柳穿鱼中三萜化合物的研究
作者:华会明 侯柏玲 李文 李铣 张彦
单位:沈阳药科大学天然药化研究室 110015
关键词:柳穿鱼;三萜;环阿尔廷三萜
中草药000605摘 要 从柳穿鱼 Linaria vulgaris Mill.的干燥全草中分 得6 个三萜化合物,通过光谱解析,鉴定它们的结构为环阿尔廷-25-烯-3β,24ξ-二醇(cy cloart-25-ene-3β,24ξ-diol,Ⅰ),环阿尔廷-23-烯-3β,25-二醇(cycloart-2 3 -ene-3β,25-diol,Ⅱ),isomultiflorenol(Ⅲ),isomultiflorenone(Ⅳ),乌索酸(urs olic acid,Ⅴ),马斯里酸(maslinatic acid,Ⅵ)。它们均为首次自该属植物中分得。
Triterpenes from Butter-and-Eggs (Linaria vulgaris)
, 百拇医药
Hua Huiming, Hou Bailing , Li Wen and Li Xian
(Shenyang Pharmaceutical University Shenyang 110015)
Abstract Six triterpenes were isolated from the whole plant of Linaria vulgaris Mill.. Their structures were identified as cycloart- 25 -ene-3β-, 24ξ-diol(Ⅰ), cycloart-23-ene-3β,25-diol(Ⅱ), isomultiflor enol (Ⅲ); isomultiflorenone (Ⅳ), ursolic acid (Ⅴ), and maslinatic acid (Ⅵ) by chemical and spectral analysis.
, 百拇医药
Key words Linaria vulgaris Mill. triterpenes cycloar tene triterpenes
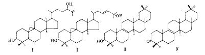
柳穿鱼 Linaria vulgaris Mill. 是玄参科 Scrophulariaceae 柳穿鱼属 Linaria 植物。民间用于镇咳、祛痰、平喘、利尿,治头痛等[1]。该属植物国 外报道用作利尿剂、轻泻剂、解痉、利胆和抗炎药[2]。柳穿鱼的化学成分已报道 有黄酮、环烯醚萜和生物碱类。我们在研究柳穿鱼的黄酮类成分之后[3],又鉴定 了6个三萜化合物,即环阿尔廷-25-烯-3β,24ξ-二醇(cycloart-25-ene-3β,24ξ -diol,Ⅰ),环阿尔廷-23-烯-3β,25-二醇(cycloart-23-ene-3β,25-diol,Ⅱ) ,i somultiflorenol(Ⅲ),isomultiflorenone(Ⅳ),熊果酸(ursolic acid,Ⅴ),马斯里酸(mas linatic acid,Ⅵ)。它们均为首次自该属植物中分得。化合物Ⅰ~Ⅳ的化学结构式见图1。
, http://www.100md.com
1 仪器与材料
熔点测定用日本Yanaco MP-S3型显微熔点测定仪(未校正);IR测定利用Bruker IR S -55型红外分光光度计;NMR谱利用 Burker-AC(E)-300型核磁共振光谱仪测定(TMS作内标 );MS用VG-70SE磁式质谱仪。TLC用硅胶GF254,硅胶H,柱层析用硅胶(200~300目) 均由青岛海洋化工厂生产。植物材料采自黑龙江省哈尔滨市郊及泰康县,原植物学名 Lin aria vulgaris Mill.由苏世文教授鉴定。
图1 化合物Ⅰ~Ⅳ的化学结构式
2 提取与分离
柳穿鱼干燥全草10 kg粉碎后,用95%的乙醇回流提取3次,浓缩后,加水调至醇浓度为70% ,沉降叶绿素,滤除沉淀,回收溶剂得乙醇提取物。将总提取物加适量水,依次用石油醚、 CHCl3、EtOAc和n-BuOH萃取。石油醚萃取物分为两部分分别进行硅胶柱层析。一部分(67 g)以石油醚-丙酮不同比例的混合溶剂洗脱,(93∶7)洗脱部分得晶 Ⅰ 11 mg;(9∶1)洗 脱部分得粉末 V 19 mg,222~242流份经二次硅胶柱层析,CHCl3-Me2CO(99:1)洗脱得 粉末Ⅱ 6 mg;(8∶2)洗脱部分得粉末 Ⅵ 10 mg。另一部分(28 g)以石油醚-氯仿不同比例 的混合溶剂洗脱,(1∶2)洗脱部分得晶Ⅳ 6 mg,氯仿洗脱部分得晶Ⅲ 22 mg。
, http://www.100md.com
3 鉴定
化合物Ⅰ:无色针晶,mp 169 ℃~171 ℃(CHCl3),Liebermann-Berchard 反应阳性。H REIMS给出分子量为442.3820,示分子式为C30H50O2(MW calc.442.3811) , 不饱和度为6。1HNMR谱给出1,1,2,2-四取代环丙烷的AB系统的两个信号δ0.56,0. 34(d,J=4.0 Hz,1H each),表明该化合物为cycloartane 三萜[4]。1HNMR信号 δ4.03(t,J=6.0 Hz),3.29(dd,J=10.2,4.2 Hz,H-3α)及13CNMR信号δ78.8 6,76. 38,显示有两个连氧碳,此外1HNMR还显示有末端双键信号δ4.95,4.85(brs,1H e ach)。由不饱和度6说明化合物Ⅰ只有一个双键,而13CNMR谱(见表1,经2DNMR归 属)显 示有两组末端双键信号(δ147.53,111.38,和147.81,110.88),显然化合物Ⅰ是由两 个异构体组成,且双键位于手性碳邻位[5]。根据cycloartane型三萜的质谱裂解规 律[6],Ⅰ的EIMS特征峰315(M+-side chain),302,175(302-side chain),表 明侧链上有一羟基取代和一个双键。HMBC谱显示,质子信号δ1.75(s,3H)与碳信号δ76.4 ,110.9,111.4,147.5,147.8有远程相关,说明双键位于C-25,羟基位于C-24,且 Ⅰ由24位的差向异构体组成。故化合物Ⅰ鉴定为环阿尔廷-25-烯-3β,24ξ-二醇。 13CNMR数据见表1。
, http://www.100md.com
化合物Ⅱ:白色粉末,mp 194 ℃~195 ℃(Me2CO),1HNMR显示有cycloartane三萜的特 征信号δ0.55和0.33(d,J=4.0 Hz,各1H)及双键质子信号5.60(m,2H),EIMS给出与Ⅰ相 同 的分子离子峰(m/z,442)及一系列特征碎片峰(m/z 424,315,302,297,175),表明该化合物为c ycloartane三萜,且与Ⅰ具有相同的母核,只是侧链部分的双键和羟基位置不同 。1HNMR仅给出一个连氧的碳上质子信号δ3.29(dd,J=10.8,4.5 Hz,3α-H)。2个甲基质子信号δ1 .32(s,6H)和碳信号δ29.90和29.92处于低场,表明羟基应连在C-25。1H- 1H COSY显 示H3-21与H-20,H-20与H-22,H-22与H-23有相关峰,所以双键位于C-23,24上。 故Ⅱ鉴定为环阿尔廷-23-烯-3β,25-二醇,其13CNMR数据与文献报道一致 [7]。
, 百拇医药
表1 化合物Ⅰ~Ⅵ的13CNMR化学位移 No
Ⅰ
Ⅱ
Ⅲ
Ⅳ
Ⅴ
Ⅵ
1
31.94t
31.99
35.07t
35.35t
39.21t
, 百拇医药
46.37
2
30.42t
30.41
27.51t
34.58t
28.16t
68.50
3
78.86d
78.86
79.04d
218.23s
, http://www.100md.com
78.31d
83.77
4
40.51s
40.51
38.83s
47.18s
39.21s
39.39
5
47.14d
47.13
50.74d
, 百拇医药
51.25d
55.95d
55.84
6
21.14t
21.13
19.26t
20.57t
18.91t
18.78
7
28.15t
28.10
, 百拇医药
28.06t
27.30t
33.69t
33.44
8
48.00d
47.98
135.11s
136.34s
40.08s
39.75
9
20.02s
, 百拇医药
20.02
133.54s
132.10s
48.20d
47.68
10
26.03s
26.02
37.63s
37.47s
37.39s
38.48
11
, http://www.100md.com
26.03t
26.02
20.82t
20.71t
23.76t
23.60
12
32.92t
35.60
30.71t
30.60t
125.78d
122.39
, 百拇医药
13
45.32s
45.34
37.31s
37.32s
139.38s
144.80
14
48.84s
48.82
41.01s
41.12s
42.62s
, http://www.100md.com
42.15
15
31.09t
32.82
26.29t
26.25t
28.80t
29.25
16
26.50t
26.47
36.72t
36.88t
, http://www.100md.com
25.03t
23.66
17
52.21d
52.04
30.81s
30.79s
48.20s
48.10
18
18.00q
18.09
44.13d
, http://www.100md.com
44.05d
53.67d
41.91
19
29.91t
29.70
34.43t
34.47t
39.61d
46.58
20
35.93d
36.41
, http://www.100md.com
28.34s
38.34s
39.50d
30.86
21
18.34q
18.30
34.20t
34.07t
30.11t
34.14
22
35.58t
, 百拇医药
39.07
36.84t
36.61t
37.57t
33.13
23
31.71t
125.63
15.61q
21.19q
28.94q
28.19
24
, 百拇医药
76.38d
139.38
28.06q
26.76q
15.80q
16.74
25
147.53s,147.81s
19.83q
19.42q
16.71q
17.38
, 百拇医药
26
111.38t,110.88t
29.92
18.98q
18.98q
17.65q
17. 59
27
17.62q,17.24q
29.90
24.72q
24.72q
, http://www.100md.com
24.04q
26.06
28
19.34q
19.31
31.51q
31.48q
180.14q
180.04
29
14.01q
14.01
34.50q
, 百拇医药
34.38q
17.59q
33.13
30
25.46q
25.45
33.01q
33.06q
21.55q
23.84
化合物Ⅲ:白色针晶,mp 180 ℃~182 ℃(EtOH)。EIMS给出分子量426,结合13CNMR 显示30个碳信号(其中一上为连氧碳信号δ79.04),推测其分子式C30H50O。D EPT谱显示有8个季碳,3个叔碳,11个仲碳和8个甲基,表明化合物Ⅲ为五环三萜。四取代双 键碳信号δ133.54和135.11为典型的D∶C-friedooleanane三萜的8,9位双键[8] ,与文献中isomultiflorenyl acetate的13CNMR数据比较[8],Ⅲ的C-3 向高场位移2.1,C-2和C-4分别向低场位移2.1和0.9,表明3位为OH。质子信号δ3.24 (dd,J=11.4,4.8Hz)为H-3α,说明3-OH为β构型。故鉴定化合物Ⅲ为isomultiflorenol ,其质谱数据符合质谱裂解规律[9]。
, 百拇医药
化合物Ⅳ:无色结晶,mp 186 ℃~188 ℃ (CHCl3)。EIMS m/z:424(M+),409(M+-Me ),271(a),257(b),245(c),205(100%),109,95。1HNMR(CDCl3)δ:1.10(3H,s),1.08(6H , s),1.06(6H,s),0.99(3H,s),0.97(3H,s),0.96(3H,s)。13CNMR(CDCl3)见表1。 与化 合物Ⅲ的13CNMR数据比较,Ⅳ的C-2,C-3和C-4分别位移至δ34.58,218.23和4 7.18,表明C-3为羰基。故化合物Ⅳ被鉴定为isomultiflorenone,其IR、1HNMR和MS与文 献[10]报道基本一致。
化合物Ⅴ:白色粉末,mp 235 ℃~237 ℃ (Me2CO)。HREIMS、IR、1H、13CNMR 数据与文献[13]中熊果酸一致;将Ⅴ与已知物共TLC检识,为同一斑点。故Ⅴ鉴定 为熊果酸。
, http://www.100md.com
化合物Ⅵ:为白色粉末,mp 263 ℃~265 ℃ (Me2CO),10%H2SO4试剂显紫色,溴甲 酚 绿试剂显黄色。IR光谱示有羧基(1 694cm-1),EIMS给出分子量472,结合13C NMR的30个碳信号(其中包括一个羰基碳信号180.04,两个连氧碳信号83.77,68.50),推 测分子式为C30H48O4。1HNMR中烯氢质子信号5.46(t,J=3.0 Hz,1H)及 13CNMR中双键碳信号122.39和144.80,表明Ⅵ为△12-齐墩果烷型三萜。根据三 萜质谱裂解规律,HREIMS中碎片峰426.345 4(M-HCOOH,C29H46O2),248. 175 9(基峰C16H24O4),223.168 4(C14H23O2)及203.179 5(248-COOH),说明在D/E环有一羧基,A/B环有2个OH。1HNMR中两个连氧碳上质子信号4 .09(td-like,J=9.5,4.5 Hz)和3.38(d,J=9.5 Hz)为H-2β和H-3α信号[11] 。两个连 氧碳信号68.50,83.77为2α,3β-羟基C-2,C-3的信号[8]。与methyl masl inate (2α,3β-二羟基-齐墩果-12-烯-28-羧酸甲酯)的13CNMR比较[12 ],除羰基碳信号向低场位移外,C-17,18,22也不同程度地向低场位移,表明COOH位 于C-17位上。因此化合物Ⅵ鉴定为maslinatic acid。
, 百拇医药
化合物Ⅰ~Ⅵ的13CNMR数据见表1。
致谢:本校生药鉴定教研室苏世文教授鉴定植物材料;中国科学院沈阳应用生 态研究所于殿臣研究员代测质谱。
李文 本校测试中心
张彦 本校中药系61期本科生
参 考 文 献
1,江苏新医学院.中药大辞典(下册).上海:上海人民出版社,1977:15 26
2,Handjieva N V,et al. Tetrahedron,1993,49(41):9261
3,华会明,等.中草药,1999,30(5):332
, 百拇医药
4,Isaev M I,et al. Cham Nat Compd,1985,21:399
5,Anijaneyulu V,et al. Phytochemistry,1985,24(7):1610
6,Aplin R T,et al. J Chem Soc(B),1966:1078
7,Khan A Q,et al. Planta Med,1987,53:577
8,Mahato S B,et al. Phytochemistry,1994,37(6):1517
9,Shiojima K,et al. Tetrahedrom Lett,1989,30(49):6873
10,Seifert K,et al. Pharmazie,1976,31H (11):816
11,Kojima H,et al. Phytochemistry,1989,28(6):1703
12,Seo S,et al. Tetrahedron Lett,1975,(1):7
13,刘锡葵,等.中草药,1998,29(7):435
(1999-05-17收稿), http://www.100md.com
单位:沈阳药科大学天然药化研究室 110015
关键词:柳穿鱼;三萜;环阿尔廷三萜
中草药000605摘 要 从柳穿鱼 Linaria vulgaris Mill.的干燥全草中分 得6 个三萜化合物,通过光谱解析,鉴定它们的结构为环阿尔廷-25-烯-3β,24ξ-二醇(cy cloart-25-ene-3β,24ξ-diol,Ⅰ),环阿尔廷-23-烯-3β,25-二醇(cycloart-2 3 -ene-3β,25-diol,Ⅱ),isomultiflorenol(Ⅲ),isomultiflorenone(Ⅳ),乌索酸(urs olic acid,Ⅴ),马斯里酸(maslinatic acid,Ⅵ)。它们均为首次自该属植物中分得。
Triterpenes from Butter-and-Eggs (Linaria vulgaris)
, 百拇医药
Hua Huiming, Hou Bailing , Li Wen and Li Xian
(Shenyang Pharmaceutical University Shenyang 110015)
Abstract Six triterpenes were isolated from the whole plant of Linaria vulgaris Mill.. Their structures were identified as cycloart- 25 -ene-3β-, 24ξ-diol(Ⅰ), cycloart-23-ene-3β,25-diol(Ⅱ), isomultiflor enol (Ⅲ); isomultiflorenone (Ⅳ), ursolic acid (Ⅴ), and maslinatic acid (Ⅵ) by chemical and spectral analysis.
, 百拇医药
Key words Linaria vulgaris Mill. triterpenes cycloar tene triterpenes
柳穿鱼 Linaria vulgaris Mill. 是玄参科 Scrophulariaceae 柳穿鱼属 Linaria 植物。民间用于镇咳、祛痰、平喘、利尿,治头痛等[1]。该属植物国 外报道用作利尿剂、轻泻剂、解痉、利胆和抗炎药[2]。柳穿鱼的化学成分已报道 有黄酮、环烯醚萜和生物碱类。我们在研究柳穿鱼的黄酮类成分之后[3],又鉴定 了6个三萜化合物,即环阿尔廷-25-烯-3β,24ξ-二醇(cycloart-25-ene-3β,24ξ -diol,Ⅰ),环阿尔廷-23-烯-3β,25-二醇(cycloart-23-ene-3β,25-diol,Ⅱ) ,i somultiflorenol(Ⅲ),isomultiflorenone(Ⅳ),熊果酸(ursolic acid,Ⅴ),马斯里酸(mas linatic acid,Ⅵ)。它们均为首次自该属植物中分得。化合物Ⅰ~Ⅳ的化学结构式见图1。
, http://www.100md.com
1 仪器与材料
熔点测定用日本Yanaco MP-S3型显微熔点测定仪(未校正);IR测定利用Bruker IR S -55型红外分光光度计;NMR谱利用 Burker-AC(E)-300型核磁共振光谱仪测定(TMS作内标 );MS用VG-70SE磁式质谱仪。TLC用硅胶GF254,硅胶H,柱层析用硅胶(200~300目) 均由青岛海洋化工厂生产。植物材料采自黑龙江省哈尔滨市郊及泰康县,原植物学名 Lin aria vulgaris Mill.由苏世文教授鉴定。
图1 化合物Ⅰ~Ⅳ的化学结构式
2 提取与分离
柳穿鱼干燥全草10 kg粉碎后,用95%的乙醇回流提取3次,浓缩后,加水调至醇浓度为70% ,沉降叶绿素,滤除沉淀,回收溶剂得乙醇提取物。将总提取物加适量水,依次用石油醚、 CHCl3、EtOAc和n-BuOH萃取。石油醚萃取物分为两部分分别进行硅胶柱层析。一部分(67 g)以石油醚-丙酮不同比例的混合溶剂洗脱,(93∶7)洗脱部分得晶 Ⅰ 11 mg;(9∶1)洗 脱部分得粉末 V 19 mg,222~242流份经二次硅胶柱层析,CHCl3-Me2CO(99:1)洗脱得 粉末Ⅱ 6 mg;(8∶2)洗脱部分得粉末 Ⅵ 10 mg。另一部分(28 g)以石油醚-氯仿不同比例 的混合溶剂洗脱,(1∶2)洗脱部分得晶Ⅳ 6 mg,氯仿洗脱部分得晶Ⅲ 22 mg。
, http://www.100md.com
3 鉴定
化合物Ⅰ:无色针晶,mp 169 ℃~171 ℃(CHCl3),Liebermann-Berchard 反应阳性。H REIMS给出分子量为442.3820,示分子式为C30H50O2(MW calc.442.3811) , 不饱和度为6。1HNMR谱给出1,1,2,2-四取代环丙烷的AB系统的两个信号δ0.56,0. 34(d,J=4.0 Hz,1H each),表明该化合物为cycloartane 三萜[4]。1HNMR信号 δ4.03(t,J=6.0 Hz),3.29(dd,J=10.2,4.2 Hz,H-3α)及13CNMR信号δ78.8 6,76. 38,显示有两个连氧碳,此外1HNMR还显示有末端双键信号δ4.95,4.85(brs,1H e ach)。由不饱和度6说明化合物Ⅰ只有一个双键,而13CNMR谱(见表1,经2DNMR归 属)显 示有两组末端双键信号(δ147.53,111.38,和147.81,110.88),显然化合物Ⅰ是由两 个异构体组成,且双键位于手性碳邻位[5]。根据cycloartane型三萜的质谱裂解规 律[6],Ⅰ的EIMS特征峰315(M+-side chain),302,175(302-side chain),表 明侧链上有一羟基取代和一个双键。HMBC谱显示,质子信号δ1.75(s,3H)与碳信号δ76.4 ,110.9,111.4,147.5,147.8有远程相关,说明双键位于C-25,羟基位于C-24,且 Ⅰ由24位的差向异构体组成。故化合物Ⅰ鉴定为环阿尔廷-25-烯-3β,24ξ-二醇。 13CNMR数据见表1。
, http://www.100md.com
化合物Ⅱ:白色粉末,mp 194 ℃~195 ℃(Me2CO),1HNMR显示有cycloartane三萜的特 征信号δ0.55和0.33(d,J=4.0 Hz,各1H)及双键质子信号5.60(m,2H),EIMS给出与Ⅰ相 同 的分子离子峰(m/z,442)及一系列特征碎片峰(m/z 424,315,302,297,175),表明该化合物为c ycloartane三萜,且与Ⅰ具有相同的母核,只是侧链部分的双键和羟基位置不同 。1HNMR仅给出一个连氧的碳上质子信号δ3.29(dd,J=10.8,4.5 Hz,3α-H)。2个甲基质子信号δ1 .32(s,6H)和碳信号δ29.90和29.92处于低场,表明羟基应连在C-25。1H- 1H COSY显 示H3-21与H-20,H-20与H-22,H-22与H-23有相关峰,所以双键位于C-23,24上。 故Ⅱ鉴定为环阿尔廷-23-烯-3β,25-二醇,其13CNMR数据与文献报道一致 [7]。
, 百拇医药
表1 化合物Ⅰ~Ⅵ的13CNMR化学位移 No
Ⅰ
Ⅱ
Ⅲ
Ⅳ
Ⅴ
Ⅵ
1
31.94t
31.99
35.07t
35.35t
39.21t
, 百拇医药
46.37
2
30.42t
30.41
27.51t
34.58t
28.16t
68.50
3
78.86d
78.86
79.04d
218.23s
, http://www.100md.com
78.31d
83.77
4
40.51s
40.51
38.83s
47.18s
39.21s
39.39
5
47.14d
47.13
50.74d
, 百拇医药
51.25d
55.95d
55.84
6
21.14t
21.13
19.26t
20.57t
18.91t
18.78
7
28.15t
28.10
, 百拇医药
28.06t
27.30t
33.69t
33.44
8
48.00d
47.98
135.11s
136.34s
40.08s
39.75
9
20.02s
, 百拇医药
20.02
133.54s
132.10s
48.20d
47.68
10
26.03s
26.02
37.63s
37.47s
37.39s
38.48
11
, http://www.100md.com
26.03t
26.02
20.82t
20.71t
23.76t
23.60
12
32.92t
35.60
30.71t
30.60t
125.78d
122.39
, 百拇医药
13
45.32s
45.34
37.31s
37.32s
139.38s
144.80
14
48.84s
48.82
41.01s
41.12s
42.62s
, http://www.100md.com
42.15
15
31.09t
32.82
26.29t
26.25t
28.80t
29.25
16
26.50t
26.47
36.72t
36.88t
, http://www.100md.com
25.03t
23.66
17
52.21d
52.04
30.81s
30.79s
48.20s
48.10
18
18.00q
18.09
44.13d
, http://www.100md.com
44.05d
53.67d
41.91
19
29.91t
29.70
34.43t
34.47t
39.61d
46.58
20
35.93d
36.41
, http://www.100md.com
28.34s
38.34s
39.50d
30.86
21
18.34q
18.30
34.20t
34.07t
30.11t
34.14
22
35.58t
, 百拇医药
39.07
36.84t
36.61t
37.57t
33.13
23
31.71t
125.63
15.61q
21.19q
28.94q
28.19
24
, 百拇医药
76.38d
139.38
28.06q
26.76q
15.80q
16.74
25
147.53s,147.81s
19.83q
19.42q
16.71q
17.38
, 百拇医药
26
111.38t,110.88t
29.92
18.98q
18.98q
17.65q
17. 59
27
17.62q,17.24q
29.90
24.72q
24.72q
, http://www.100md.com
24.04q
26.06
28
19.34q
19.31
31.51q
31.48q
180.14q
180.04
29
14.01q
14.01
34.50q
, 百拇医药
34.38q
17.59q
33.13
30
25.46q
25.45
33.01q
33.06q
21.55q
23.84
化合物Ⅲ:白色针晶,mp 180 ℃~182 ℃(EtOH)。EIMS给出分子量426,结合13CNMR 显示30个碳信号(其中一上为连氧碳信号δ79.04),推测其分子式C30H50O。D EPT谱显示有8个季碳,3个叔碳,11个仲碳和8个甲基,表明化合物Ⅲ为五环三萜。四取代双 键碳信号δ133.54和135.11为典型的D∶C-friedooleanane三萜的8,9位双键[8] ,与文献中isomultiflorenyl acetate的13CNMR数据比较[8],Ⅲ的C-3 向高场位移2.1,C-2和C-4分别向低场位移2.1和0.9,表明3位为OH。质子信号δ3.24 (dd,J=11.4,4.8Hz)为H-3α,说明3-OH为β构型。故鉴定化合物Ⅲ为isomultiflorenol ,其质谱数据符合质谱裂解规律[9]。
, 百拇医药
化合物Ⅳ:无色结晶,mp 186 ℃~188 ℃ (CHCl3)。EIMS m/z:424(M+),409(M+-Me ),271(a),257(b),245(c),205(100%),109,95。1HNMR(CDCl3)δ:1.10(3H,s),1.08(6H , s),1.06(6H,s),0.99(3H,s),0.97(3H,s),0.96(3H,s)。13CNMR(CDCl3)见表1。 与化 合物Ⅲ的13CNMR数据比较,Ⅳ的C-2,C-3和C-4分别位移至δ34.58,218.23和4 7.18,表明C-3为羰基。故化合物Ⅳ被鉴定为isomultiflorenone,其IR、1HNMR和MS与文 献[10]报道基本一致。
化合物Ⅴ:白色粉末,mp 235 ℃~237 ℃ (Me2CO)。HREIMS、IR、1H、13CNMR 数据与文献[13]中熊果酸一致;将Ⅴ与已知物共TLC检识,为同一斑点。故Ⅴ鉴定 为熊果酸。
, http://www.100md.com
化合物Ⅵ:为白色粉末,mp 263 ℃~265 ℃ (Me2CO),10%H2SO4试剂显紫色,溴甲 酚 绿试剂显黄色。IR光谱示有羧基(1 694cm-1),EIMS给出分子量472,结合13C NMR的30个碳信号(其中包括一个羰基碳信号180.04,两个连氧碳信号83.77,68.50),推 测分子式为C30H48O4。1HNMR中烯氢质子信号5.46(t,J=3.0 Hz,1H)及 13CNMR中双键碳信号122.39和144.80,表明Ⅵ为△12-齐墩果烷型三萜。根据三 萜质谱裂解规律,HREIMS中碎片峰426.345 4(M-HCOOH,C29H46O2),248. 175 9(基峰C16H24O4),223.168 4(C14H23O2)及203.179 5(248-COOH),说明在D/E环有一羧基,A/B环有2个OH。1HNMR中两个连氧碳上质子信号4 .09(td-like,J=9.5,4.5 Hz)和3.38(d,J=9.5 Hz)为H-2β和H-3α信号[11] 。两个连 氧碳信号68.50,83.77为2α,3β-羟基C-2,C-3的信号[8]。与methyl masl inate (2α,3β-二羟基-齐墩果-12-烯-28-羧酸甲酯)的13CNMR比较[12 ],除羰基碳信号向低场位移外,C-17,18,22也不同程度地向低场位移,表明COOH位 于C-17位上。因此化合物Ⅵ鉴定为maslinatic acid。
, 百拇医药
化合物Ⅰ~Ⅵ的13CNMR数据见表1。
致谢:本校生药鉴定教研室苏世文教授鉴定植物材料;中国科学院沈阳应用生 态研究所于殿臣研究员代测质谱。
李文 本校测试中心
张彦 本校中药系61期本科生
参 考 文 献
1,江苏新医学院.中药大辞典(下册).上海:上海人民出版社,1977:15 26
2,Handjieva N V,et al. Tetrahedron,1993,49(41):9261
3,华会明,等.中草药,1999,30(5):332
, 百拇医药
4,Isaev M I,et al. Cham Nat Compd,1985,21:399
5,Anijaneyulu V,et al. Phytochemistry,1985,24(7):1610
6,Aplin R T,et al. J Chem Soc(B),1966:1078
7,Khan A Q,et al. Planta Med,1987,53:577
8,Mahato S B,et al. Phytochemistry,1994,37(6):1517
9,Shiojima K,et al. Tetrahedrom Lett,1989,30(49):6873
10,Seifert K,et al. Pharmazie,1976,31H (11):816
11,Kojima H,et al. Phytochemistry,1989,28(6):1703
12,Seo S,et al. Tetrahedron Lett,1975,(1):7
13,刘锡葵,等.中草药,1998,29(7):435
(1999-05-17收稿), http://www.100md.com