祁州漏芦中的植物甾酮类成分
作者:李希强 王金辉 王素贤 李铣
单位:沈阳药科大学中药系,沈阳 110015
关键词:祁州漏芦;蜕皮甾酮-3-O-β-D-葡萄糖苷(ecdysterone-3-O-β-D-glucopyranoside);蜕皮甾酮-25-O-β-D-葡萄糖苷(ecdysterone-25-O-β-D-glucopyranoside)
沈阳药科大学学报000410 摘 要 自祁州漏芦(Rhaponticum uniflorum(L.)DC.)的根中分离得到4种植物甾酮类成分,根据理化常数和波谱数据鉴定为蜕皮甾酮(ecdysterone)(1),筋骨草甾酮C(ajugasterone C)(2),蜕皮甾酮-3-O-β-D-葡萄糖苷(ecdysterone-3-O-β-D-glucopyranoside)(3),蜕皮甾酮-25-O-β-D-葡萄糖苷(ecdysterone-25-O-β-D-glucopyranoside)(4),其中化合物3,4,为从本属植物中首次分离.
, 百拇医药
分类号 R932
Phytoecdysones of Rhaponticum uniflorum(L.)DC.
Li Xiqiang,Wang Jinhui,Wang Suxian,Li Xian
(Department of Traditional Chinese Medicines,Shenyang Pharmaceutical University,Shenyang 110015)
Abstract Four phytoecdysones were isolated from the roots of Rhaponticum uniflorum(L.)DC.On the basis of physical and chemical properties and spectra data,they were identified as ecdysterone(1),ajugasterone C(2),ecdysterone-3-O-β-D-glucopyranoside)(3),ecdysterone-25-O-β-D-glucopyranoside(4).Compound 3 and 4 were isolated from this plant for the first time.
, 百拇医药
Key words Rhaponticum uniflorum(L.)DC.; ecdysterone-3-O-β-D-glucopyranoside)(3);ecdysterone-25-O-β-D-glucopyranoside(4)
祁州漏芦为菊科(Compositae)漏芦属(Rhaponticum)多年生草本植物,药用其根,具有清热解毒,舒筋通脉的功效〔1〕.据文献报道已从中分出8种植物甾酮类成分〔2,3〕.
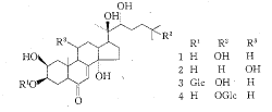
本实验通过硅胶柱色谱和高效液相色谱,从漏芦的乙醇提取物中分离得到2种植物甾酮苷类成分,经UV,1H-NMR,13C-NMR,1H-1H COSY,HMQC,HMBC分别鉴定为蜕皮甾酮-3-O-β-D-葡萄糖苷(ecdysterone-3-O-β-D-glucopyranoside)(3),蜕皮甾酮-25-O-β-D-葡萄糖苷(ecdysterone-25-O-β-D-glucopyranoside)(4),为从本属植物中首次分离.同时分离得到蜕皮甾酮(ecdysterone)(1)和筋骨草甾酮C(ajugasterone C)(2)(见图1).
, http://www.100md.com
Fig.1 The compounds isolated from this plant
1 仪器与材料
紫外光谱:Shimadzu UV-260型紫外-可见分光光度计;核磁共振光谱:BRUKER-ARX-300型核磁共振光谱仪(TMS内标).薄层层析用及柱层析用硅胶(200-300目)均为青岛海洋化工厂生产.HPLC用Shimadzu CTO-6A高效液相色谱仪,层析柱为ODS-5(20 mm i.d.,×25 cm).层析用溶剂均为AR级.祁州漏芦购自辽宁省药材站,由本校中药鉴定教研室许春泉高级工程师鉴定为祁州漏芦[Rhaponticum uniflorum(L.) DC.].
2 提取分离
祁州漏芦的干燥根3 kg用90%乙醇加热回流提取,回收乙醇,得浓缩液.用石油醚、氯仿、乙酸乙酯、正丁醇萃取.取部分正丁醇萃取物,硅胶柱层析,氯仿∶甲醇梯度洗脱,氯仿∶甲醇(100∶4)洗下第527~536份得化合物2,第539~549份得化合物1,第629份经高效液相分离得化合物3和4.
, http://www.100md.com
3 结构鉴定
化合物1:白色粉末,UVλmax(MeOH):242 nm.1H-NMR(300 Hz,C5D5N)δ:6.23(1H,br.s,H-7),1.20(3H,s,H-18),1.07(3H,s,H-19),1.57(3H,s,H-21),1.37(6H,s,H-26,27).13C-NMR(75.4 Hz,C5D5N):数据见表1.
化合物2:白色粉末,UVλmax(MeOH):241 nm.1H-NMR(300 Hz,C5D5N)δ:6.30(1H,br.s,H-7),1.27(3H,s,H-18),1.32(3H,s,H-19),1.57(3H,s,H-21),0.81(3H,d,J=5 Hz,H-26),0.80(3H,d,J=5 Hz,H-27).13C-NMR(75.4 Hz,C5D5N):数据见表1.
, http://www.100md.com
化合物3:白色粉末,Molish反应阳性,酸水解检出葡萄糖,Libermann-Burchard反应阳性,说明其具有三萜或甾体母核.紫外λmax=242 nm,Tab.1 The 13C-NMR data of compounds 1~4(In C5D5N) No
1
2
3
4
No
1
2
3
, 百拇医药
4
1
38.0
39.6
38.1
37.9
18
18.0
18.9
17.3
17.9
2
68.2
, 百拇医药
68.4
67.0
68.1
19
24.6
24.8
23.6
24.4
3
68.2
68.2
76.3
68.0
, http://www.100md.com
20
77.0
76.8
77.0
76.9
4
32.5
32.9
30.1
32.4
21
21.8
21.6
, 百拇医药
21.2
21.7
5
51.5
52.1
50.8
51.4
22
77.7
76.8
77.9
77.7
6
, 百拇医药
203.7
203.9
202.4
203.7
23
27.6
30.2
27.0
26.6
7
121.8
122.3
121.1
, 百拇医药
121.7
24
42.7
37.0
42.2
39.8
8
166.3
164.2
165.8
166.1
25
69.8
, http://www.100md.com
28.2
69.0
77.4
9
34.6
42.8
33.7
34.4
26
30.1
23.3
29.6
27.5
, 百拇医药
10
38.8
39.9
38.5
38.6
27
30.1
22.4
29.5
27.6
11
21.3
68.9
, http://www.100md.com
20.6
21.1
1′
103.7
98.8
12
31.9
44.2
31.3
32.0
2′
74.2
75.5
, http://www.100md.com
13
48.2
48.2
47.5
48.1
3′
78.1
78.7
14
84.4
84.3
83.6
84.3
, http://www.100md.com
4′
71.1
72.1
15
32.1
32.0
31.4
31.7
5′
77.2
78.5
16
21.6
, http://www.100md.com
21.5
21.0
21.4
6′
62.0
63.4
1H-NMR谱中,给出烯氢质子信号(δ6.21,br.s,1H),13C-NMR谱中给出δ202.4处的羰基碳信号及165.8和121.1处的双键碳信号,结合其他碳谱、氢谱数据推测该化合物为植物甾酮苷类.将化合物3的碳谱数据与蜕皮甾酮的数据〔2〕比较发现,二者C5-C27的数据基本一致,C1的化学位移也没有变化,而在δ110~60区域中多出6个连氧碳信号(δ103.7,74.2,78.1,71.1,77.2,62.0),同时C2的化学位移值向高场位移1.0,C3的数值向低场位移8.1,C4的数值向高场位移2.4,根据苷化位移的规律,推测该化合物结构中葡萄糖接在C3位上,HMBC谱中(见图2),葡萄糖上的端基氢(δ4.91,d,J=7.5 Hz,1H)与C3(δ76.3)有远程相关,证实葡萄糖接在3位上,且为β构型.综上所述,鉴定该化合物为蜕皮甾酮-3-O-β-D-葡萄糖苷.其13C-NMR数据与文献基本一致〔5〕.1H-NMR(300 Hz,C5D5N)δ:6.21(1H,br.s,H-7),1.18(3H,s,H-18),0.87(3H,s,H-19),1.57(3H,s,H-21),1.36(6H,s,H-26,27).13C-NMR(75.4 Hz,C5D5N):数据见表1. 化合物4:白色粉末,Molish反应阳性,酸水解检出葡萄糖,Libermann-Burchard反应阳性,说明其具有三萜或甾体母核.紫外λmax=242 nm,1H-NMR谱中,给出烯氢质子信号(δ6.21,br.s,1H),13C-NMR谱中给出δ203.7处的羰基碳信号及166.1和121.7处的双键碳信号,结合其他碳谱、氢谱数据推测该化合物为植物甾酮苷类.将化合物4的碳谱数据与蜕皮甾酮的数据比较发现,二者C1-C23的数据基本一致,而在δ110~60区域中多出6个连氧碳信号(δ98.8,75.5,78.7,72.1,78.5,63.4),同时C24的数值向高场位移2.5,C25的数值向低场位移7.6,C26,27的数值向高场位移2.1,根据苷化位移的规律,推测该化合物结构中葡萄糖接在C25位上,由于糖的端基氢质子的偶合常数为7.6 Hz,说明糖的构型为β-构型.该化合物的1H-NMR和13C-NMR数据与文献中的蜕皮甾酮-25-O-β-D-葡萄糖苷基本一致〔6〕,故鉴定其为蜕皮甾酮-25-O-β-D-葡萄糖苷.1H-NMR(300 Hz,C5D5N)δ:6.21(1H,br.s,H-7),1.18(3H,s,H-18),1.04(3H,s,H-19),1.56(3H,s,H-21),1.31(3H,s,H-26),1.37(3H,s,H-27). 13C-NMR(75.4 Hz,C5D5N):数据见表1.
, 百拇医药
Fig.2 HMBC correlation of compound 3
致谢 本实验所用药材由本校中药鉴定教研室许春泉高级工程师鉴定;UV,NMR谱均由本校测试中心测试,在此一并表示感谢.
参考文献
1,江苏新医学院.中药大辞典:下册.上海:上海人民出版社,1997.2576~2577
2,果得安,楼之芩,高从云.祁州漏芦蜕皮甾酮类化学成分的研究.药学学报,1991,26(6):442~446
3,姜晓峰,李铣.祁州漏芦地上部位的植物蜕皮激素化合物.中草药,1997,28(5):262~264
4,Girault JR,Batbori M,Uarga E,et al.Isolation and identification of new ecdysteroids from the Caryophpllaceae.J Nat Prod,1990,21:795~801
5,Nishimoto N,Shiobara Y,Inove SS,et al.Three ecdysteroid glycosides from Pfaffia iresinoides.Phytochemistry,1988,27(6):1665~1668
收稿日期:1999-12-17
, 百拇医药
单位:沈阳药科大学中药系,沈阳 110015
关键词:祁州漏芦;蜕皮甾酮-3-O-β-D-葡萄糖苷(ecdysterone-3-O-β-D-glucopyranoside);蜕皮甾酮-25-O-β-D-葡萄糖苷(ecdysterone-25-O-β-D-glucopyranoside)
沈阳药科大学学报000410 摘 要 自祁州漏芦(Rhaponticum uniflorum(L.)DC.)的根中分离得到4种植物甾酮类成分,根据理化常数和波谱数据鉴定为蜕皮甾酮(ecdysterone)(1),筋骨草甾酮C(ajugasterone C)(2),蜕皮甾酮-3-O-β-D-葡萄糖苷(ecdysterone-3-O-β-D-glucopyranoside)(3),蜕皮甾酮-25-O-β-D-葡萄糖苷(ecdysterone-25-O-β-D-glucopyranoside)(4),其中化合物3,4,为从本属植物中首次分离.
, 百拇医药
分类号 R932
Phytoecdysones of Rhaponticum uniflorum(L.)DC.
Li Xiqiang,Wang Jinhui,Wang Suxian,Li Xian
(Department of Traditional Chinese Medicines,Shenyang Pharmaceutical University,Shenyang 110015)
Abstract Four phytoecdysones were isolated from the roots of Rhaponticum uniflorum(L.)DC.On the basis of physical and chemical properties and spectra data,they were identified as ecdysterone(1),ajugasterone C(2),ecdysterone-3-O-β-D-glucopyranoside)(3),ecdysterone-25-O-β-D-glucopyranoside(4).Compound 3 and 4 were isolated from this plant for the first time.
, 百拇医药
Key words Rhaponticum uniflorum(L.)DC.; ecdysterone-3-O-β-D-glucopyranoside)(3);ecdysterone-25-O-β-D-glucopyranoside(4)
祁州漏芦为菊科(Compositae)漏芦属(Rhaponticum)多年生草本植物,药用其根,具有清热解毒,舒筋通脉的功效〔1〕.据文献报道已从中分出8种植物甾酮类成分〔2,3〕.
本实验通过硅胶柱色谱和高效液相色谱,从漏芦的乙醇提取物中分离得到2种植物甾酮苷类成分,经UV,1H-NMR,13C-NMR,1H-1H COSY,HMQC,HMBC分别鉴定为蜕皮甾酮-3-O-β-D-葡萄糖苷(ecdysterone-3-O-β-D-glucopyranoside)(3),蜕皮甾酮-25-O-β-D-葡萄糖苷(ecdysterone-25-O-β-D-glucopyranoside)(4),为从本属植物中首次分离.同时分离得到蜕皮甾酮(ecdysterone)(1)和筋骨草甾酮C(ajugasterone C)(2)(见图1).
, http://www.100md.com
Fig.1 The compounds isolated from this plant
1 仪器与材料
紫外光谱:Shimadzu UV-260型紫外-可见分光光度计;核磁共振光谱:BRUKER-ARX-300型核磁共振光谱仪(TMS内标).薄层层析用及柱层析用硅胶(200-300目)均为青岛海洋化工厂生产.HPLC用Shimadzu CTO-6A高效液相色谱仪,层析柱为ODS-5(20 mm i.d.,×25 cm).层析用溶剂均为AR级.祁州漏芦购自辽宁省药材站,由本校中药鉴定教研室许春泉高级工程师鉴定为祁州漏芦[Rhaponticum uniflorum(L.) DC.].
2 提取分离
祁州漏芦的干燥根3 kg用90%乙醇加热回流提取,回收乙醇,得浓缩液.用石油醚、氯仿、乙酸乙酯、正丁醇萃取.取部分正丁醇萃取物,硅胶柱层析,氯仿∶甲醇梯度洗脱,氯仿∶甲醇(100∶4)洗下第527~536份得化合物2,第539~549份得化合物1,第629份经高效液相分离得化合物3和4.
, http://www.100md.com
3 结构鉴定
化合物1:白色粉末,UVλmax(MeOH):242 nm.1H-NMR(300 Hz,C5D5N)δ:6.23(1H,br.s,H-7),1.20(3H,s,H-18),1.07(3H,s,H-19),1.57(3H,s,H-21),1.37(6H,s,H-26,27).13C-NMR(75.4 Hz,C5D5N):数据见表1.
化合物2:白色粉末,UVλmax(MeOH):241 nm.1H-NMR(300 Hz,C5D5N)δ:6.30(1H,br.s,H-7),1.27(3H,s,H-18),1.32(3H,s,H-19),1.57(3H,s,H-21),0.81(3H,d,J=5 Hz,H-26),0.80(3H,d,J=5 Hz,H-27).13C-NMR(75.4 Hz,C5D5N):数据见表1.
, http://www.100md.com
化合物3:白色粉末,Molish反应阳性,酸水解检出葡萄糖,Libermann-Burchard反应阳性,说明其具有三萜或甾体母核.紫外λmax=242 nm,Tab.1 The 13C-NMR data of compounds 1~4(In C5D5N) No
1
2
3
4
No
1
2
3
, 百拇医药
4
1
38.0
39.6
38.1
37.9
18
18.0
18.9
17.3
17.9
2
68.2
, 百拇医药
68.4
67.0
68.1
19
24.6
24.8
23.6
24.4
3
68.2
68.2
76.3
68.0
, http://www.100md.com
20
77.0
76.8
77.0
76.9
4
32.5
32.9
30.1
32.4
21
21.8
21.6
, 百拇医药
21.2
21.7
5
51.5
52.1
50.8
51.4
22
77.7
76.8
77.9
77.7
6
, 百拇医药
203.7
203.9
202.4
203.7
23
27.6
30.2
27.0
26.6
7
121.8
122.3
121.1
, 百拇医药
121.7
24
42.7
37.0
42.2
39.8
8
166.3
164.2
165.8
166.1
25
69.8
, http://www.100md.com
28.2
69.0
77.4
9
34.6
42.8
33.7
34.4
26
30.1
23.3
29.6
27.5
, 百拇医药
10
38.8
39.9
38.5
38.6
27
30.1
22.4
29.5
27.6
11
21.3
68.9
, http://www.100md.com
20.6
21.1
1′
103.7
98.8
12
31.9
44.2
31.3
32.0
2′
74.2
75.5
, http://www.100md.com
13
48.2
48.2
47.5
48.1
3′
78.1
78.7
14
84.4
84.3
83.6
84.3
, http://www.100md.com
4′
71.1
72.1
15
32.1
32.0
31.4
31.7
5′
77.2
78.5
16
21.6
, http://www.100md.com
21.5
21.0
21.4
6′
62.0
63.4
1H-NMR谱中,给出烯氢质子信号(δ6.21,br.s,1H),13C-NMR谱中给出δ202.4处的羰基碳信号及165.8和121.1处的双键碳信号,结合其他碳谱、氢谱数据推测该化合物为植物甾酮苷类.将化合物3的碳谱数据与蜕皮甾酮的数据〔2〕比较发现,二者C5-C27的数据基本一致,C1的化学位移也没有变化,而在δ110~60区域中多出6个连氧碳信号(δ103.7,74.2,78.1,71.1,77.2,62.0),同时C2的化学位移值向高场位移1.0,C3的数值向低场位移8.1,C4的数值向高场位移2.4,根据苷化位移的规律,推测该化合物结构中葡萄糖接在C3位上,HMBC谱中(见图2),葡萄糖上的端基氢(δ4.91,d,J=7.5 Hz,1H)与C3(δ76.3)有远程相关,证实葡萄糖接在3位上,且为β构型.综上所述,鉴定该化合物为蜕皮甾酮-3-O-β-D-葡萄糖苷.其13C-NMR数据与文献基本一致〔5〕.1H-NMR(300 Hz,C5D5N)δ:6.21(1H,br.s,H-7),1.18(3H,s,H-18),0.87(3H,s,H-19),1.57(3H,s,H-21),1.36(6H,s,H-26,27).13C-NMR(75.4 Hz,C5D5N):数据见表1. 化合物4:白色粉末,Molish反应阳性,酸水解检出葡萄糖,Libermann-Burchard反应阳性,说明其具有三萜或甾体母核.紫外λmax=242 nm,1H-NMR谱中,给出烯氢质子信号(δ6.21,br.s,1H),13C-NMR谱中给出δ203.7处的羰基碳信号及166.1和121.7处的双键碳信号,结合其他碳谱、氢谱数据推测该化合物为植物甾酮苷类.将化合物4的碳谱数据与蜕皮甾酮的数据比较发现,二者C1-C23的数据基本一致,而在δ110~60区域中多出6个连氧碳信号(δ98.8,75.5,78.7,72.1,78.5,63.4),同时C24的数值向高场位移2.5,C25的数值向低场位移7.6,C26,27的数值向高场位移2.1,根据苷化位移的规律,推测该化合物结构中葡萄糖接在C25位上,由于糖的端基氢质子的偶合常数为7.6 Hz,说明糖的构型为β-构型.该化合物的1H-NMR和13C-NMR数据与文献中的蜕皮甾酮-25-O-β-D-葡萄糖苷基本一致〔6〕,故鉴定其为蜕皮甾酮-25-O-β-D-葡萄糖苷.1H-NMR(300 Hz,C5D5N)δ:6.21(1H,br.s,H-7),1.18(3H,s,H-18),1.04(3H,s,H-19),1.56(3H,s,H-21),1.31(3H,s,H-26),1.37(3H,s,H-27). 13C-NMR(75.4 Hz,C5D5N):数据见表1.
, 百拇医药
Fig.2 HMBC correlation of compound 3
致谢 本实验所用药材由本校中药鉴定教研室许春泉高级工程师鉴定;UV,NMR谱均由本校测试中心测试,在此一并表示感谢.
参考文献
1,江苏新医学院.中药大辞典:下册.上海:上海人民出版社,1997.2576~2577
2,果得安,楼之芩,高从云.祁州漏芦蜕皮甾酮类化学成分的研究.药学学报,1991,26(6):442~446
3,姜晓峰,李铣.祁州漏芦地上部位的植物蜕皮激素化合物.中草药,1997,28(5):262~264
4,Girault JR,Batbori M,Uarga E,et al.Isolation and identification of new ecdysteroids from the Caryophpllaceae.J Nat Prod,1990,21:795~801
5,Nishimoto N,Shiobara Y,Inove SS,et al.Three ecdysteroid glycosides from Pfaffia iresinoides.Phytochemistry,1988,27(6):1665~1668
收稿日期:1999-12-17
, 百拇医药