邻醌鬼臼脂素的合成及其体外抗肿瘤细胞活性
作者:何勇 马维勇 陈秀华 张椿年
单位:上海医药工业研究院,上海 200040
关键词:鬼臼脂素衍生物;抗肿瘤;合成
中国药物化学杂志000402 摘 要 鬼臼脂素类衍生物体内作用模式之一是经氧化生成醌式中间体而进一步发挥作用.本文作者设计合成了4-去氧-4β-酰胺基-3′,4′-邻醌式鬼臼脂素,测试了其体外抑制KB细胞和L1210白血病细胞活性,并对结果进行了探讨.
Synthesis of 4-Deoxy-4β-amido-3′,4′-semiquinonepodophyllotoxin
and Their Antitumor Activities in vitro
He Yong,Ma Weiyong,Chen Xiuhua,Zhang Chunnian
, 百拇医药
(Shanghai Institue of Pharmaceutical Industry,Shanghai 200040)
Abstract Considering that one of the mechanisms acting upon tumour cells of podophyllotoxin derivatives in vivo was to form semiquinone on ring C,4-Deoxy-4β-amido-3′,4′-semiquinonepodophyllotoxin was synthesized and their activities against KB cells and L1210 leukemia cells were tested.
Key words
Key words podophyllotoxin;podophyllotoxin derivatives;antitumor;synthesis
, 百拇医药
根据鬼臼脂素衍生物自由基作用模式,在体内经氧化生成醌式中间体而进一步发挥作用.有文献报道确实在VP-16及VM-26体内代谢过程中生成了相应的E环邻醌产物(见图1).体外抗肿瘤活性试验表明:该化合物抑制DNA拓扑异构酶Ⅱ活性强于VP-16,体内抗P388白血病活性优于VP-16,但体外抗HCT116活性低于母体化合物.文献表明,鬼臼脂素E环邻醌式衍生物体外细胞毒活性低于相对应的母体化合物,而对拓扑
Fig.1 3′,4′-Semiquinone of VP-16 and VM-26
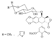
Fig.2 The structure of the target compounds
, http://www.100md.com
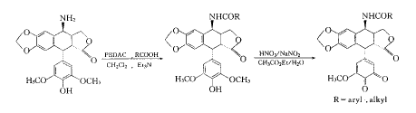
Fig.3 The routine of synthesis of the target compounds
该类化合物具有明显的谱学特征.1H-NMR中,E环上质子化学位移变化明显,只含一个甲氧基,6′-H移至高场.多数化合物质谱出现M+2峰,可能跟质谱分析加热过程中随分子变化猎获氢质子有关.此类化合物在硅胶柱上有杂质生成.这些特征与文献〔8〕报道相符合.理化性质见表1.
对表1中所列化合物进行了体外抗L1210白血病细胞和KB细胞活性试验,以VP-16为阳性对照,结果见表2.
Tab.1 The physical-chemical properties of the target compounds Target compounds R
MS(M+)
, http://www.100md.com
mp/℃
Yield/%
Target compounds R
MS(M+)
mp/℃
Yield/%
501
234
5.18
532
>250
17.7
, http://www.100md.com
240
28.3
—CH2CH3
439
250
21.6
<
579
241
22.6
517
229
11.0
, 百拇医药
< —CH3
425
222
17.4
487
243
10.1
< —CH2Br
503
209
21.4
—(CH2)3CH3
, 百拇医药
467
>250
22.5
<
555
232
34.9
—CF3
479
246
16.1
<
517
, http://www.100md.com
228
13.1
—C(CH3)3
467
216
11.8
—CH2CH2CH3
453
210
24.1
—CH2I
, 百拇医药
218
23.2
Tab.2 IC50 of target compounds against L1210 and KB Cells in vitro
Target compounds R
L1210 IC50/μg*mL-1
KB IC50/μg*mL-1
Target compounds R
L1210 IC50/μg*mL-1
, 百拇医药
KB IC50/μg*mL-1
0.431
>10
0.408
2.68
>10
>10
—CH2CH3
1.93
>10
<
>10
, 百拇医药
>10
0.442
>10
< —CH3
5.90
7.47
1.81
>10
< —CH2Br
0.652
>10
—(CH2)3CH3
, http://www.100md.com
>10
>10
<
>10
>10
—CF3
0.125
3.42
<
0.239
3.91
—C(CH\-3)\-3
1.23
, http://www.100md.com
>10
—CH2CH2CH3
453
210
24.1
—CH2CH2CH3
3.48
>10
—CH2I
218
23.2
, http://www.100md.com
—CH2I
1.02
>10
VP-16
0.642
2.97
所有化合物体外抑制L1210活性和KB细胞活性均弱于VP-16和对映的酰胺化合物.从得到的实验结果来看,当E环被氧化成邻醌式结构后,体外细胞毒活性降低,与文献报道一致.而图1所示E-环邻醌式化合物体外抑制DNA拓扑异构酶Ⅱ活性增强,体内抗P388白血病细胞活性更佳,提示对于鬼臼脂素类抗肿瘤药物的筛选,应建立具针对性的筛选体系,以使体外筛选结果能与体内筛选结果较好地保持一致.
1 实验部分
, http://www.100md.com
熔点由Thiele熔点测定管和Mettler FP-62全自动熔点测定仪测定,温度未经校正.MS由Varian MAT212型质谱仪测定.1H-NMR由Varian Inova-400型、Bruker AM-400型核磁共振仪测定.元素分析用Carlo-Erba 1106型元素自动分析仪测定.
1.1 4-去氧-4β-氨基-4′-去甲鬼臼脂素的制备
叠氮酸/苯溶液的制备:取叠氮钠25 g、水25 mL及苯150 mL分别加入到500 mL的烧杯中,冷却到0℃,滴加浓硫酸10.5 mL,保持温度在10℃以下,有机层用无水硫酸钠干燥,待用.
取4′-去甲表鬼臼脂素25 g、叠氮酸/苯溶液90 mL、二氯甲烷500 mL分别加入到1000 mL的圆底烧瓶中,用冰盐浴冷却到-15℃以下,在1 h内滴加15 mL三氟化硼乙醚,反应3 h,固体溶解,加入15 mL吡啶终止反应.加水使固体溶解,有机层分出后分别用水、1 mol/L盐酸、水、5%碳酸氢钠溶液、水洗涤,无水硫酸钠干燥.蒸干后得25 g白色固体4-去氧-4β-叠氮基-4′-去甲鬼臼脂素.mp 212~215℃,与文献报道一致.
, http://www.100md.com
将上述所得4-去氧-4β-叠氮基-4′-去甲鬼臼脂素25 g溶于700 mL乙酸乙酯,采用10% Pd/C催化,在7~8 MPa,50℃下氢化8 h,滤去催化剂,减压蒸干溶剂,得22 g白色粉末状固体.采用乙酸乙酯-环己烷(V∶V=3∶2)分次柱层析得18 g 4-去氧-4β-氨基-4′-去甲鬼臼脂素.mp 227~230℃,与文献报道一致.
1.2 目标化合物的制备通法
酸酐的制备:以吡啶为溶剂,羧酸在对甲苯磺酰氯作用下,可生成对应的酸酐.以此方法分别制备了对甲基苯甲酸酐、间甲氧基苯甲酸酐、对硝基苯甲酸酐、对甲氧基苯甲酸酐等,不需提纯即可用于下一步反应.
4-去氧-4β-酰胺基-4′-去甲鬼臼脂素的制备:方法1:将等摩尔的酸酐和4-去氧-4β-氨基-4-去甲鬼臼脂素溶于二氯甲烷中,在少量吡啶催化下反应,以三氯甲烷-丙酮(V∶V=14∶1)为洗脱剂,柱层析,得4-去氧-4β-酰胺基-4′-去甲鬼臼脂素.收率:80%~90%.方法2:将等摩尔的羧酸和4-去氧-4β-氨基-4-去甲鬼臼脂素溶于二氯甲烷中,加入二倍摩尔数的三乙胺、等摩尔的BPDAC(N,N-Bis(2-oxo-3-oxazolidinyl)phosphorodimidic chloride),室温反应,稀释后水洗,有机层用无水硫酸钠干燥,三氯甲烷-丙酮(V∶V=14∶1)为洗脱剂,柱层析,得4-去氧-4β-酰胺基-4′-去甲鬼臼脂素.收率:65%~75%.
, http://www.100md.com
目标化合物的制备:取4-去氧-4β-酰胺基-4′-去甲鬼臼脂素200 mg、乙酸乙酯10 mL、亚硝酸钠1.2 g及10 mL水,分别加入到50 mL圆底烧瓶中,在冰水浴中冷却,将0.5 mL浓硝酸溶于0.5 mL水中后滴加到反应液中,反应液迅速变红,30 min后停止搅拌,静置2 h,加入碳酸氢钠中和,乙酸乙酯稀释,分出有机层,水相用乙酸乙酯提取(20 mL×2),有机层合并,无水硫酸钠干燥过夜.过滤,蒸去大部分溶剂,少量二氯甲烷溶解,加乙醚,析出固体即产品.以4-去氧-4β-丙酰胺-3′,4′-邻醌式鬼臼脂素为例,理化性质如下:
mp 210℃.MS m/z:441(M++2).元素分析C23H21NO8*3/2H2O,Calcd(%):C 59.23,H 5.15,N 3.00;Found(%):C 59.19,H 4.89,N 3.40.1H-NMR(DMSO-d6)δ:8.15(d,1H-NH),6.73(S,1H-5),6.67(S,1H-8),6.26(S,1H-2′),6.02(S,2H-13),5.17(S,1H-6′),5.11(m,1H-4),4.42(d,1H-1),4.35~4.40(m,1H-11β),3.75~3.81(m,1H-11α),3.65(S,3H-OCH3),2.91~2.98(m,1H-3),2.10~2.16(m,2H-CH2CH3),0.95~1.05(m,3H-CH2CH3).
, 百拇医药
参 考 文 献
1,王志光,马维勇,黄营火,等.鬼臼毒素的化学与抗肿瘤活性研究.中国药物化学杂志,1993,3(1):17~20
2,尹述凡,王志光,马维勇,等.4-取代氨基甲酰胺基-4-脱氧-4′-去甲表鬼臼毒素衍生物的合成及其抗肿瘤活性.中国药科大学学报,1993,24(3):134~138
3,尹述凡,王志光,马维勇,等.4-O-卤代酰基表鬼臼毒素类似物的合成与抗肿瘤活性.药学学报,1993,28(10):758~761
4,王志光,尹述凡,马维勇,等.4-酰胺基-4-脱氧-4′-去甲表鬼臼毒素衍生物的合成和抗肿瘤活性.药学学报,1993,28(6):422~427
5,Cabre J,Palomo AL.New experimental strategies in amide systhesis using N,N-bis(2-oxo-3-oxazolidinyl) phosphorodiamidic choride.Synth,1984,413~417
, http://www.100md.com
6,Pelter A,Ward RS.The production of a novel podophyllotoxin derivative.J Nat Prod,1993,56(12):2204~2206
7,Ayres DC,Lim CK.Lignans and related phenols.Part7.Modification of the pendent ring of podophyllotoxin.Cancer Chemotherapy and Pharmacology,1982,7(2~3):99~101
8,Ayres DC,Ritchie T.Lignans and related phenols.Part 18.The synthesis of quinones from podophyllotoxin and its analogues.J Chem Soc,Perkin TransⅠ,1988,2573
收稿日期:2000-08-18, 百拇医药
单位:上海医药工业研究院,上海 200040
关键词:鬼臼脂素衍生物;抗肿瘤;合成
中国药物化学杂志000402 摘 要 鬼臼脂素类衍生物体内作用模式之一是经氧化生成醌式中间体而进一步发挥作用.本文作者设计合成了4-去氧-4β-酰胺基-3′,4′-邻醌式鬼臼脂素,测试了其体外抑制KB细胞和L1210白血病细胞活性,并对结果进行了探讨.
Synthesis of 4-Deoxy-4β-amido-3′,4′-semiquinonepodophyllotoxin
and Their Antitumor Activities in vitro
He Yong,Ma Weiyong,Chen Xiuhua,Zhang Chunnian
, 百拇医药
(Shanghai Institue of Pharmaceutical Industry,Shanghai 200040)
Abstract Considering that one of the mechanisms acting upon tumour cells of podophyllotoxin derivatives in vivo was to form semiquinone on ring C,4-Deoxy-4β-amido-3′,4′-semiquinonepodophyllotoxin was synthesized and their activities against KB cells and L1210 leukemia cells were tested.
Key words
Key words podophyllotoxin;podophyllotoxin derivatives;antitumor;synthesis
, 百拇医药
根据鬼臼脂素衍生物自由基作用模式,在体内经氧化生成醌式中间体而进一步发挥作用.有文献报道确实在VP-16及VM-26体内代谢过程中生成了相应的E环邻醌产物(见图1).体外抗肿瘤活性试验表明:该化合物抑制DNA拓扑异构酶Ⅱ活性强于VP-16,体内抗P388白血病活性优于VP-16,但体外抗HCT116活性低于母体化合物.文献表明,鬼臼脂素E环邻醌式衍生物体外细胞毒活性低于相对应的母体化合物,而对拓扑
Fig.1 3′,4′-Semiquinone of VP-16 and VM-26
Fig.2 The structure of the target compounds
, http://www.100md.com
Fig.3 The routine of synthesis of the target compounds
该类化合物具有明显的谱学特征.1H-NMR中,E环上质子化学位移变化明显,只含一个甲氧基,6′-H移至高场.多数化合物质谱出现M+2峰,可能跟质谱分析加热过程中随分子变化猎获氢质子有关.此类化合物在硅胶柱上有杂质生成.这些特征与文献〔8〕报道相符合.理化性质见表1.
对表1中所列化合物进行了体外抗L1210白血病细胞和KB细胞活性试验,以VP-16为阳性对照,结果见表2.
Tab.1 The physical-chemical properties of the target compounds Target compounds R
MS(M+)
, http://www.100md.com
mp/℃
Yield/%
Target compounds R
MS(M+)
mp/℃
Yield/%
501
234
5.18
532
>250
17.7
, http://www.100md.com
240
28.3
—CH2CH3
439
250
21.6
<
579
241
22.6
517
229
11.0
, 百拇医药
< —CH3
425
222
17.4
487
243
10.1
< —CH2Br
503
209
21.4
—(CH2)3CH3
, 百拇医药
467
>250
22.5
<
555
232
34.9
—CF3
479
246
16.1
<
517
, http://www.100md.com
228
13.1
—C(CH3)3
467
216
11.8
—CH2CH2CH3
453
210
24.1
—CH2I
, 百拇医药
218
23.2
Tab.2 IC50 of target compounds against L1210 and KB Cells in vitro
Target compounds R
L1210 IC50/μg*mL-1
KB IC50/μg*mL-1
Target compounds R
L1210 IC50/μg*mL-1
, 百拇医药
KB IC50/μg*mL-1
0.431
>10
0.408
2.68
>10
>10
—CH2CH3
1.93
>10
<
>10
, 百拇医药
>10
0.442
>10
< —CH3
5.90
7.47
1.81
>10
< —CH2Br
0.652
>10
—(CH2)3CH3
, http://www.100md.com
>10
>10
<
>10
>10
—CF3
0.125
3.42
<
0.239
3.91
—C(CH\-3)\-3
1.23
, http://www.100md.com
>10
—CH2CH2CH3
453
210
24.1
—CH2CH2CH3
3.48
>10
—CH2I
218
23.2
, http://www.100md.com
—CH2I
1.02
>10
VP-16
0.642
2.97
所有化合物体外抑制L1210活性和KB细胞活性均弱于VP-16和对映的酰胺化合物.从得到的实验结果来看,当E环被氧化成邻醌式结构后,体外细胞毒活性降低,与文献报道一致.而图1所示E-环邻醌式化合物体外抑制DNA拓扑异构酶Ⅱ活性增强,体内抗P388白血病细胞活性更佳,提示对于鬼臼脂素类抗肿瘤药物的筛选,应建立具针对性的筛选体系,以使体外筛选结果能与体内筛选结果较好地保持一致.
1 实验部分
, http://www.100md.com
熔点由Thiele熔点测定管和Mettler FP-62全自动熔点测定仪测定,温度未经校正.MS由Varian MAT212型质谱仪测定.1H-NMR由Varian Inova-400型、Bruker AM-400型核磁共振仪测定.元素分析用Carlo-Erba 1106型元素自动分析仪测定.
1.1 4-去氧-4β-氨基-4′-去甲鬼臼脂素的制备
叠氮酸/苯溶液的制备:取叠氮钠25 g、水25 mL及苯150 mL分别加入到500 mL的烧杯中,冷却到0℃,滴加浓硫酸10.5 mL,保持温度在10℃以下,有机层用无水硫酸钠干燥,待用.
取4′-去甲表鬼臼脂素25 g、叠氮酸/苯溶液90 mL、二氯甲烷500 mL分别加入到1000 mL的圆底烧瓶中,用冰盐浴冷却到-15℃以下,在1 h内滴加15 mL三氟化硼乙醚,反应3 h,固体溶解,加入15 mL吡啶终止反应.加水使固体溶解,有机层分出后分别用水、1 mol/L盐酸、水、5%碳酸氢钠溶液、水洗涤,无水硫酸钠干燥.蒸干后得25 g白色固体4-去氧-4β-叠氮基-4′-去甲鬼臼脂素.mp 212~215℃,与文献报道一致.
, http://www.100md.com
将上述所得4-去氧-4β-叠氮基-4′-去甲鬼臼脂素25 g溶于700 mL乙酸乙酯,采用10% Pd/C催化,在7~8 MPa,50℃下氢化8 h,滤去催化剂,减压蒸干溶剂,得22 g白色粉末状固体.采用乙酸乙酯-环己烷(V∶V=3∶2)分次柱层析得18 g 4-去氧-4β-氨基-4′-去甲鬼臼脂素.mp 227~230℃,与文献报道一致.
1.2 目标化合物的制备通法
酸酐的制备:以吡啶为溶剂,羧酸在对甲苯磺酰氯作用下,可生成对应的酸酐.以此方法分别制备了对甲基苯甲酸酐、间甲氧基苯甲酸酐、对硝基苯甲酸酐、对甲氧基苯甲酸酐等,不需提纯即可用于下一步反应.
4-去氧-4β-酰胺基-4′-去甲鬼臼脂素的制备:方法1:将等摩尔的酸酐和4-去氧-4β-氨基-4-去甲鬼臼脂素溶于二氯甲烷中,在少量吡啶催化下反应,以三氯甲烷-丙酮(V∶V=14∶1)为洗脱剂,柱层析,得4-去氧-4β-酰胺基-4′-去甲鬼臼脂素.收率:80%~90%.方法2:将等摩尔的羧酸和4-去氧-4β-氨基-4-去甲鬼臼脂素溶于二氯甲烷中,加入二倍摩尔数的三乙胺、等摩尔的BPDAC(N,N-Bis(2-oxo-3-oxazolidinyl)phosphorodimidic chloride),室温反应,稀释后水洗,有机层用无水硫酸钠干燥,三氯甲烷-丙酮(V∶V=14∶1)为洗脱剂,柱层析,得4-去氧-4β-酰胺基-4′-去甲鬼臼脂素.收率:65%~75%.
, http://www.100md.com
目标化合物的制备:取4-去氧-4β-酰胺基-4′-去甲鬼臼脂素200 mg、乙酸乙酯10 mL、亚硝酸钠1.2 g及10 mL水,分别加入到50 mL圆底烧瓶中,在冰水浴中冷却,将0.5 mL浓硝酸溶于0.5 mL水中后滴加到反应液中,反应液迅速变红,30 min后停止搅拌,静置2 h,加入碳酸氢钠中和,乙酸乙酯稀释,分出有机层,水相用乙酸乙酯提取(20 mL×2),有机层合并,无水硫酸钠干燥过夜.过滤,蒸去大部分溶剂,少量二氯甲烷溶解,加乙醚,析出固体即产品.以4-去氧-4β-丙酰胺-3′,4′-邻醌式鬼臼脂素为例,理化性质如下:
mp 210℃.MS m/z:441(M++2).元素分析C23H21NO8*3/2H2O,Calcd(%):C 59.23,H 5.15,N 3.00;Found(%):C 59.19,H 4.89,N 3.40.1H-NMR(DMSO-d6)δ:8.15(d,1H-NH),6.73(S,1H-5),6.67(S,1H-8),6.26(S,1H-2′),6.02(S,2H-13),5.17(S,1H-6′),5.11(m,1H-4),4.42(d,1H-1),4.35~4.40(m,1H-11β),3.75~3.81(m,1H-11α),3.65(S,3H-OCH3),2.91~2.98(m,1H-3),2.10~2.16(m,2H-CH2CH3),0.95~1.05(m,3H-CH2CH3).
, 百拇医药
参 考 文 献
1,王志光,马维勇,黄营火,等.鬼臼毒素的化学与抗肿瘤活性研究.中国药物化学杂志,1993,3(1):17~20
2,尹述凡,王志光,马维勇,等.4-取代氨基甲酰胺基-4-脱氧-4′-去甲表鬼臼毒素衍生物的合成及其抗肿瘤活性.中国药科大学学报,1993,24(3):134~138
3,尹述凡,王志光,马维勇,等.4-O-卤代酰基表鬼臼毒素类似物的合成与抗肿瘤活性.药学学报,1993,28(10):758~761
4,王志光,尹述凡,马维勇,等.4-酰胺基-4-脱氧-4′-去甲表鬼臼毒素衍生物的合成和抗肿瘤活性.药学学报,1993,28(6):422~427
5,Cabre J,Palomo AL.New experimental strategies in amide systhesis using N,N-bis(2-oxo-3-oxazolidinyl) phosphorodiamidic choride.Synth,1984,413~417
, http://www.100md.com
6,Pelter A,Ward RS.The production of a novel podophyllotoxin derivative.J Nat Prod,1993,56(12):2204~2206
7,Ayres DC,Lim CK.Lignans and related phenols.Part7.Modification of the pendent ring of podophyllotoxin.Cancer Chemotherapy and Pharmacology,1982,7(2~3):99~101
8,Ayres DC,Ritchie T.Lignans and related phenols.Part 18.The synthesis of quinones from podophyllotoxin and its analogues.J Chem Soc,Perkin TransⅠ,1988,2573
收稿日期:2000-08-18, 百拇医药