文的讨论未考虑有害气体和杂质的排放问题以及工程实际当中的三维特性。
基金项目:国家航天863项目和国家自然科学基金项目资助(59686003)
, 百拇医药
Address reprint requests to:LIANG Xin-gang.Department of Engineering Mechanics,Tsinghua University,Beijing 100084,China
[参考文献]
[1] Fan Jianfeng.Survey of Space Station Engineering[M].Haerbin: Haerbin Industry University Press,1990: 173~175
范剑锋.空间站工程概论[M].哈尔滨:哈尔滨工业大学出版社,1990:173~175
[2] ZHANG Xin-rong,REN Jian-xun,LIANG Xin-gang et al.Analysis of mass optimization of manned spacecraft ECLSS thermo-hydraulic network[J].Space Medicine & Medical Engineering,1999,12(5): 351~355
, 百拇医药
张信荣,任建勋,梁新刚等.载人航天器环控生保系统热网络的轻量化分析[J].航天医学与医学工程,1999,12(5):351~355
[3] Tang Guangfa,Wang Hanqing.Numerical study of ventilation optimizing methods in a dam workshop[J].Hunan University Transaction,1988,15(2): 128~133
汤广发,王汉青.水电站主厂房通风气流优化设计的数值方法[J].湖南大学学报,1988,15(2):128~133
[4] Son C,Barker RS.Numerical Prediction and Evaluation of Space Station Intermodule Ventilation and Air Distribution Performance[C].SAE 941509:1387~1400
, 百拇医药
[5] Liu Yunlong.Ground Simulation and Numerical Research of the Flow and Heat Transfer in a Space Station Cabin[D].Beijing: Tsinghua University,1997: 53~63
刘云龙.空间站舱内流动和传热的地面模拟及数值分析[D]:[博士学位论文].北京:清华大学,1997:53~63
[6] REN Jianxun.Ground Simulation and Experimental Research of the Flow and Heat Transfer in a Space Station Cabin[D].Beijing: Tsinghua University,1998: 64~83
任建勋.空间站舱内流动和传热的地面模拟及实验研究[D]:[博士学位论文].北京:清华大学,1998:64~83
, http://www.100md.com
[7] WU Qungang.Numerical study of ventilation and heat transfer in ground based simulation module of a inhabited space station cabin[D].Beijing:Tsinghua University,1999:42~45
吴群刚.空间站载人舱简化结构内通风换热的数值研究[D]:[硕士学位论文].北京:清华大学,1999:42~45
[7] GUO Zengyuan,LI Deyo,WANG Buxuan.Novel concept for convective heat transfer enhancement[J].Int J Heat Mass Transfer,1998,41(14):2221~2225
收稿日期:1999-09-06, 百拇医药
单位:清华大学工程力学系,北京 100084
关键词:航天舱;热环境;热交换;通风(工程);数学模型;舒适温度
航天医学与医学工程000305摘要: 目的研究载人航天器舱内的气流组织性能,分析斜进风通风方式下舱内的通风换热,为通风换热的设计提供依据。 方法 由物理模型,引入合理假设,建立描述舱内流动和传热的数学模型,采用交错网格的SIMPLE算法,从进风角度、换热性能、温度、速度的均匀性及环境的舒适性等方面综合分析该通风方式的特点。 结果 斜进风方式不存在明显的短路问题,换热能力较好;舱内工作区速度、温度的均匀性和舒适性提高;投入能量得到了较好的利用;两侧壁换热虽失去对称性,但其换热能力并没有迥然差别;进风角度小于45°时温度场、速度场的均匀性比进风角度大于45°时要好一些,但由于
, http://www.100md.com
中图分类号:R852.51 文献标识码:A
文章编号:1002-0837(2000)03-0174-05
Numerical Study of Ventilation and Heat Transfer Performance in a Square Space
WU Qun-gang,LIANG Xin-gang,GUO Zeng-yuan,REN Jian-xun,CHEN Ze-jing
Abstract:Objective To investigate the ventilation organization in a square space with slot inlet and oblique inlet flow and to try afford some useful suggestion for the design of ventilation. Method Based on physical model, control equations depicting the ventilation and heat transfer in cabin were given. The inlet air direction, velocity, temperature, convective heat transfer capability and environment amenity were numerically simulated with staggered grid SIMPLE method. Result As far as the cases of oblique inlet flow direction were concerned, the research indicated that the heat transfer capability, the homogeneity, amenity and effectiveness of input energy were acceptable although the flow patterns were asymmetric. When the angle between the inlet flow direction and ceiling was smaller than 45 degree, there were better homogeneity of temperature and velocity fields. The heat transfer performance,was not sensitive to the inlet flow angle. Conclusion The 2D ventilation configuration with oblique inlet flow direction has good thermal performance but the control of flow pattern is not satisfactory. It is possible to improve the homogeneity of temperature and velocity, heat transfer capability and the control of flow pattern simultaneously by proper organization of
, 百拇医药
Key words:space capsules;thermal environments;heat exchange;ventilation (engineering);mathematical modeles;comfort temperature
通风换热组织是空调设计的一个重要环节,就空间飞行器的载人舱而言,舱内的空气通风不仅要满足舱内仪器设备的散热要求,还要满足航天员在工作时对舱内环境舒适性的要求。由于飞行器在轨时处于微重力环境,舱内因自然对流引起的流动大为减少,若通风方式设计不当,会带来局部过热(过冷)、或绝对湿度过大、有害物质浓度过高等问题。因此飞行器载人舱内气流的良好组织性能是维持其正常工作的必要手段[1,2]。
汤广发等[3]利用数值模拟方法对某水电厂主厂房的气流组织状况进行了分析,讨论和比较了几种不同开口方式下流动的流型和速度场,并指出横向同侧送风方式无论从气流流型还是从工作区速度分布的均匀程度来看都是较佳的。但该文仅讨论了速度场的分布,没有涉及诸如温度场、换热状况等其它相关的内容。Son等人[4]则对国际空间站舱内的通风和空气分布特性作了数值分析和实验研究。数值分析采用了FLUENT软件,实验研究则采用了1:1的模型,整个实验装置通过温度控制系统来保证模拟舱内壁的温度与通风空气的温度一致,以减小自然对流。他们将不同工况下模拟舱内的空气速度分布的数值分析结果和实验结果进行了比较,得到了一些有用的结论。
, 百拇医药
刘云龙[5]、任建勋[6]等人分别用数值分析和模型实验的方法讨论了舱内气流的流场分布,并对舱内的温度场、换热能力等做了分析。象房间空调系统的通风一样,空间飞行器载人舱内的通风方式也有多种选择形式,如均匀进风、集中进风、斜进风等。刘、任的研究主要是针对均匀进风和集中进风展开的。研究结果表明均匀通风方式下大部分送风未经换热就直接排出出风口,工作区内壁面的换热性能较差,并容易造成局部温度和湿度分布的不均匀;相对于均匀通风方式而言,集中通风方式的换热能力有较大程度的提高,与此同时,舱内的温度场均匀性也得以改善,但其速度分布的均匀性趋于恶化。此外,任建勋等还对45°斜进风的情形作了初步的定性实验研究,得出了斜进风方式也可能是一种比较合适的气流组织方式的结论[5]。
本文将着重分析斜进风通风方式下舱内的通风换热情况,从进风角度的选择、换热性能、温度、速度的均匀性及环境的舒适性等方面综合分析该通风方式的具体特点,为空间站舱内通风换热系统的设计与选择提供一定的依据。
, 百拇医药
物理模型与控制方程及其求解
斜进风通风方式的全称是“两顶角狭缝集中斜进风-两底角狭缝集中出风”,其通风换热结构如图1所示。通过天花板两侧的狭长缝,将气流以一定的角度送入舱内。在本文的研究中,进口气流温度恒定为20℃,送风量按照具体研究要求取相应的值,本文取600 m3/h。出风口在两侧壁下端,为了解决分叉问题[7],将两侧壁延长,使气流从两侧壁下端排出后通过地板下的回风箱关联起来。进口宽度尺寸依据入口风速确定,入口角度依具体的讨论要求而定,在0~90°之间选择。所谓入口角度(进风夹角)是指进风方向与天花板的夹角。侧壁下端出口宽度为高度的1/20。天花板与地板绝热,两侧壁为加热壁,本文取定壁温为30℃。入口新风在舱内经混合、换热后由出风口排出。在计算时,不计重力作用。
图1 斜进风方式示意图
, http://www.100md.com
Fig.1 Sketch of ventilation space with slot inlet
根据物理模型,为进行数值研究,作以下假设:二维、稳态、层流流动,忽略舱内垂直纸面方向两端壁面的影响;入口空气速度、温度均匀恒定;外部环境不对舱内流场和温度场产生影响;能量方程中的耗散项忽略不计。
由以上物理模型和基本假设,得到描述舱内空气流动和传热的质量、动量、能量方程如下:
其中
, http://www.100md.com
考虑到存在的解的分叉现象[7],我们用全场进行计算。采用交错网格的SIMPLE算法进行求解。为验证程序的正确性,对封闭方腔自然对流的标准算例进行了计算,Grashof数从1.4×103到1.4×108,平均Nusselt数与文献[8]的偏差不超过5%。迭代计算过程采用欠松驰,并特别考虑了孤岛问题的特殊处理[7]。
本文使用侧壁平均努谢尔特数、气流进出口温升、温度不均匀性系数、速度不均匀性系数及投入能量利用系数等作为衡量舱内气流组织性能好坏的评价指标。各参数定义如下:
平均努谢尔特数Nuave:
当温差一定时,换热系数越高,对流换热的热流密度越大,其换热的能力也越强,热负荷一定时,所需通风量也越小。
, 百拇医药
速度不均匀性系数kv:
其中
温度不均匀性系数kT:
其中
, http://www.100md.com
投入能量利用系数γT:
式中Tin、Tout为送、排风温度,取Tin=20℃;TO为工作区设计温度,一般取TO=23~24℃,本文取TO=23.5℃。当γT≥1.0时,表明气流能控制工作区温度,而排风温度可以高于舱内温度,经济性较好;反之,则表明投入能量没有完全被利用,经济性不够好。
结果与讨论
表1给出了斜进风方式下典型进风角度下的数值计算结果。由表可见,在斜进风通风方式下,不同进风角度的温度不均匀性系数都仅在0.1左右,表明斜进风方式的温度均匀性相当好,且随角度的变化没有什么大的差异;速度不均匀系数也都没有超过0.92。相对于集中进风,其速度均匀性也有较大提高[5]。随着角度的变化,速度均匀性的变化要大一些,进风角度小于45°时速度不均匀性系数均在0.5左右,一旦进风角度超过45°,速度不均匀性系数便很快增加,表明从速度均匀性的方面考虑,进风夹角小一些有好处。各个角度下的投入能量利用系数γT均大于1,表明对于斜进风情形,不论进风角度如何,投入的能量均得到了较好的利用。不同角度下衡量其舱内总体换热状况的平均Nu也都比较高,表明该通风方式也具有较好的换热能力,并与进风角度无太大关系,因而对于斜进风方式,在热负荷增加时,不论进风夹角如何,也均可不必使通风量提高很多,这样也有利于节省功耗。
, 百拇医药
表1 典型进风角度下舱内的换热与舒适性参数
Table 1 The heat transfer and amenity parameters of typical inlet flow angles inlet flow angle
average Nu of
left wall
average Nu of
right wall
temperature
difference
between inlet
, http://www.100md.com
and outlet
(℃)
coefficient of
temperature
inhomogeneity
(kT)
coefficient of
wow and flutter
(kv)
effectiveness
of input energy
, 百拇医药
(γT)
15°
81.53
93.08
3.65
0.13
0.54
1.04
30°
85.89
99.80
3.96
0.12
, 百拇医药
0.45
1.13
45°
96.58
87.62
3.84
0.12
0.51
1.10
60°
89.01
91.17
3.71
, 百拇医药
0.097
0.92
1.05
75°
99.82
101.05
4.02
0.11
0.88
1.16
图2给出了不同进风角度下舱内流动和换热的流场和温度场,对于进风角度小于一定值时存在分叉解[7]的情况,为节省篇幅,只给出了稳定解的一种流态分布,另一稳定解可由图2类推而得。从流场来看,进风角度小于45°时,空气从进风口流入后,在气流与入口壁面间因为射流作用而形成负压区,将进口气流“吸”向壁面,并由于两股气流的综合作用,在工作区中央形成一个大旋涡,气流在舱内一部分贴壁流动;另一部分通过大涡的旋转与另一壁面进行辗转换热后再由另一个出风口排出。由于这一旋涡大范围较强的旋转,一方面将部分气流“挤压”到一侧壁面处,另一方面也可以将另一侧壁面处的热量及时带到主流空气中。进风角度大于45°时,由于进风在垂直方向分速度的加大,在侧壁附近区域的速度值很高。沿着流动方向的深入,空气速度先是有所降低,到了出风口附近,再转为增加。从进风口进入工作区的空气,大部分通过和侧壁换热后,直接由出风口排出,并在工作区中间诱发了一对较弱的环流。随着进风角度的加大,环流逐渐变成左右对称。有一部分气流要参与环流之后才排到出风口。这对环流与进风角度小于45°时出现的大涡相比,强度要小得多,气流速度也较低,但它们的存在对舱内工作区的舒适性也会产生重要影响。进风角度为45°时的流场介于上述两者之间,气流流动曲折、紊乱,流场呈不规则情形,计算不收敛。
, 百拇医药
图2 不同进风角度的舱内工作区流场和温度场
Fig.2 Stream lines and isotherms
从温度场来看,斜进风方式不论进风角度如何,由于不存在明显的短路问题,两壁面的换热能力也没有迥然差别。依靠诱导旋涡的旋转,也使工作区的均匀性和舒适性得以有效提高。所以从总体上看,这种通风方式换热性能较好,温度场均匀性也较好,舒适性较高。具体地讲,进风角度小于45°时,舱内两侧壁附近空气的温度梯度较大,同时温度场不对称。由于大旋涡的作用,一部分空气直接纵掠一侧加热壁,换热后直接排出工作区;另一部分通过大涡作用,折返流向进风口,间接地与侧壁换热,随后与来流空气混合,不断将侧壁传递的热量输送给主流空气,再由主流空气带出舱外。同时被侧壁加热的空气与主流空气的混合也比较充分。所以在工作区中央的空气温度也比较高。进风角度大于45°时,从进风口出来的空气大部分直接纵掠两个加热侧壁,在两侧壁附近区域,空气的温度变化比较剧烈,温度梯度较大,换热也较强。大部分经过加热后的空气直接从出风口排出,所以此时工作区中央的空气温度与进风角度小于45°时相比要低一些。
, 百拇医药
比较图2的各个进风角度下的流场和温度场可见,进风角度大于45°时工作区中央的速度比进风角度小于45°时低, 温度也比小于45°时为低,因而从总体分布上讲,其温度场、速度场均匀性也稍逊一些。 我们再将表1和图2结合起来分析一个重要现象。一般认为,舱内区域的温度、速度均匀性与两侧壁面处的换热能力两者不可兼得。由前面根据图2所做的分析,进风角度小于45°时工作区的温度场、速度场均匀性要好于进风角度大于45°时的相应情况,再看表1中的平均Nu数和气流进出口温升,可以发现,虽然进风角度小于45°时舱内温度、速度分布的均匀性要更好一些,然而此时的换热能力与进风角度大于45°时相比却变化不大。换句话说,在这里,当进风角度取合适值时,不但使温度、速度分布均匀性得以改善,而且同时使其两侧壁的换热能力得以保持,从而做到了换热能力和分布均匀性的同时优化。
按照文献[8]的阐述,可以将对流换热问题比拟为导热问题,也就是将能量方程中的流动项比拟为导热方程中的热源项,影响此热源项大小从而换热能力大小的因素是:流动速度和温度梯度的模,流体内速度和温度梯度的分布以及它们的夹角。可用数学式将这些影响因素概括为:
, 百拇医药
结 论
本文对斜进风通风方式下的舱内流动与换热情况进行了数值模拟,从进风角度的选择、换热性能、温度、速度的均匀性及环境的舒适性等方面具体研究了该通风方式的特点。研究表明:斜进风通风方式的换热能力较好,舱内速度、温度的均匀性和舒适性较高,能量利用比较充分,整体上满足安全性、舒适性、经济性的要求,但两侧壁的换热失去对称性;对不同的进风角度,就温度场、速度场均匀性而言,进风角度小于45°时比进风角度大于45°要好一些。可以适当地设计通风方式和角度,通过改变
基金项目:国家航天863项目和国家自然科学基金项目资助(59686003)
, 百拇医药
Address reprint requests to:LIANG Xin-gang.Department of Engineering Mechanics,Tsinghua University,Beijing 100084,China
[参考文献]
[1] Fan Jianfeng.Survey of Space Station Engineering[M].Haerbin: Haerbin Industry University Press,1990: 173~175
范剑锋.空间站工程概论[M].哈尔滨:哈尔滨工业大学出版社,1990:173~175
[2] ZHANG Xin-rong,REN Jian-xun,LIANG Xin-gang et al.Analysis of mass optimization of manned spacecraft ECLSS thermo-hydraulic network[J].Space Medicine & Medical Engineering,1999,12(5): 351~355
, 百拇医药
张信荣,任建勋,梁新刚等.载人航天器环控生保系统热网络的轻量化分析[J].航天医学与医学工程,1999,12(5):351~355
[3] Tang Guangfa,Wang Hanqing.Numerical study of ventilation optimizing methods in a dam workshop[J].Hunan University Transaction,1988,15(2): 128~133
汤广发,王汉青.水电站主厂房通风气流优化设计的数值方法[J].湖南大学学报,1988,15(2):128~133
[4] Son C,Barker RS.Numerical Prediction and Evaluation of Space Station Intermodule Ventilation and Air Distribution Performance[C].SAE 941509:1387~1400
, 百拇医药
[5] Liu Yunlong.Ground Simulation and Numerical Research of the Flow and Heat Transfer in a Space Station Cabin[D].Beijing: Tsinghua University,1997: 53~63
刘云龙.空间站舱内流动和传热的地面模拟及数值分析[D]:[博士学位论文].北京:清华大学,1997:53~63
[6] REN Jianxun.Ground Simulation and Experimental Research of the Flow and Heat Transfer in a Space Station Cabin[D].Beijing: Tsinghua University,1998: 64~83
任建勋.空间站舱内流动和传热的地面模拟及实验研究[D]:[博士学位论文].北京:清华大学,1998:64~83
, http://www.100md.com
[7] WU Qungang.Numerical study of ventilation and heat transfer in ground based simulation module of a inhabited space station cabin[D].Beijing:Tsinghua University,1999:42~45
吴群刚.空间站载人舱简化结构内通风换热的数值研究[D]:[硕士学位论文].北京:清华大学,1999:42~45
[7] GUO Zengyuan,LI Deyo,WANG Buxuan.Novel concept for convective heat transfer enhancement[J].Int J Heat Mass Transfer,1998,41(14):2221~2225
收稿日期:1999-09-06, 百拇医药