液冷服散热原理模型及其分析
作者:张万欣 陈景山 李潭秋
单位:航天医学工程研究所,北京 100094
关键词:液冷服;散热;效率;设计参数;数学模型
航天医学与医学工程000509摘要: 目的 建立舱外航天液冷服散热的原理模型,提出其在工程设计中应遵循的基本原则。并以该原理模型为基础找到液冷服设计参数与散热量和散热效率的模化关系。 方法 根据工程实际,对舱外航天液冷服散热过程进行分析。 结果 液冷服各参数(管长、管径、流率和进口液温)对散热量和散热效率的影响是相互制约,相互作用的。因此各参数的合理取值是设计液冷服的关键。 结论 该分析和研究对今后舱外航天液冷服的设计研制具有一定的指导意义。
中图分类号:R852.81 文献标识码:A 文章编号:1002-0837(2000)05-0350-05
, 百拇医药
A Heat Transfer Model for Liquid Cooling Garment (LCG) and Its Analysis
ZHANG Wan-xin,CHEN Jing-shan,LI Tan-qiu
(Space Medicine & Medical Engineering)
Abstract: Objective To establish the heat transfer model for liquid cooling gannent(LCG) and,basing on this model,to find the relations between the design parameters and heat removing,as well as that between the design parameters and heat transfer efficiency. Method Heat transfer process of the LCG was analyzed according to engineering facts.Result The relations between the design parameters and heat removing,and also that between the design parameters and heat transfer efficiency were interelative and the optimal values of the parameters were essential to the design of LCG. Conclusion The results might be useful in the design of LCG in extra vehicular activity(EVA) space suit.
, 百拇医药
Key words:liquid cooling garments;heat loss;efficiency;design parameter;mathematical models
在实际的工程应用中,根据使用的需要,液冷服分为液冷头盔、液冷背心和全身式液冷服。全身式液冷服又分为片式液冷服、单管路回转式液冷服和多管路直通式液冷服[1~4]。多管路直通式液冷服因其流阻低,透气性好,可靠性高等优点,广泛应用于舱外航天服的散热系统。
液冷服就其功能来说相当于热交换器,通常与冷源配用,组成一个完整的制冷系统,散失机体代谢热,维持体热的动态平衡。因此液冷服的散热能力是设计和评价液冷服的关键指标。本文根据传热学理论,通过对液冷服与人体间的热交换过程进行生物物理的系统分析,推导出液冷服基本的散热方程。并以该模型和国外液冷服研究的实践经验对散热方程中各参数间的关系进行分析和讨论,从而提出液冷服设计的基本原则。
, 百拇医药
液冷服的散热模型
液冷服的核心部分是换热管路网,冷却液在管路里流动过程中与人体皮肤进行热交换。为了
避免换热管路与人体皮肤间温度差对皮肤的刺激,换热管路网与皮肤不宜直接接触,其间是一层棉质内衣层。因此人体与液冷服的换热路线是皮肤-内衣层-换热管路网。
液冷服的换热分析 人体和液冷服与通风服间的空气层到液冷服管壁要产生以下热流(图1):人体到内衣的导热热流qS;内衣到管壁的导热产生的热流qT;传质热流qM;人体辐射热流qU;管子外表面的对流传热热流qK;来自航天服壳体的辐射热流qO。可见液冷服的实际散热过程相当复杂。
, 百拇医药
图1 液冷服热流图
Fig.1 Heat flow in LCG
散热模型的建立 为了满足工程实际应用而又尽可能地简化模型,特作如下假设:
a.由于液冷服的管路半径比人体及内衣各节段的的曲率半径小得多,因此假设人体及内衣层为平面;
b.假设传热过程为稳态;
c.假定液冷服为紧身服形式,忽略人体与服装内侧间的空气夹层,其间以导热传热为主;
d.辐射不是传热的主要方式,辐射热流忽略不计;
e.通风气体主要在管道上面的空间流动,假设通风气体与管路间的传热形式为对流传热;
, 百拇医药
f.在此只考虑人体显热的散失。
在上述假定条件下,液冷服与人体的换热则变为冷却液以对流、导热传热形式与皮肤和空气层进行热量交换,传热路径如图2。
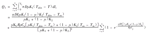
在LCG管上取微元dl,温度变化为dT,则微元内冷却液带走的热量为:
dQ=RρCpdT (1)
根据传热学原理[5]微元dl与人体的热交换量为:
dQ1=F1K1(Tskin-T) (2)
微元dl与空气层的热交换量为:
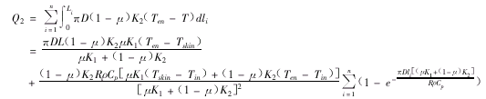
dQ2=F2K2(Ten-T) (3)
, 百拇医药
根据热力学第一定律得
dQ=dQ1+dQ2 (4)
即:
RρCpdT=F1K1(Tskin-T)+F2K2(Ten-T)
=πD(μK1(Tskin-T)
+(1-μ)K2(Ten-T))dl (5)
式中:R—冷却液的流率(kg/h);ρ—冷却液的密度(kg/m3);Cp—冷却液的比热(kJ/kg*℃);D—管路外径(m);μ—管路覆盖皮肤有效面积比;Tskin—皮肤平均温度(℃);Ten—空气层温度(℃);T—冷却液的温度(℃);K1—液冷服与人体的传热系数(W/m2℃);K2—液冷服与空气层的传热系数(W/m2℃);F1—管路与人体的接触面积(m2);F2—管路与空气层的接触面积(m2)。
, 百拇医药
解微分方程并代入初始条件:l=0时T=Tin,得到液体温度随管长的变化关系:
(6)
(7)
由此可得液冷服与人体的热交换量为:
图2 液冷服传热路径图
Fig.2 Heat transfer process in LCG
(8)
同理液冷服与空气层的热交换量为:
(9)
, 百拇医药
这样液冷服总的热交换量为:
(10)
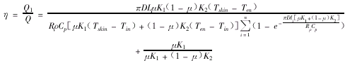
因此液冷服的散热效率为:
(11)K1是液冷服与人体的传热系数。由于管内外的表面积不等,因此管内侧和管外侧的传热系数在数值上也不相同。由图2可知总热阻包括冷却液与管壁的对流热阻,管壁导热热阻,内认层导热阻和内衣与皮肤的接触热阻4部分,即:
(12)
K2是液冷服与空气层的传热系数。同理总热阻包括冷却液与管壁的对流换热热阻、管壁导热热阻和空气层与管壁的对流热阻3部分,即: K2=1/{1/α2+D/(α1d)+D/[2λ2ln(D/d)]} (13)
, 百拇医药
K3是人体与内衣之间的换热系数,表达式为[3]: K3=1/(0.155×Icl) (14)
式中:Tin—进口液温[W/(m2℃)];L—管路长度(m);d—管子的内径(m);n—换热管路根数;α1—冷却液与管壁对流换热系数(8700W/ m2℃);α2—空气层与管壁对流换热系数(11.17 W/m2℃);δ1—内衣层厚度(m);δ2—管壁厚度(m);λ1—内衣层导热系数(0.0622 W/m℃);λ2—管壁导热系数(0.124 W/m℃);Icl—内衣热阻(℃/W)。
, 百拇医药
由此可见液冷服的散热量和散热效率的大小与进口液温、管长、管径、液体流率及人体皮肤温度等都有着直接的关系。
分析与讨论
设计参数与散热量的关系 根据上述液冷散热模型的式(8)和国外舱外航天服液冷服的实践经验[6~8]得到如下关系:
a.选定进口液温Tin=10℃,管径D=5 mm,流率取分别为R=80,90,100,110,120 kg/h时散热量与管长的关系如图3,由图中可以看到:流率相同的情况下散热量随着管长的增长而增加,但并非线性关系,即当管长增加到一定程度时,散热量并不明显增加。也就是说管长太长,管道变得密集,使管道与体表的热交换相互制约,因此图3中散热量表现为渐进趋势;另外对于同样的散热量,流量越大所需要的管长越短;
, http://www.100md.com
图3 流率不同时散热量与管长的关系图
Fig.3Relation between tube length and heat removing under different flow rates
The curves begining from the top represent R=120,110,100,90,80 kg/h,respectively
b. 选定管径D=5 mm,流率R=90 kg/h,管长L=10,50,100 m时散热量与进口液温的关系如图4,可见散热量受进口液温影响较大,若想得到大的散热量就要降低进口液温;
图4 散热量与进口液温的关系图
, http://www.100md.com
Fig.4 Relation between inlet temperature and heat removing under different tube lengths
The curves begining from the top represent L=100,50,10 m,respectively
c.选定管径D=5 mm,管长L=90 m,散热量分别为Q=200,250,300,350,400,450,500,600 W时流率与进口液温的关系如图5,因此要获得同样的散热量,随着进口液温的升高,流率要相应加大,但当流率超过30 kg/h时,曲线呈渐进形式,即使继续增大流率,散热量也不继续增加,流率的合理调节范围较窄;
d.选定管径D=5 mm,管长L=90 m,进口液温分别为Tin=5,10,15,20,25℃时散热量与流率的关系如图6,由此可知进口液温一定时,散热量随着流率的增加而增加,流率过小,散热量太小,而过大的流率又为管道结构、管道强度及泵压力所不许。
, 百拇医药
图5 散热量不同时流率与进口液温的关系图
Fig.5 Relation between flow rate and inlet temperature under different heat removing
The curves begining from the top represent Q=200,250,300,350,400,450,500,600 W,respectively
图6 进口液温不同时散热量与流率的关系图
Fig.6 Relation between flow rates and heat removing under different inlet temperatures
, http://www.100md.com
The curves begining from the top represent Tin=5,10,15,20,25 ℃,respectively
设计参数与散热效率的关系 根据式(11)得到管路长度、流率、传热系数和有效面积比与散热效率的模化关系如图7。由图中可以得出:
图7 设计参数与散热效率关系示意图
Fig.7 Relation between the design parameters and heat transfer efficiency
1.tube lenghg;2.flow rate;3.heat tranfer coefficient;4.effective area rate
, 百拇医药
a.服装的散热效率是随着散热管网的长度的增加而减小;
b.服装的散热效率随着冷却液的流率的增加而增加的,但是当流率大到一定程度时散热效率并不明显增加;
c.服装的散热效率是随着液冷服与人体间的传热系数增加而增加的,也就是说是随着散热管网管壁厚度、内衣层厚度的增加而减小,随着散热管网和内衣的导热系数的增加而增加的;
d.服装的散热效率是随着散热管网覆盖皮肤的有效面积比的增加而明显增加,说明有效面积比对散热效率影响最大。
结 论
综上所述,液冷服的各参数即管长、管径、流率和进口液温对散热量和散热效率的影响是相互制约,互为作用的。因此在设计和研制液冷服时应遵照下列原则:
1. 选取合适的散热管网的长度,保证散热量的同时尽量增大散热效率,管长的合理选择范围是:70~100 m;
, 百拇医药
2. 保证充分的管路与皮肤的接触面积,增大管路覆盖的有效面积比,以提高服装的散热量和散热效率;
3. 在流阻允许下,尽量减小管径,增大有效面积比;
4. 选用导热性好,薄而有弹性的管道材料,增大其传热系数,提高散热效率;
5. 结构一定时,由于液体流率受管道结构等条件的限制,合理调节范围较窄,在60~120 kg/h比较合理,因此主要靠调节进口液温来改变服装的散热量;
以上均为设计和研制液冷服应遵循的定性原则,但是要得到定量的最优参数组合,则要由实验确定主要影响因素,以选取最佳设计参数。
[参考文献]
[1] Fox WF.Human thermal performance in the cold[J].Human Factors,1967,9(3):203~220
, http://www.100md.com
[2] WANG Xianzhang,XIE Xueyi,CUI Daixiu et al.The medical research of cooled effective for liquid-cooled garment equipment[J].Space Medicine & Medical Engineering,1991,4(1):38~45
王宪章,解学义,崔代秀等.三种液冷装备致冷效果的医学研究[J].航天医学与医学工程,1991,4(1):38~45
[3] Shvartz E,Aldjem M.Objective approach to a whole body water-cooled suit[J].Aerospace Medicine,1974,45(7):711~715
[4] 欧阳骅.服装卫生学[M].北京:人民军医出版社,1985:219~224
, 百拇医药
[5] 杨世铭.传热学[M].第二版,北京:高等教育出版社,1997:357~400
[6] NASA:Liquid cooled garments[R].NASA CR-2509,1975
[7] NASA:Development and fabrication of an advanced liquid cooling garment[R].1978,NASA CR-152101
[8] C.Ⅱ.乌曼斯基著,刘克定译.航天员装备[M].北京:航空工业出版社,1990:126~129
收稿日期:1999-12-21, http://www.100md.com
单位:航天医学工程研究所,北京 100094
关键词:液冷服;散热;效率;设计参数;数学模型
航天医学与医学工程000509摘要: 目的 建立舱外航天液冷服散热的原理模型,提出其在工程设计中应遵循的基本原则。并以该原理模型为基础找到液冷服设计参数与散热量和散热效率的模化关系。 方法 根据工程实际,对舱外航天液冷服散热过程进行分析。 结果 液冷服各参数(管长、管径、流率和进口液温)对散热量和散热效率的影响是相互制约,相互作用的。因此各参数的合理取值是设计液冷服的关键。 结论 该分析和研究对今后舱外航天液冷服的设计研制具有一定的指导意义。
中图分类号:R852.81 文献标识码:A 文章编号:1002-0837(2000)05-0350-05
, 百拇医药
A Heat Transfer Model for Liquid Cooling Garment (LCG) and Its Analysis
ZHANG Wan-xin,CHEN Jing-shan,LI Tan-qiu
(Space Medicine & Medical Engineering)
Abstract: Objective To establish the heat transfer model for liquid cooling gannent(LCG) and,basing on this model,to find the relations between the design parameters and heat removing,as well as that between the design parameters and heat transfer efficiency. Method Heat transfer process of the LCG was analyzed according to engineering facts.Result The relations between the design parameters and heat removing,and also that between the design parameters and heat transfer efficiency were interelative and the optimal values of the parameters were essential to the design of LCG. Conclusion The results might be useful in the design of LCG in extra vehicular activity(EVA) space suit.
, 百拇医药
Key words:liquid cooling garments;heat loss;efficiency;design parameter;mathematical models
在实际的工程应用中,根据使用的需要,液冷服分为液冷头盔、液冷背心和全身式液冷服。全身式液冷服又分为片式液冷服、单管路回转式液冷服和多管路直通式液冷服[1~4]。多管路直通式液冷服因其流阻低,透气性好,可靠性高等优点,广泛应用于舱外航天服的散热系统。
液冷服就其功能来说相当于热交换器,通常与冷源配用,组成一个完整的制冷系统,散失机体代谢热,维持体热的动态平衡。因此液冷服的散热能力是设计和评价液冷服的关键指标。本文根据传热学理论,通过对液冷服与人体间的热交换过程进行生物物理的系统分析,推导出液冷服基本的散热方程。并以该模型和国外液冷服研究的实践经验对散热方程中各参数间的关系进行分析和讨论,从而提出液冷服设计的基本原则。
, 百拇医药
液冷服的散热模型
液冷服的核心部分是换热管路网,冷却液在管路里流动过程中与人体皮肤进行热交换。为了
避免换热管路与人体皮肤间温度差对皮肤的刺激,换热管路网与皮肤不宜直接接触,其间是一层棉质内衣层。因此人体与液冷服的换热路线是皮肤-内衣层-换热管路网。
液冷服的换热分析 人体和液冷服与通风服间的空气层到液冷服管壁要产生以下热流(图1):人体到内衣的导热热流qS;内衣到管壁的导热产生的热流qT;传质热流qM;人体辐射热流qU;管子外表面的对流传热热流qK;来自航天服壳体的辐射热流qO。可见液冷服的实际散热过程相当复杂。
, 百拇医药
图1 液冷服热流图
Fig.1 Heat flow in LCG
散热模型的建立 为了满足工程实际应用而又尽可能地简化模型,特作如下假设:
a.由于液冷服的管路半径比人体及内衣各节段的的曲率半径小得多,因此假设人体及内衣层为平面;
b.假设传热过程为稳态;
c.假定液冷服为紧身服形式,忽略人体与服装内侧间的空气夹层,其间以导热传热为主;
d.辐射不是传热的主要方式,辐射热流忽略不计;
e.通风气体主要在管道上面的空间流动,假设通风气体与管路间的传热形式为对流传热;
, 百拇医药
f.在此只考虑人体显热的散失。
在上述假定条件下,液冷服与人体的换热则变为冷却液以对流、导热传热形式与皮肤和空气层进行热量交换,传热路径如图2。
在LCG管上取微元dl,温度变化为dT,则微元内冷却液带走的热量为:
dQ=RρCpdT (1)
根据传热学原理[5]微元dl与人体的热交换量为:
dQ1=F1K1(Tskin-T) (2)
微元dl与空气层的热交换量为:
dQ2=F2K2(Ten-T) (3)
, 百拇医药
根据热力学第一定律得
dQ=dQ1+dQ2 (4)
即:
RρCpdT=F1K1(Tskin-T)+F2K2(Ten-T)
=πD(μK1(Tskin-T)
+(1-μ)K2(Ten-T))dl (5)
式中:R—冷却液的流率(kg/h);ρ—冷却液的密度(kg/m3);Cp—冷却液的比热(kJ/kg*℃);D—管路外径(m);μ—管路覆盖皮肤有效面积比;Tskin—皮肤平均温度(℃);Ten—空气层温度(℃);T—冷却液的温度(℃);K1—液冷服与人体的传热系数(W/m2℃);K2—液冷服与空气层的传热系数(W/m2℃);F1—管路与人体的接触面积(m2);F2—管路与空气层的接触面积(m2)。
, 百拇医药
解微分方程并代入初始条件:l=0时T=Tin,得到液体温度随管长的变化关系:
由此可得液冷服与人体的热交换量为:
图2 液冷服传热路径图
Fig.2 Heat transfer process in LCG
同理液冷服与空气层的热交换量为:
, 百拇医药
这样液冷服总的热交换量为:
因此液冷服的散热效率为:
K2是液冷服与空气层的传热系数。同理总热阻包括冷却液与管壁的对流换热热阻、管壁导热热阻和空气层与管壁的对流热阻3部分,即: K2=1/{1/α2+D/(α1d)+D/[2λ2ln(D/d)]} (13)
, 百拇医药
K3是人体与内衣之间的换热系数,表达式为[3]: K3=1/(0.155×Icl) (14)
式中:Tin—进口液温[W/(m2℃)];L—管路长度(m);d—管子的内径(m);n—换热管路根数;α1—冷却液与管壁对流换热系数(8700W/ m2℃);α2—空气层与管壁对流换热系数(11.17 W/m2℃);δ1—内衣层厚度(m);δ2—管壁厚度(m);λ1—内衣层导热系数(0.0622 W/m℃);λ2—管壁导热系数(0.124 W/m℃);Icl—内衣热阻(℃/W)。
, 百拇医药
由此可见液冷服的散热量和散热效率的大小与进口液温、管长、管径、液体流率及人体皮肤温度等都有着直接的关系。
分析与讨论
设计参数与散热量的关系 根据上述液冷散热模型的式(8)和国外舱外航天服液冷服的实践经验[6~8]得到如下关系:
a.选定进口液温Tin=10℃,管径D=5 mm,流率取分别为R=80,90,100,110,120 kg/h时散热量与管长的关系如图3,由图中可以看到:流率相同的情况下散热量随着管长的增长而增加,但并非线性关系,即当管长增加到一定程度时,散热量并不明显增加。也就是说管长太长,管道变得密集,使管道与体表的热交换相互制约,因此图3中散热量表现为渐进趋势;另外对于同样的散热量,流量越大所需要的管长越短;
, http://www.100md.com
图3 流率不同时散热量与管长的关系图
Fig.3Relation between tube length and heat removing under different flow rates
The curves begining from the top represent R=120,110,100,90,80 kg/h,respectively
b. 选定管径D=5 mm,流率R=90 kg/h,管长L=10,50,100 m时散热量与进口液温的关系如图4,可见散热量受进口液温影响较大,若想得到大的散热量就要降低进口液温;
图4 散热量与进口液温的关系图
, http://www.100md.com
Fig.4 Relation between inlet temperature and heat removing under different tube lengths
The curves begining from the top represent L=100,50,10 m,respectively
c.选定管径D=5 mm,管长L=90 m,散热量分别为Q=200,250,300,350,400,450,500,600 W时流率与进口液温的关系如图5,因此要获得同样的散热量,随着进口液温的升高,流率要相应加大,但当流率超过30 kg/h时,曲线呈渐进形式,即使继续增大流率,散热量也不继续增加,流率的合理调节范围较窄;
d.选定管径D=5 mm,管长L=90 m,进口液温分别为Tin=5,10,15,20,25℃时散热量与流率的关系如图6,由此可知进口液温一定时,散热量随着流率的增加而增加,流率过小,散热量太小,而过大的流率又为管道结构、管道强度及泵压力所不许。
, 百拇医药
图5 散热量不同时流率与进口液温的关系图
Fig.5 Relation between flow rate and inlet temperature under different heat removing
The curves begining from the top represent Q=200,250,300,350,400,450,500,600 W,respectively
图6 进口液温不同时散热量与流率的关系图
Fig.6 Relation between flow rates and heat removing under different inlet temperatures
, http://www.100md.com
The curves begining from the top represent Tin=5,10,15,20,25 ℃,respectively
设计参数与散热效率的关系 根据式(11)得到管路长度、流率、传热系数和有效面积比与散热效率的模化关系如图7。由图中可以得出:
图7 设计参数与散热效率关系示意图
Fig.7 Relation between the design parameters and heat transfer efficiency
1.tube lenghg;2.flow rate;3.heat tranfer coefficient;4.effective area rate
, 百拇医药
a.服装的散热效率是随着散热管网的长度的增加而减小;
b.服装的散热效率随着冷却液的流率的增加而增加的,但是当流率大到一定程度时散热效率并不明显增加;
c.服装的散热效率是随着液冷服与人体间的传热系数增加而增加的,也就是说是随着散热管网管壁厚度、内衣层厚度的增加而减小,随着散热管网和内衣的导热系数的增加而增加的;
d.服装的散热效率是随着散热管网覆盖皮肤的有效面积比的增加而明显增加,说明有效面积比对散热效率影响最大。
结 论
综上所述,液冷服的各参数即管长、管径、流率和进口液温对散热量和散热效率的影响是相互制约,互为作用的。因此在设计和研制液冷服时应遵照下列原则:
1. 选取合适的散热管网的长度,保证散热量的同时尽量增大散热效率,管长的合理选择范围是:70~100 m;
, 百拇医药
2. 保证充分的管路与皮肤的接触面积,增大管路覆盖的有效面积比,以提高服装的散热量和散热效率;
3. 在流阻允许下,尽量减小管径,增大有效面积比;
4. 选用导热性好,薄而有弹性的管道材料,增大其传热系数,提高散热效率;
5. 结构一定时,由于液体流率受管道结构等条件的限制,合理调节范围较窄,在60~120 kg/h比较合理,因此主要靠调节进口液温来改变服装的散热量;
以上均为设计和研制液冷服应遵循的定性原则,但是要得到定量的最优参数组合,则要由实验确定主要影响因素,以选取最佳设计参数。
[参考文献]
[1] Fox WF.Human thermal performance in the cold[J].Human Factors,1967,9(3):203~220
, http://www.100md.com
[2] WANG Xianzhang,XIE Xueyi,CUI Daixiu et al.The medical research of cooled effective for liquid-cooled garment equipment[J].Space Medicine & Medical Engineering,1991,4(1):38~45
王宪章,解学义,崔代秀等.三种液冷装备致冷效果的医学研究[J].航天医学与医学工程,1991,4(1):38~45
[3] Shvartz E,Aldjem M.Objective approach to a whole body water-cooled suit[J].Aerospace Medicine,1974,45(7):711~715
[4] 欧阳骅.服装卫生学[M].北京:人民军医出版社,1985:219~224
, 百拇医药
[5] 杨世铭.传热学[M].第二版,北京:高等教育出版社,1997:357~400
[6] NASA:Liquid cooled garments[R].NASA CR-2509,1975
[7] NASA:Development and fabrication of an advanced liquid cooling garment[R].1978,NASA CR-152101
[8] C.Ⅱ.乌曼斯基著,刘克定译.航天员装备[M].北京:航空工业出版社,1990:126~129
收稿日期:1999-12-21, http://www.100md.com