静态水/气分离器研制
作者:周抗寒 艾尚坤 陆熙瑜 刘成良
单位:航天医学工程研究所,北京 100094
关键词:分离器;水;气体;静态特征;航天环境
航天医学与医学工程000508摘要: 目的 解决失重条件下小流量的水气分离问题。 方法 从物质表面特性的分析出发,研制了符合要求的毛细材料,并设计了采用单一分离材料的水/气分离器。 结果 该分离器在气体流量不超过10.0 L/min、水流量不超过10.0 ml/min的范围内工作时,分离后的水中不含气,分离后的气体中不带水。结论 研制的静态水/气分离器结构基本合理,性能符合设计要求。
中图分类号:R852.82 文献标识码:A 文章编号:1002-0837(2000)05-0346-04
The Development of a Static Water/Gas Separator
, 百拇医药
ZHOU Kang-han,AI Shang-kun,LU Xi-yu,LIU Cheng-liang
(Space Medicine & Medical Engineering)
Abstract: Objective To develop a device for separating water from gas in small flow rate under zero “G". Method Beginning with the study of surface characteristic of materials, a capillary material was developed according to the requirement and the water/gas separator using this single separating material was designed. Result The water/gas separator worked well in the range of gas flow below 10.0 L/min and water flow below 10.0 ml/min. No gas was found in the separated water and no water was found in the separated gas. Conclusion The structure of the separator was reasonable and the water/gas separating method using a single separating material was feasible.
, http://www.100md.com
Key words: separators;water;gases;static characterisics;space environments
在长期载人飞行器内的环境控制与生命保障系统中,为了保障在微重力条件下水流与气流的各自独立,不但座舱的通风及温湿度控制系统中需要水/气分离器,在物质再生的各系统中,它也是必不可少的。因此,水/气分离技术是微重力条件下环控生保系统的关键技术。水/气分离主要有两种方式,一种是动态离心式,另一种是静态分离式。动态离心分离器分离量大,对分离物质无特别要求,适用范围广,常用于量大或有污染的水气混合物的分离。静态分离器相对来说分离能力小,混合物的污染程度直接影响其使用寿命,但它具有无运动部件、低能耗、免维护、分离可靠、控制容易等特点,特别适合较洁净的小流量水/气混合物的分离。在“和平”号空间站上,尿处理与卫生水处理系统就采用动态水/气分离器,而饮用水处理系统则用静态水/气分离器[1]。由于静态水/气分离器所具有的优点,将其应用在二氧化碳还原系统是非常适宜的,如俄罗斯已着手这方面的工作,美国也有这方面的研究[2]。因此,为保障二氧化碳系统的物质回收,有利于物质的闭路循环,有必要研制一种适合该系统的静态水/气分离器。
, http://www.100md.com
技术指标及要求
二氧化碳还原系统的设计目标是将生活在舱内乘员排出的二氧化碳按化学反应当量转化为水,该系统的环境以及性能参数如表1所示。从表1可知,正常工作时,系统排出的气体的最大流量不超过6 L/min,最大水流量不超过2 g/min,在稳定工作过程中,气体与水的流量分别为1 L/min、1.7 g/min。因此,根据工作系统的状态与要求,确定分离器的设计指标如表2。
表1 二氧化碳还原系统参数
Table 1 Design parameters of the carbon dioxide reduction system parameter
value
crew size(person)
, 百拇医药
3
cabin pressure(kPa)
101.4
cabin temperature(K)
291~297
CO2 product rate(kg/men*d)
1.0
CO2 conversion(%)
>98
H2/CO2
, http://www.100md.com
4∶1
表2 水/气分离器的设计指标
Table 2 Design specifications of water/gas static separator parameter
value
inlet temperature(℃)
25
pressure(kPa)
110
gas flow(L/min)
0~10
, 百拇医药
water flow(g/min)
0~5
separation efficiency(%)
99
operation mode
continue or break
计算与设计 二氧化碳还原系统的产物水与甲烷等尾气形成混合介质体系,在微重力条件下就是气-液两相流。在微重力条件下,尽管混合介质体系受到微重力、惯性力、固壁与流体的附着力等力的作用,但表面张力起主导作用。物质中能被水润湿的物质称为亲水性物质,其接触角θ<90°,不被水润湿者,称憎水性物质,其接触角θ>90°。静态分离方法就是利用物质亲水或憎水的选择性来实现水与气体的分离的。
, 百拇医药
对于静态水/气分离器的设计,其中关键内容是根据应用的条件确定所需的分离面积、毛细管的孔径以及确定合适的结构与材料。分离面积的大小由材料的透水速率与所需透过的物质总量决定,透水速率由实验测出,它与材料的性质、毛细孔径、孔隙率以及制作工艺等因素相关。对于一定材料,击穿毛细材料的最大压力取决于毛细管的最大孔径,因此,设计的毛细管的孔径都必须在最大孔径以下,这一孔径由Young公式算出:
式中△p—毛细管界面压差,r—毛细管的半径,γ—表面张力。
在所设计的压力范围内,亲水材料的孔径对于水是导通的,对于气体是隔离的,憎水材料正好相反。因此,设计一种结构,使这两种材料配套,如保持孔径一致,亲水角与憎水角互补时,则水、气进入各自的通路,从而实现水与气的分离。
紧凑、有效、可靠是航天产品的基本要求,由于需要两种不同材料才能达到目的,显然这种结构在体积与分离量的关系上将形成尖锐的矛盾,在结构上,对二种材料合理布局也存在许多困难,同时要保障憎水与亲水材料的面积匹配也增加制作过程的难度。因此,如果采用一种材料就达到目的,便能大大地简化问题。从原理分析可知,当水、气混合物通过无限长的亲水材料制作的管子时,由于气体、液体与亲水材料的作用不同,气体中的水遇到亲水材料,将在亲水材料上浸润铺展,沿管的长度方向,由于毛细作用以及在操作过程中始终有轻微的压力差,水慢慢透过,从而沿流动方向,气体中含水量越来越小,当路径足够长时,气体中的水将被完全分离。这正如色谱分析上利用物质在固定相与流动相中分配系数的差异,能够分离或提纯物质一样,经过一段充满毛细材料的管子后,混合物将分离成不带水的气体和不带气的水。根据这一思路,将分离器设计成列管式结构,采用迷宫式密封,增长分离流路,以保证水/气混合物与亲水材料有良好的接触及足够的接触时间。
, 百拇医药
最后的问题便是材料的确定与毛细管元件的设计。可供选择的有机材料有聚丙烯、聚乙烯、聚氯乙烯、聚四氟乙烯等,无机材料有金属、陶瓷、玻璃、金属氧化物等[3,4]。但材料的确定需要从材料的特性、制作的工艺、加工难度以及应用的环境要求出发,由于粉末冶金多孔材料最明显的优点在于:1)比表面发达,孔径与孔隙率可控,可制作出符合孔径要求的多孔材料元件;2)机械强度大,可机械加工及焊接,因此,选定了亲水性能好的镍基粉末材料。
依照结构上的要求,毛细管元件设计成空心管状,其外径6 mm,壁厚1 mm,管长120 mm,元件的毛细孔径控制在最大孔径以下,从前述条件及Young公式得出这一孔径应在15 μm左右。同时需要控制这些毛细孔径尽量趋于一致,因为它影响着通过的物质流量以及对操作条件变化的适应性。设计的水/气分离器简图如图1所示。
试验结果与分析
水/气分离器是否满足设计要求,需要试验验证,试验由二部分组成,第一部分是水膜密封性检查,第二部分是部件性能试验。
, http://www.100md.com
水膜密封性试验及分析 水/气分离器能否分离的一个重要因素是在多孔管上形成的水膜是否完整,密封性试验就是测试水膜的这一特性的。试验方法是将静态水/气分离器垂直向上放置,向分离器和软管中注入蒸馏水,打开水/气分离器混合物进口与气体出口,20~25 min后,基本形成水膜,再将水/气分离器水平放置,出水软管垂直向下,利用重力使分离器内腔的部分水自软管流出, 这一过程约5~6 min,然后观察软管的情况,如果软管内既没有水流出,也没有空气的时间能保持1 h左右,则其密封性达到了要求。依照上述方法对研制的水/气分离器进行试验,在它水平放置、软管向下的1.5 h内,软管内的水柱的状态没有发生任何变化。这说明所形成的水膜密封性能良好,因为只有水膜完整,并有一定的强度,才能维持腔内由于排水而产生的负压,只有这种负压恒定保持,水管内的水才不会流出,气体才不会进入其中。
图1 静态水/气分离器结构简图
, http://www.100md.com
Fig.1 Diagram of the water/gas static separator
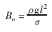
水/气分离器的工作性能试验及分析 水/气分离器的工作性能试验主要是测试它的技术指标是否达到设计要求,其中最重要的是检测分离水/气混合物的能力与效率。但是由于地面重力条件与空间站上微重力条件的差别,导致这二种条件下的试验结果有所不同。因此,需设计合理的试验装置与方法,使这二种条件的结果趋于一致,才能准确地评价部件的性能。比较表面张力和重力相对重要性时,一般用无量纲参数Bond数,其定义为:
其中,ρ为液体的密度,g是重力加速度,σ是运动粘度,l为系统的典型尺度。当Bo>>1时,重力起决定作用,当Bo<<1时重力相对于表面张力的效应就比较弱,对于能完全润湿的液体,其临界值为0.72[5,6]。要使地面的实验结果与微重力环境下的结果一致或接近,必须消除或降低重力的影响。从Bond数的定义可见,减少系统的典型尺寸就能实现这一目的。由于多孔元件的尺寸很小(l=4 mm),水在21℃的运动粘度σ=0.00984 p,从计算可知其Bond数远小于1,满足表面张力起主导作用的条件。而在实验中保持水透过毛细管壁的方向与重力方向垂直,气/液混合物流动的方向与重力方向平行,同样也能降低重力对实验结果的影响,基于以上认识,结合国际上同类实验的经验[1],确定试验流程如图2所示。
, 百拇医药
图2 水/气分离器性能试验流程图
Fig.2 Test schematic for the water/gas static separator
进水通过2 μm的过滤器进入水罐中,水罐接一进气管,它与氮气瓶相连,压力由调压器控制,水罐的出气管与出水管通过各自的流量计后混合一起形成水/气混合物。通过压力调节器、流量计控制水/气混合物的比例与流量。水/气混合物通过一段稳定管路后进入水/气分离器,混合物中的水由于多孔管的毛细作用,沿着流动方向缓慢透过多孔管壁,分离的水由排出管排出,分离掉水的气体从排气口排出。
为了便于观察分离水中是否存在气泡,排水管采用透明管,对分离水中气体的测量采用排水集气法,而对气体中带出的水采用直接测量的方法,分离后的气体通过一个玻璃瓶后再排出,观察瓶壁上是有存在水滴。
在试验中,改变气体流量与水的流量,形成系列工作条件,每个条件保持一定时间,以确保工作条件稳定,在各条件下的试验时间保持2~3 min,所得结果如表3所示。
, 百拇医药
表3 静态水/气分离器试验结果
Table 3 Summary of recorded data of the static separator water inlet flow
rate (ml/min)
nitrogen inlet flow
rate(L/min)
time(s)
separated water (g)
gas involved in
outlet water (ml)
, 百拇医药
water involved in
outlet gas (ml)
5.0
1.0
120
10.1
0
0
5.0
2.0
120
9.9
0
, 百拇医药
0
5.0
4.0
120
9.8
0
0
5.0
10.0
120
9.9
0
0
10.0
, http://www.100md.com
1.0
120
20.2
0
0
10.0
2.0
120
20.1
0
0
10.0
4.0
, http://www.100md.com 120
20.4
0
0
10.0
10.0
120
20.2
0
0
15.0
1.0
120
0
, http://www.100md.com
found water drops
15.0
2.0
120
0
found water drops
从试验结果可知,气体流量在5~10 L/min范围内,气体中的水能完全分离,15 L/min以后,分离气体中带有少量水份,说明分离器已不能完全分离水、气混合物了。这是由于气体流量增加,在分离器内停留时间缩短,而分离的原理就是依靠气体中的水与毛细壁面的接触而实现的,接触机会减少,分离效率必然降低。因此,要提高分离器对大流量的水/气混合物的效率,还必须从微重力流体力学的理论与实践方面对分离器内流体的分布等进行优化,对毛细管内液体流动的规律作更深入的研究。从分离水的能力来看,在气体流量1~10 L/min内,进水负荷在5~10 ml/min时,进入与分离的水量基本一致,但略有差异,这是由于如下二个原因引起的,第一个原因是由于表面张力的作用,在出水管上附有小量的水珠,导致出口水量的读数略有出入;另一个原因是进水量是按转子流量的指示判读,而出水由天平计量,由此也给数据带来一定的误差。但相对误差在2%以下,因此,进、出水量是平衡的,也就是分离效率达到100%。当气体流量超过15 L/min,分离水中尚无气体,说明水膜性能很好,承受流量变化而引起的冲击能力强,这主要归功于毛细孔径的控制合理与均匀。
, 百拇医药
结 论
由于实验方法充分考虑微重力条件这一因素, 保证了实验过程中毛细作用始终处于主导地位,因此,从地面的实验结果能准确地评价实验部件在微重力条件下所表现的性能。从前面的试验及分析,可以得出如下结论:用单一毛细材料能够有效地实现一定范围的水、气分离,所研制的静态水/气分离器结构基本合理,性能符合设计要求。但是要使分离器更紧凑、更有效、更可靠,还需在微重力流体力学方面、毛细管内水的流动特性方面作更深入的研究,并应用于结构设计中。
[参考文献]
[1] Donald W.Rethke.Evaluation of Russian static and rotary gas/liquid separators[R].SAE951475,1995
[2] Hal J.Strumpf.Sabatier carbon dioxide reduction system for long-duration manned space application[R].SAE911541,1991
, http://www.100md.com
[3] Jurgen Bosch.Development of membrane based gas-water separation technologies[R].SAE961406,1996
[4] Saunders CG.A hydrophobic-hydrophilic zero gravity liquid gas phase separator[R].SAE690638,1969
[5] Barry W.finger.Application of capillary fluid management techniques to the design of a phase separating microgravity bioreactor[R].SAE932165,1993
[6] 胡文瑞,徐硕昌.微重力流体力学[M].北京:科学出版社,1999:19
收稿日期:1999-11-10, 百拇医药
单位:航天医学工程研究所,北京 100094
关键词:分离器;水;气体;静态特征;航天环境
航天医学与医学工程000508摘要: 目的 解决失重条件下小流量的水气分离问题。 方法 从物质表面特性的分析出发,研制了符合要求的毛细材料,并设计了采用单一分离材料的水/气分离器。 结果 该分离器在气体流量不超过10.0 L/min、水流量不超过10.0 ml/min的范围内工作时,分离后的水中不含气,分离后的气体中不带水。结论 研制的静态水/气分离器结构基本合理,性能符合设计要求。
中图分类号:R852.82 文献标识码:A 文章编号:1002-0837(2000)05-0346-04
The Development of a Static Water/Gas Separator
, 百拇医药
ZHOU Kang-han,AI Shang-kun,LU Xi-yu,LIU Cheng-liang
(Space Medicine & Medical Engineering)
Abstract: Objective To develop a device for separating water from gas in small flow rate under zero “G". Method Beginning with the study of surface characteristic of materials, a capillary material was developed according to the requirement and the water/gas separator using this single separating material was designed. Result The water/gas separator worked well in the range of gas flow below 10.0 L/min and water flow below 10.0 ml/min. No gas was found in the separated water and no water was found in the separated gas. Conclusion The structure of the separator was reasonable and the water/gas separating method using a single separating material was feasible.
, http://www.100md.com
Key words: separators;water;gases;static characterisics;space environments
在长期载人飞行器内的环境控制与生命保障系统中,为了保障在微重力条件下水流与气流的各自独立,不但座舱的通风及温湿度控制系统中需要水/气分离器,在物质再生的各系统中,它也是必不可少的。因此,水/气分离技术是微重力条件下环控生保系统的关键技术。水/气分离主要有两种方式,一种是动态离心式,另一种是静态分离式。动态离心分离器分离量大,对分离物质无特别要求,适用范围广,常用于量大或有污染的水气混合物的分离。静态分离器相对来说分离能力小,混合物的污染程度直接影响其使用寿命,但它具有无运动部件、低能耗、免维护、分离可靠、控制容易等特点,特别适合较洁净的小流量水/气混合物的分离。在“和平”号空间站上,尿处理与卫生水处理系统就采用动态水/气分离器,而饮用水处理系统则用静态水/气分离器[1]。由于静态水/气分离器所具有的优点,将其应用在二氧化碳还原系统是非常适宜的,如俄罗斯已着手这方面的工作,美国也有这方面的研究[2]。因此,为保障二氧化碳系统的物质回收,有利于物质的闭路循环,有必要研制一种适合该系统的静态水/气分离器。
, http://www.100md.com
技术指标及要求
二氧化碳还原系统的设计目标是将生活在舱内乘员排出的二氧化碳按化学反应当量转化为水,该系统的环境以及性能参数如表1所示。从表1可知,正常工作时,系统排出的气体的最大流量不超过6 L/min,最大水流量不超过2 g/min,在稳定工作过程中,气体与水的流量分别为1 L/min、1.7 g/min。因此,根据工作系统的状态与要求,确定分离器的设计指标如表2。
表1 二氧化碳还原系统参数
Table 1 Design parameters of the carbon dioxide reduction system parameter
value
crew size(person)
, 百拇医药
3
cabin pressure(kPa)
101.4
cabin temperature(K)
291~297
CO2 product rate(kg/men*d)
1.0
CO2 conversion(%)
>98
H2/CO2
, http://www.100md.com
4∶1
表2 水/气分离器的设计指标
Table 2 Design specifications of water/gas static separator parameter
value
inlet temperature(℃)
25
pressure(kPa)
110
gas flow(L/min)
0~10
, 百拇医药
water flow(g/min)
0~5
separation efficiency(%)
99
operation mode
continue or break
计算与设计 二氧化碳还原系统的产物水与甲烷等尾气形成混合介质体系,在微重力条件下就是气-液两相流。在微重力条件下,尽管混合介质体系受到微重力、惯性力、固壁与流体的附着力等力的作用,但表面张力起主导作用。物质中能被水润湿的物质称为亲水性物质,其接触角θ<90°,不被水润湿者,称憎水性物质,其接触角θ>90°。静态分离方法就是利用物质亲水或憎水的选择性来实现水与气体的分离的。
, 百拇医药
对于静态水/气分离器的设计,其中关键内容是根据应用的条件确定所需的分离面积、毛细管的孔径以及确定合适的结构与材料。分离面积的大小由材料的透水速率与所需透过的物质总量决定,透水速率由实验测出,它与材料的性质、毛细孔径、孔隙率以及制作工艺等因素相关。对于一定材料,击穿毛细材料的最大压力取决于毛细管的最大孔径,因此,设计的毛细管的孔径都必须在最大孔径以下,这一孔径由Young公式算出:
式中△p—毛细管界面压差,r—毛细管的半径,γ—表面张力。
在所设计的压力范围内,亲水材料的孔径对于水是导通的,对于气体是隔离的,憎水材料正好相反。因此,设计一种结构,使这两种材料配套,如保持孔径一致,亲水角与憎水角互补时,则水、气进入各自的通路,从而实现水与气的分离。
紧凑、有效、可靠是航天产品的基本要求,由于需要两种不同材料才能达到目的,显然这种结构在体积与分离量的关系上将形成尖锐的矛盾,在结构上,对二种材料合理布局也存在许多困难,同时要保障憎水与亲水材料的面积匹配也增加制作过程的难度。因此,如果采用一种材料就达到目的,便能大大地简化问题。从原理分析可知,当水、气混合物通过无限长的亲水材料制作的管子时,由于气体、液体与亲水材料的作用不同,气体中的水遇到亲水材料,将在亲水材料上浸润铺展,沿管的长度方向,由于毛细作用以及在操作过程中始终有轻微的压力差,水慢慢透过,从而沿流动方向,气体中含水量越来越小,当路径足够长时,气体中的水将被完全分离。这正如色谱分析上利用物质在固定相与流动相中分配系数的差异,能够分离或提纯物质一样,经过一段充满毛细材料的管子后,混合物将分离成不带水的气体和不带气的水。根据这一思路,将分离器设计成列管式结构,采用迷宫式密封,增长分离流路,以保证水/气混合物与亲水材料有良好的接触及足够的接触时间。
, 百拇医药
最后的问题便是材料的确定与毛细管元件的设计。可供选择的有机材料有聚丙烯、聚乙烯、聚氯乙烯、聚四氟乙烯等,无机材料有金属、陶瓷、玻璃、金属氧化物等[3,4]。但材料的确定需要从材料的特性、制作的工艺、加工难度以及应用的环境要求出发,由于粉末冶金多孔材料最明显的优点在于:1)比表面发达,孔径与孔隙率可控,可制作出符合孔径要求的多孔材料元件;2)机械强度大,可机械加工及焊接,因此,选定了亲水性能好的镍基粉末材料。
依照结构上的要求,毛细管元件设计成空心管状,其外径6 mm,壁厚1 mm,管长120 mm,元件的毛细孔径控制在最大孔径以下,从前述条件及Young公式得出这一孔径应在15 μm左右。同时需要控制这些毛细孔径尽量趋于一致,因为它影响着通过的物质流量以及对操作条件变化的适应性。设计的水/气分离器简图如图1所示。
试验结果与分析
水/气分离器是否满足设计要求,需要试验验证,试验由二部分组成,第一部分是水膜密封性检查,第二部分是部件性能试验。
, http://www.100md.com
水膜密封性试验及分析 水/气分离器能否分离的一个重要因素是在多孔管上形成的水膜是否完整,密封性试验就是测试水膜的这一特性的。试验方法是将静态水/气分离器垂直向上放置,向分离器和软管中注入蒸馏水,打开水/气分离器混合物进口与气体出口,20~25 min后,基本形成水膜,再将水/气分离器水平放置,出水软管垂直向下,利用重力使分离器内腔的部分水自软管流出, 这一过程约5~6 min,然后观察软管的情况,如果软管内既没有水流出,也没有空气的时间能保持1 h左右,则其密封性达到了要求。依照上述方法对研制的水/气分离器进行试验,在它水平放置、软管向下的1.5 h内,软管内的水柱的状态没有发生任何变化。这说明所形成的水膜密封性能良好,因为只有水膜完整,并有一定的强度,才能维持腔内由于排水而产生的负压,只有这种负压恒定保持,水管内的水才不会流出,气体才不会进入其中。
图1 静态水/气分离器结构简图
, http://www.100md.com
Fig.1 Diagram of the water/gas static separator
水/气分离器的工作性能试验及分析 水/气分离器的工作性能试验主要是测试它的技术指标是否达到设计要求,其中最重要的是检测分离水/气混合物的能力与效率。但是由于地面重力条件与空间站上微重力条件的差别,导致这二种条件下的试验结果有所不同。因此,需设计合理的试验装置与方法,使这二种条件的结果趋于一致,才能准确地评价部件的性能。比较表面张力和重力相对重要性时,一般用无量纲参数Bond数,其定义为:
其中,ρ为液体的密度,g是重力加速度,σ是运动粘度,l为系统的典型尺度。当Bo>>1时,重力起决定作用,当Bo<<1时重力相对于表面张力的效应就比较弱,对于能完全润湿的液体,其临界值为0.72[5,6]。要使地面的实验结果与微重力环境下的结果一致或接近,必须消除或降低重力的影响。从Bond数的定义可见,减少系统的典型尺寸就能实现这一目的。由于多孔元件的尺寸很小(l=4 mm),水在21℃的运动粘度σ=0.00984 p,从计算可知其Bond数远小于1,满足表面张力起主导作用的条件。而在实验中保持水透过毛细管壁的方向与重力方向垂直,气/液混合物流动的方向与重力方向平行,同样也能降低重力对实验结果的影响,基于以上认识,结合国际上同类实验的经验[1],确定试验流程如图2所示。
, 百拇医药
图2 水/气分离器性能试验流程图
Fig.2 Test schematic for the water/gas static separator
进水通过2 μm的过滤器进入水罐中,水罐接一进气管,它与氮气瓶相连,压力由调压器控制,水罐的出气管与出水管通过各自的流量计后混合一起形成水/气混合物。通过压力调节器、流量计控制水/气混合物的比例与流量。水/气混合物通过一段稳定管路后进入水/气分离器,混合物中的水由于多孔管的毛细作用,沿着流动方向缓慢透过多孔管壁,分离的水由排出管排出,分离掉水的气体从排气口排出。
为了便于观察分离水中是否存在气泡,排水管采用透明管,对分离水中气体的测量采用排水集气法,而对气体中带出的水采用直接测量的方法,分离后的气体通过一个玻璃瓶后再排出,观察瓶壁上是有存在水滴。
在试验中,改变气体流量与水的流量,形成系列工作条件,每个条件保持一定时间,以确保工作条件稳定,在各条件下的试验时间保持2~3 min,所得结果如表3所示。
, 百拇医药
表3 静态水/气分离器试验结果
Table 3 Summary of recorded data of the static separator water inlet flow
rate (ml/min)
nitrogen inlet flow
rate(L/min)
time(s)
separated water (g)
gas involved in
outlet water (ml)
, 百拇医药
water involved in
outlet gas (ml)
5.0
1.0
120
10.1
0
0
5.0
2.0
120
9.9
0
, 百拇医药
0
5.0
4.0
120
9.8
0
0
5.0
10.0
120
9.9
0
0
10.0
, http://www.100md.com
1.0
120
20.2
0
0
10.0
2.0
120
20.1
0
0
10.0
4.0
, http://www.100md.com 120
20.4
0
0
10.0
10.0
120
20.2
0
0
15.0
1.0
120
0
, http://www.100md.com
found water drops
15.0
2.0
120
0
found water drops
从试验结果可知,气体流量在5~10 L/min范围内,气体中的水能完全分离,15 L/min以后,分离气体中带有少量水份,说明分离器已不能完全分离水、气混合物了。这是由于气体流量增加,在分离器内停留时间缩短,而分离的原理就是依靠气体中的水与毛细壁面的接触而实现的,接触机会减少,分离效率必然降低。因此,要提高分离器对大流量的水/气混合物的效率,还必须从微重力流体力学的理论与实践方面对分离器内流体的分布等进行优化,对毛细管内液体流动的规律作更深入的研究。从分离水的能力来看,在气体流量1~10 L/min内,进水负荷在5~10 ml/min时,进入与分离的水量基本一致,但略有差异,这是由于如下二个原因引起的,第一个原因是由于表面张力的作用,在出水管上附有小量的水珠,导致出口水量的读数略有出入;另一个原因是进水量是按转子流量的指示判读,而出水由天平计量,由此也给数据带来一定的误差。但相对误差在2%以下,因此,进、出水量是平衡的,也就是分离效率达到100%。当气体流量超过15 L/min,分离水中尚无气体,说明水膜性能很好,承受流量变化而引起的冲击能力强,这主要归功于毛细孔径的控制合理与均匀。
, 百拇医药
结 论
由于实验方法充分考虑微重力条件这一因素, 保证了实验过程中毛细作用始终处于主导地位,因此,从地面的实验结果能准确地评价实验部件在微重力条件下所表现的性能。从前面的试验及分析,可以得出如下结论:用单一毛细材料能够有效地实现一定范围的水、气分离,所研制的静态水/气分离器结构基本合理,性能符合设计要求。但是要使分离器更紧凑、更有效、更可靠,还需在微重力流体力学方面、毛细管内水的流动特性方面作更深入的研究,并应用于结构设计中。
[参考文献]
[1] Donald W.Rethke.Evaluation of Russian static and rotary gas/liquid separators[R].SAE951475,1995
[2] Hal J.Strumpf.Sabatier carbon dioxide reduction system for long-duration manned space application[R].SAE911541,1991
, http://www.100md.com
[3] Jurgen Bosch.Development of membrane based gas-water separation technologies[R].SAE961406,1996
[4] Saunders CG.A hydrophobic-hydrophilic zero gravity liquid gas phase separator[R].SAE690638,1969
[5] Barry W.finger.Application of capillary fluid management techniques to the design of a phase separating microgravity bioreactor[R].SAE932165,1993
[6] 胡文瑞,徐硕昌.微重力流体力学[M].北京:科学出版社,1999:19
收稿日期:1999-11-10, 百拇医药