应用剂量梯度理论确定射线野参数
作者:戴建荣 杨勇 胡逸民 翟万聪
单位:戴建荣 杨勇 胡逸民 翟万聪(100021 北京,中国医学科学院中国协和医科大学肿瘤医院放射治疗科)
关键词:剂量梯度;权重;楔形板;治疗计划
New Page 1 【摘要】 目的 应用剂量梯度理论确定多野治疗方案时每个射线野的权重、楔形板角度及方向。方法 剂量梯度理论指出, 在X(γ)射线野轴线附近区域内,平野的剂量梯度的方向与射线野轴线平行; 楔形野的剂量梯度的方向与射线野轴线的夹角等于射线野的楔形板角度。对于多野治疗方案,为保证靶区剂量均匀,靶区范围内任意点总的剂量梯度必须为零,调整射线野权重或调整权重结合加楔形板的方法可使这一要求得到满足。依据这一理论, 对于2个野交角、3个野共面、3个野非共面这些情况, 推导得到计算射线野权重、楔形板角度及方向的公式。结果 对颅内肿瘤的2个野和3个野非共面方案进行了设计, 计算得到的靶区剂量是均匀的。结论 对于2个野、3个野共面或非共面照射的治疗计划, 采用上述方法可以直接确定射线野权重、楔形板角度及方向, 避免了手工多次调整;对于3个野以上共面或非共面情况, 提出确定射线野权重、楔形板角度及方向的一般性建议。
, 百拇医药
Determination of beam parameters by dose-gradient analysis
DAI Jianrong, YANG Yong, HU Yimin, et al
(Department of Radiation Oncology, Cancer Hospital, Chinese Academy of Medical Sciences, Peking Union Medical College, Beijing 100021, China)
【Abstract】 Objective To determine beam weight, wedge angles and wedge orientations by dose gradient analysis when a treatment plan has more than one photon beam. Methods As proposed by Sonntag and Sherouse, the dose gradient of a single open photon beam can be represented by a vector pointing towards the radiation source and parallel to the beam central axis. The effect of adding a wedge to the beam is to introduce a simple transaxial gradient. The dose gradient due to an ensemble of beams is the weighted sum of the constituent beams' individual gradients. The optimization criterion that dose be homogeneous over an irradiated volume is equivalent to the criterion that the magnitude of the dose gradient be zero throughout that volume. Given a fixed ensemble of beams, there are two ways to render the dose gradient zero: (1) To adjust relative beam weights and (or) (2) To add wedges to some beams. Here formulas are derived for calculating beam weights, wedge angles and collimator angles when a treatment plan has two coplanar beams, three coplanar beams or three noncoplanar beams. Results Two treatment plans are tested. One plan has two noncoplanar beams, and the other has three noncoplanar beams. The resulting dose distribution in the target volume is homogenous. Conclusion Through analysis of dose gradient, treatment plans can be improved as compared to those obtained through conventional manual trial and error process and planning time can be much reduced.
, 百拇医药
【Key words】 Dose gradient; Beam weight; Wedge; Treatment planning
在常规治疗计划设计时,射线野的权重都是经手工多次调整确定的。如果是2个野交角照射,为保证靶区剂量均匀,可根据教科书中介绍的方法选择楔形板方向和角度[1]。如果是3个野照射,其中2个野相对并且均与余下的1个野垂直,可根据文献[2]介绍的方法确定射线野权重、楔形板角度和方向。但对于其它更普遍的情况,尚未见类似方法的报道。近年来,三维治疗计划系统开始在临床使用,射线野布置的自由度增加,射线野入射方向不再限于横断面,从理论上讲,可以是三维空间的任何方向,调整射线野权重和选择楔形板角度、方向的难度变得更大。针对这种状况,出现了一些自动优化射线野权重和楔形板方向、角度的算法,但遗憾的是这些算法均没有包括在任何一个商业化的计划系统中。1975年,Sonntag首次用德文介绍了剂量梯度理论(analysis of dose gradient),但没有引起同行的关注。1993年Sherouse[3]又重新独立地用英文阐述之。这种理论以矢量分析为基础,可以确定共面或非共面布野时射线野权重和楔形板方向、角度这些参数。本文依据这种理论,推导出共面3个野、2个野交角或3个野照射时射线野权重和楔形板角度以及准直器转角这些参数的计算公式,并对共面或非共面多于3个野照射情况给出处理建议。
, 百拇医药
1 材料与方法
1.1 剂量梯度理论简介: X(γ)射线野的剂量梯度
和剂量分布D(x,y,z)之间的关系可表示为
(1)
当射线野不加楔形板时,在射线野轴线附近区域内的方向与射线野轴线平行,指向放射源位置,
的大小等于每单位深度的剂量变化(图1a)。当射线野加楔形板时,在射线野轴线附近区域内
的方向与射线野轴线的夹角等于射线野的楔形板角度θw,可将其分解为沿射线野轴线的分量
和垂直轴线的分量
(图1b)。
的大小等于不加楔形板时射线野的剂量梯度,
的大小随楔形板角度的增加而增加。
、
和
大小关系可表示为
(2)
, 百拇医药
图1 射线野的剂量梯度
为满足靶区剂量均匀的要求,必须保证在靶区范围内任意点剂量梯度为零。由于任意点的剂量梯度等于所有射线野剂量梯度的加权和,因此在靶区范围内,下式必须成立,即
(3)
其中Wi是第i个射线野对靶区剂量贡献的相对权重;
是第i个射线野的剂量梯度;n是射线野个数。当射线野个数和每个射线野的入射方向确定时,可通过调整射线野权重或调整权重结合加楔形板的方法来保证(3)式成立。根据Sherouse[3]的建议,在下面介绍各种布野情况时,均假设满足下面的条件:①射线野垂直入射,即不考虑体表弯曲、倾斜的情况;②平野和楔形野的剂量特征是很理想的,这是指在各射线野的交叉区域内,平野只有沿轴向的剂量梯度,而楔形板的作用仅是引入一个横向的剂量梯度;③所有射线野的机器能量相等,并忽略射线野大小和深度对剂量梯度的影响, 即认为所有平野剂量梯度的大小和所有楔形野剂量梯度的轴向分量的大小均相等;④所有射线野轴线相交于一点。
, 百拇医药
1.2 空间坐标系之间的转换关系: 治疗计划设计时,射线野与患者的空间位置关系是通过床(即患者)坐标系、固定坐标系和准直器坐标系之间的坐标变换而确定的。 当机器零位时, 所有的坐标系是重合的; 当床转动θT角时, 床坐标系ZT轴与固定坐标系ZF轴仍然是重合的, 而XT和YT轴分别相对于XF和YF转动了θT角; 当机架转动θG角时, 准直器坐标系YC轴与固定坐标系YF轴仍然是重合的, 而XC和ZC轴分别相对于XF和ZF转动了θG角(图2)。
, 百拇医药
图2 加速器坐标系的定义
定义射线野方向为沿射线野轴线指向放射源的方向, 用单位矢量
表示[4]。当射线野的机架角度为θG,床角为θT时,
在固定坐标系和床坐标系中的坐标
和
分别为
(4)
(5)
的方向与楔形板方向相同,而楔形板是与准直器一起转动的,因此
的方向也就决定了准直器的旋转角度θC。设准直器零度时的楔形板方向用单位矢量
表示, 代表
方向的单位矢量用
, 则准直器的旋转角度θC等于
与
2个矢量的夹角, 即
(6)
(7)
, 百拇医药
由上式得到的2个准直器角度代表的楔形板方向正好相反, 具体取哪一个可通过观察治疗计划系统的医生方向观(REV)所显示的楔形板形状选择。从各加器厂家的刻度规定看,准直器零度时,楔形板方向一般指向YC轴的正方向, 则无论机架角度θG是多大,
在固定坐标系中的数值为(0, 1, 0), 在床坐标系中的数值为(-sinθT,cosθT,0)。 如果准直器零度时,
指向其它方向,则各种照射情况的准直器角度要增加或减少一个常量, 例如
指向XC轴的正方向, 准直器角度应增加90°。
, 百拇医药
1.3 2个野交角情况: 此情况可描述为: 已知2个射线野的机架角是θG1和θG2,床角是θT1和θT2,求为保证靶区剂量均匀,2个野的权重W1 和W2、楔形板角度Wg1和Wg1、准直器旋转角度θc1和θc2应取多少?
在床坐标系中过2个射线野轴线可构筑一个平面P(图3), 2个轴线的夹角即铰链角(hinge angle)用θh表示,即
(8)
, 百拇医药
图3 2个野交角照射时,射线野方向矢量和楔形板方向矢量在平面P内的分布
借鉴横断面上2个野共面交角照射情况的处理办法,取2个射线野的权重相等,楔形板角度相等, 并且楔形板角度与铰链角的关系为
Wg1=Wg2=90°-θh/2, (9)
2个野楔形板方向矢量
和
应位于平面P内,沿图3所示的方向,即
(10)
, 百拇医药
其中
是平面P的法线矢量,
(11)
将(11)式代入(10)式得
(12)
由 (6) 式 和(12) 式得
(13)
, http://www.100md.com
由公式(7) 和(13)得1野的准直器角度为
θC1=arccos[sin(θT1-θT2)sinθG2/sinθh]或
θC1=360°-arccos[sin(θT1-θT2)sinθG2/sinθh]; (14)
类似地, 2野的准直器角度为
θC2=arccos[sin(θT2-θT1)sinθG1/sinθh]或
, http://www.100md.com θC2=360°-arccos[sin(θT2-θT1)sinθG1/sinθh]。 (15)
在射线野的2个准直器角度中应选择可以保证2个野的楔形板厚端相对的一个。特别是当θT1=θT2 或 θT1-θT2=±180°时,2个射线野成为横断面上的共面射线野,射线野的准直器角度为90°或270°。1.4 3个野在横断面上共面情况: 不失一般性,假设: (1) 3个野的机架角θG1<θG2<θG3; (2)为保证靶区内剂量梯度为零,各射线野的剂量梯度需通过加楔形板的方法、相对射线野轴线偏转某角度Δθ1、Δθ2和Δθ3。3个野在机架旋转平面内形成图4所示的分布。
, 百拇医药
图4 3个野共面照射时,剂量梯度矢量在固定坐标系XFZF平面内的分布
沿XF和YF轴分解
、
和
,将矢量方程(3)转换为标量方程组,即
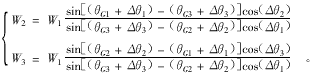
(16)
, http://www.100md.com
由(2)式得3个野剂量梯度的大小和平野剂量梯度的关系为
Gi=Ga/cos(Δθi), (17)
将(17)式代入方程组(16)式,将W1视为常量,W2和W3视为变量,则成为关于W2和W3的二元一次方程组,求解得W2、W3与W1之间的关系为
(18)
3个射线野的楔形板角度分别为
, 百拇医药 Wgi=|Δθi|。 (19)
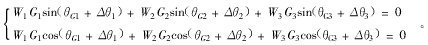
3个射线野的准直器角度根据偏转角Δθi的正负分别取90°或270°。(18) 式 和(19)式表明,当3个野的入射方向确定后,射线野权重和楔形板角度随剂量梯度偏转角的变化而变化,射线野权重和楔形板角度的值将不是唯一的。因此还需要从临床角度考虑,对剂量梯度偏转角做出限制,可分为2种情况:① 当3个射线野分布超过180°的机架角范围,即3个野机架角满足条件 θG3-θG1>180°、θG2-θG1<180°和θG3-θG2<180°时,3个射线野可以不加楔形板,将Δθ1=Δθ2=Δθ3=0代入(18)式得
(20)
, 百拇医药
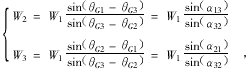
其中αij是第i个射线野与第j个射线野的夹角,i、j可等于1、2或3。②当3个射线野分布在小于或等于180°的机架角范围,即θG3-θG1≤180°时, 可以令
Δθ2=(θG3+θG1)/2-θG2, Δθ3=(-Δθ1)=Wg0, (21)
其中Wg0可以取一个方便的角度,如15° 、30°、45°或60°。将(21) 式代入(18)式得
W3=W1; (22)
, http://www.100md.com
将(22)式代入(19)式得
Wg1=Wg0, Wg2=(θG3+θG1)/2-θG2,Wg3=Wg0; (23)
如果1野和3野相对,并且均与2野垂直,这时有θG3-θG1=180°, (θG3+θG1)/2 = θG2,由(23)式知Wg2=0,2野不要加楔形板,(22) 式进一步简化为
W2=2W1tan(Wg0),W3=W1。 (24)
, 百拇医药
如果取Wg0=30°, 则3个野的靶区剂量权重比是1.00∶1.15∶1.00, 1野和3野均加30°楔形板; 如果取Wg0=45°, 则3个野的靶区剂量权重比是1∶2∶1,1野和3野均加45°楔形板,这正是文献[2]的结论; 同样, 也可以取15°或60°。究竟取哪一个角度, 可根据正常组织,尤其是危及器官的受照情况而定。
1.5 3个野非共面情况: 计算单位矢量
=
,以
为法线、过3个野轴线交点做平面P(图5),则每个射线野的方向矢量
与法线
的夹角为
(25)
, http://www.100md.com
图5 3个野非共面照射时,射线野方向矢量和剂量梯度矢量的空间分布
通过加楔形板的方法将每个射线野的剂量梯度从
的方向偏转到
在平面P内的投影方向,则3个野剂量梯度在平面 P内分布在超过180°的角度范围,其大小与平野剂量梯度的关系可表示为
Gi=Ga/sin(βi)。 (26)
剂量梯度方向可用单位矢量
表示,即
(27)
, 百拇医药
类似与3个野共面、分布在超过180°的机架角范围的情况,由方程(3)求得W2、W3与W1的关系为
(28)
其中αij是第i个射线野的剂量梯度
与第j个射线野的剂量梯度
的夹角,
(29)
, http://www.100md.com
3个射线野的楔形板角度分别为
Wgi=90°-βi。 (30)
3个射线野的楔形板方向分别为
(31)
由 (6) 式和(31) 式得
(32)
由 (7) 式和(32) 式得
(33)
, 百拇医药
通过观察REV,从(33) 式得到的2个准直器角度中选择可以保证楔形板方向与法线
的夹角大于90°的一个。当β1=β2=β3=90°时,3个射线野成为共面射线野, 因此3个野共面可视为3个野非共面情况的特例。
2 结果
应用前面介绍的方法,对2个野非横断面上共面、3个野非共面照射情况的2个例子在柯瑞特公司的三维治疗计划系统上进行了计算。
(1)2个野非共面照射情况举例: 对于颅内右侧颞叶肿瘤,临床常采用在横断面内2个野交角加楔形板的照射技术,但这种技术存在患者对侧眼睛受量偏高的缺点。如果采用非横断面上共面照射技术, 将2个射线野布置在冠状面内,则可以避免照射对侧眼睛。设2野权重相等,1野的机架角为90°, 床角为315°, 2个野的机架角为90°, 床角为45°, 2野夹角为90°, 则由(9) 式知2野应加45°楔形板, 1野准直器角应取为180°, 2野准直器角应取为0°, 保证楔形板方向与冠状面平行,并且厚端相对。计算得到的剂量分布显示, 90%等剂量线完全包括靶区。
, 百拇医药
(2)3个野非共面照射情况: 对于颅内中心部位的肿瘤,可采用关于床坐标系YT轴旋转对称的3个非共面射线野, 这些射线野与YT轴的夹角均等于45°, 并且每相邻的2个射线野在XT—ZT平面内的投影方向的夹角均等于120°, 其中1野机架角为45°, 床角为90°, 2野机架角为110.7°, 床角为49.1°, 3野机架角为249.3°, 床角为310.9°。显然, XT—ZT平面对应图5中的平面P, YT轴的正方向对应法线
, 故3个野的方向矢量
与法线
的夹角βi为45°, 3个野的剂量梯度夹角γij=120°, 由(28) 式知3个野的权重相等, 由(29) 式知3个野均应加45°楔形板, 由(33) 式和通过REV(room eye view)观察知3个野的准直器角分别为90°、202°、158°。在过靶区中心的横断面、冠状面和矢状面上,90%的等剂量线均完全包括靶区。
, 百拇医药
3 讨论
如上所述,当一个射线野入射方向确定后, 还需要确定它的权重、楔形板角度和决定楔形板方向的准直器角度3个参数。当射线野数目是2时,需要求6个参数的值, 根据剂量梯度理论的方程(3) ,并从临床应用出发, 可求得6个参数的唯一解。当射线野数目是3时,需要求9个参数的值, 除了上面给出的的一组可行解外, 实际还可以有其它可行解。以3个野共面为例, 还可以利用3个野分布对称 (即每2个野夹角均为120°)时可以不加楔形板的特点, 当3个野分布不对称时,通过加楔形板的办法使3个野剂量梯度偏转成对称分布,从而得到另一组解。当射线野数超过3时, 要求的参数更多,根据剂量梯度理论已不能确定这些参数值, 这时只有通过考虑正常组织的保护要求经手工多次调整或采取优化算法(如文献[5] 介绍的迭代算法)才能确定这些参数的值。但由剂量梯度理论对3个野情况的处理结果不难看出,当射线野数超过3时, 如果所有射线野共面并且分布在超过180°的平面角范围, 只需要调整权重即可保证靶区剂量均匀, 不需要加楔形板; 如果这些射线野是非共面射线野,并且分布在超过360°的立体角范围,也不需要加楔形板。
, http://www.100md.com
参考文献
1,Khan FM. The physics of radioation therapy. Baltimore: Williams and Wilkins, 1984.
2,胡逸民, 林宁,张春利,等. 楔形板临床应用的进一步探讨. 中国放射肿瘤学, 1988, 2:52-55.
3,Sherouse GW. A mathematical basis for selection of wedge angle and orientation. Med Phys, 1993, 20: 1211-1218.
4,Sidden RL. Solution to treatment planning problems using coordinate transformations. Med Phys, 1981, 8:766-774.
5,Xing L, Hamilton RJ, Pelizzari C, et al. A three-dimensional algorithm for optimizing beam weights and wedge filters. Med Phys, 1998, 25: 1858-1865.
(收稿日期:1999-09-02), http://www.100md.com
单位:戴建荣 杨勇 胡逸民 翟万聪(100021 北京,中国医学科学院中国协和医科大学肿瘤医院放射治疗科)
关键词:剂量梯度;权重;楔形板;治疗计划
New Page 1 【摘要】 目的 应用剂量梯度理论确定多野治疗方案时每个射线野的权重、楔形板角度及方向。方法 剂量梯度理论指出, 在X(γ)射线野轴线附近区域内,平野的剂量梯度的方向与射线野轴线平行; 楔形野的剂量梯度的方向与射线野轴线的夹角等于射线野的楔形板角度。对于多野治疗方案,为保证靶区剂量均匀,靶区范围内任意点总的剂量梯度必须为零,调整射线野权重或调整权重结合加楔形板的方法可使这一要求得到满足。依据这一理论, 对于2个野交角、3个野共面、3个野非共面这些情况, 推导得到计算射线野权重、楔形板角度及方向的公式。结果 对颅内肿瘤的2个野和3个野非共面方案进行了设计, 计算得到的靶区剂量是均匀的。结论 对于2个野、3个野共面或非共面照射的治疗计划, 采用上述方法可以直接确定射线野权重、楔形板角度及方向, 避免了手工多次调整;对于3个野以上共面或非共面情况, 提出确定射线野权重、楔形板角度及方向的一般性建议。
, 百拇医药
Determination of beam parameters by dose-gradient analysis
DAI Jianrong, YANG Yong, HU Yimin, et al
(Department of Radiation Oncology, Cancer Hospital, Chinese Academy of Medical Sciences, Peking Union Medical College, Beijing 100021, China)
【Abstract】 Objective To determine beam weight, wedge angles and wedge orientations by dose gradient analysis when a treatment plan has more than one photon beam. Methods As proposed by Sonntag and Sherouse, the dose gradient of a single open photon beam can be represented by a vector pointing towards the radiation source and parallel to the beam central axis. The effect of adding a wedge to the beam is to introduce a simple transaxial gradient. The dose gradient due to an ensemble of beams is the weighted sum of the constituent beams' individual gradients. The optimization criterion that dose be homogeneous over an irradiated volume is equivalent to the criterion that the magnitude of the dose gradient be zero throughout that volume. Given a fixed ensemble of beams, there are two ways to render the dose gradient zero: (1) To adjust relative beam weights and (or) (2) To add wedges to some beams. Here formulas are derived for calculating beam weights, wedge angles and collimator angles when a treatment plan has two coplanar beams, three coplanar beams or three noncoplanar beams. Results Two treatment plans are tested. One plan has two noncoplanar beams, and the other has three noncoplanar beams. The resulting dose distribution in the target volume is homogenous. Conclusion Through analysis of dose gradient, treatment plans can be improved as compared to those obtained through conventional manual trial and error process and planning time can be much reduced.
, 百拇医药
【Key words】 Dose gradient; Beam weight; Wedge; Treatment planning
在常规治疗计划设计时,射线野的权重都是经手工多次调整确定的。如果是2个野交角照射,为保证靶区剂量均匀,可根据教科书中介绍的方法选择楔形板方向和角度[1]。如果是3个野照射,其中2个野相对并且均与余下的1个野垂直,可根据文献[2]介绍的方法确定射线野权重、楔形板角度和方向。但对于其它更普遍的情况,尚未见类似方法的报道。近年来,三维治疗计划系统开始在临床使用,射线野布置的自由度增加,射线野入射方向不再限于横断面,从理论上讲,可以是三维空间的任何方向,调整射线野权重和选择楔形板角度、方向的难度变得更大。针对这种状况,出现了一些自动优化射线野权重和楔形板方向、角度的算法,但遗憾的是这些算法均没有包括在任何一个商业化的计划系统中。1975年,Sonntag首次用德文介绍了剂量梯度理论(analysis of dose gradient),但没有引起同行的关注。1993年Sherouse[3]又重新独立地用英文阐述之。这种理论以矢量分析为基础,可以确定共面或非共面布野时射线野权重和楔形板方向、角度这些参数。本文依据这种理论,推导出共面3个野、2个野交角或3个野照射时射线野权重和楔形板角度以及准直器转角这些参数的计算公式,并对共面或非共面多于3个野照射情况给出处理建议。
, 百拇医药
1 材料与方法
1.1 剂量梯度理论简介: X(γ)射线野的剂量梯度
当射线野不加楔形板时,在射线野轴线附近区域内的方向与射线野轴线平行,指向放射源位置,
, 百拇医药
图1 射线野的剂量梯度
为满足靶区剂量均匀的要求,必须保证在靶区范围内任意点剂量梯度为零。由于任意点的剂量梯度等于所有射线野剂量梯度的加权和,因此在靶区范围内,下式必须成立,即
其中Wi是第i个射线野对靶区剂量贡献的相对权重;
, 百拇医药
1.2 空间坐标系之间的转换关系: 治疗计划设计时,射线野与患者的空间位置关系是通过床(即患者)坐标系、固定坐标系和准直器坐标系之间的坐标变换而确定的。 当机器零位时, 所有的坐标系是重合的; 当床转动θT角时, 床坐标系ZT轴与固定坐标系ZF轴仍然是重合的, 而XT和YT轴分别相对于XF和YF转动了θT角; 当机架转动θG角时, 准直器坐标系YC轴与固定坐标系YF轴仍然是重合的, 而XC和ZC轴分别相对于XF和ZF转动了θG角(图2)。
, 百拇医药
图2 加速器坐标系的定义
定义射线野方向为沿射线野轴线指向放射源的方向, 用单位矢量
, 百拇医药
由上式得到的2个准直器角度代表的楔形板方向正好相反, 具体取哪一个可通过观察治疗计划系统的医生方向观(REV)所显示的楔形板形状选择。从各加器厂家的刻度规定看,准直器零度时,楔形板方向一般指向YC轴的正方向, 则无论机架角度θG是多大,
, 百拇医药
1.3 2个野交角情况: 此情况可描述为: 已知2个射线野的机架角是θG1和θG2,床角是θT1和θT2,求为保证靶区剂量均匀,2个野的权重W1 和W2、楔形板角度Wg1和Wg1、准直器旋转角度θc1和θc2应取多少?
在床坐标系中过2个射线野轴线可构筑一个平面P(图3), 2个轴线的夹角即铰链角(hinge angle)用θh表示,即
, 百拇医药
图3 2个野交角照射时,射线野方向矢量和楔形板方向矢量在平面P内的分布
借鉴横断面上2个野共面交角照射情况的处理办法,取2个射线野的权重相等,楔形板角度相等, 并且楔形板角度与铰链角的关系为
Wg1=Wg2=90°-θh/2, (9)
2个野楔形板方向矢量
, 百拇医药
其中
将(11)式代入(10)式得
由 (6) 式 和(12) 式得
, http://www.100md.com
由公式(7) 和(13)得1野的准直器角度为
θC1=arccos[sin(θT1-θT2)sinθG2/sinθh]或
θC1=360°-arccos[sin(θT1-θT2)sinθG2/sinθh]; (14)
类似地, 2野的准直器角度为
θC2=arccos[sin(θT2-θT1)sinθG1/sinθh]或
, http://www.100md.com θC2=360°-arccos[sin(θT2-θT1)sinθG1/sinθh]。 (15)
在射线野的2个准直器角度中应选择可以保证2个野的楔形板厚端相对的一个。特别是当θT1=θT2 或 θT1-θT2=±180°时,2个射线野成为横断面上的共面射线野,射线野的准直器角度为90°或270°。1.4 3个野在横断面上共面情况: 不失一般性,假设: (1) 3个野的机架角θG1<θG2<θG3; (2)为保证靶区内剂量梯度为零,各射线野的剂量梯度需通过加楔形板的方法、相对射线野轴线偏转某角度Δθ1、Δθ2和Δθ3。3个野在机架旋转平面内形成图4所示的分布。
, 百拇医药
图4 3个野共面照射时,剂量梯度矢量在固定坐标系XFZF平面内的分布
沿XF和YF轴分解
, http://www.100md.com
由(2)式得3个野剂量梯度的大小和平野剂量梯度的关系为
Gi=Ga/cos(Δθi), (17)
将(17)式代入方程组(16)式,将W1视为常量,W2和W3视为变量,则成为关于W2和W3的二元一次方程组,求解得W2、W3与W1之间的关系为
3个射线野的楔形板角度分别为
, 百拇医药 Wgi=|Δθi|。 (19)
3个射线野的准直器角度根据偏转角Δθi的正负分别取90°或270°。(18) 式 和(19)式表明,当3个野的入射方向确定后,射线野权重和楔形板角度随剂量梯度偏转角的变化而变化,射线野权重和楔形板角度的值将不是唯一的。因此还需要从临床角度考虑,对剂量梯度偏转角做出限制,可分为2种情况:① 当3个射线野分布超过180°的机架角范围,即3个野机架角满足条件 θG3-θG1>180°、θG2-θG1<180°和θG3-θG2<180°时,3个射线野可以不加楔形板,将Δθ1=Δθ2=Δθ3=0代入(18)式得
, 百拇医药
其中αij是第i个射线野与第j个射线野的夹角,i、j可等于1、2或3。②当3个射线野分布在小于或等于180°的机架角范围,即θG3-θG1≤180°时, 可以令
Δθ2=(θG3+θG1)/2-θG2, Δθ3=(-Δθ1)=Wg0, (21)
其中Wg0可以取一个方便的角度,如15° 、30°、45°或60°。将(21) 式代入(18)式得
W3=W1; (22)
, http://www.100md.com
将(22)式代入(19)式得
Wg1=Wg0, Wg2=(θG3+θG1)/2-θG2,Wg3=Wg0; (23)
如果1野和3野相对,并且均与2野垂直,这时有θG3-θG1=180°, (θG3+θG1)/2 = θG2,由(23)式知Wg2=0,2野不要加楔形板,(22) 式进一步简化为
W2=2W1tan(Wg0),W3=W1。 (24)
, 百拇医药
如果取Wg0=30°, 则3个野的靶区剂量权重比是1.00∶1.15∶1.00, 1野和3野均加30°楔形板; 如果取Wg0=45°, 则3个野的靶区剂量权重比是1∶2∶1,1野和3野均加45°楔形板,这正是文献[2]的结论; 同样, 也可以取15°或60°。究竟取哪一个角度, 可根据正常组织,尤其是危及器官的受照情况而定。
1.5 3个野非共面情况: 计算单位矢量
, http://www.100md.com
图5 3个野非共面照射时,射线野方向矢量和剂量梯度矢量的空间分布
通过加楔形板的方法将每个射线野的剂量梯度从
Gi=Ga/sin(βi)。 (26)
剂量梯度方向可用单位矢量
, 百拇医药
类似与3个野共面、分布在超过180°的机架角范围的情况,由方程(3)求得W2、W3与W1的关系为
其中αij是第i个射线野的剂量梯度
, http://www.100md.com
3个射线野的楔形板角度分别为
Wgi=90°-βi。 (30)
3个射线野的楔形板方向分别为
由 (6) 式和(31) 式得
由 (7) 式和(32) 式得
, 百拇医药
通过观察REV,从(33) 式得到的2个准直器角度中选择可以保证楔形板方向与法线
2 结果
应用前面介绍的方法,对2个野非横断面上共面、3个野非共面照射情况的2个例子在柯瑞特公司的三维治疗计划系统上进行了计算。
(1)2个野非共面照射情况举例: 对于颅内右侧颞叶肿瘤,临床常采用在横断面内2个野交角加楔形板的照射技术,但这种技术存在患者对侧眼睛受量偏高的缺点。如果采用非横断面上共面照射技术, 将2个射线野布置在冠状面内,则可以避免照射对侧眼睛。设2野权重相等,1野的机架角为90°, 床角为315°, 2个野的机架角为90°, 床角为45°, 2野夹角为90°, 则由(9) 式知2野应加45°楔形板, 1野准直器角应取为180°, 2野准直器角应取为0°, 保证楔形板方向与冠状面平行,并且厚端相对。计算得到的剂量分布显示, 90%等剂量线完全包括靶区。
, 百拇医药
(2)3个野非共面照射情况: 对于颅内中心部位的肿瘤,可采用关于床坐标系YT轴旋转对称的3个非共面射线野, 这些射线野与YT轴的夹角均等于45°, 并且每相邻的2个射线野在XT—ZT平面内的投影方向的夹角均等于120°, 其中1野机架角为45°, 床角为90°, 2野机架角为110.7°, 床角为49.1°, 3野机架角为249.3°, 床角为310.9°。显然, XT—ZT平面对应图5中的平面P, YT轴的正方向对应法线
, 百拇医药
3 讨论
如上所述,当一个射线野入射方向确定后, 还需要确定它的权重、楔形板角度和决定楔形板方向的准直器角度3个参数。当射线野数目是2时,需要求6个参数的值, 根据剂量梯度理论的方程(3) ,并从临床应用出发, 可求得6个参数的唯一解。当射线野数目是3时,需要求9个参数的值, 除了上面给出的的一组可行解外, 实际还可以有其它可行解。以3个野共面为例, 还可以利用3个野分布对称 (即每2个野夹角均为120°)时可以不加楔形板的特点, 当3个野分布不对称时,通过加楔形板的办法使3个野剂量梯度偏转成对称分布,从而得到另一组解。当射线野数超过3时, 要求的参数更多,根据剂量梯度理论已不能确定这些参数值, 这时只有通过考虑正常组织的保护要求经手工多次调整或采取优化算法(如文献[5] 介绍的迭代算法)才能确定这些参数的值。但由剂量梯度理论对3个野情况的处理结果不难看出,当射线野数超过3时, 如果所有射线野共面并且分布在超过180°的平面角范围, 只需要调整权重即可保证靶区剂量均匀, 不需要加楔形板; 如果这些射线野是非共面射线野,并且分布在超过360°的立体角范围,也不需要加楔形板。
, http://www.100md.com
参考文献
1,Khan FM. The physics of radioation therapy. Baltimore: Williams and Wilkins, 1984.
2,胡逸民, 林宁,张春利,等. 楔形板临床应用的进一步探讨. 中国放射肿瘤学, 1988, 2:52-55.
3,Sherouse GW. A mathematical basis for selection of wedge angle and orientation. Med Phys, 1993, 20: 1211-1218.
4,Sidden RL. Solution to treatment planning problems using coordinate transformations. Med Phys, 1981, 8:766-774.
5,Xing L, Hamilton RJ, Pelizzari C, et al. A three-dimensional algorithm for optimizing beam weights and wedge filters. Med Phys, 1998, 25: 1858-1865.
(收稿日期:1999-09-02), http://www.100md.com