液相色谱质谱联用(LC-MS/MS)在天然化学成分分析中的应用Ⅰ.音喷离子化(SSI)与大气压化学离子化(APCI)对利血平的比较分析
作者:刘昌孝 李全胜 魏广力 高连用 葛惠清 原田芳文
单位:刘昌孝 李全胜 魏广力 高连用 葛惠清(天津药物研究院,天津药代与临床药理研究室 300193);原田芳文(日本日立公司LC-MS技术部)
关键词:音喷离子化;大气压化学离子化;利血平;液相色谱质谱联用技术
中草药000810摘 要 报道应用LC-MS/MS,采用音喷离子化(SSI)与大气压化学离子化(APCI)对利血平的比较分析,应用这两种离子化方法比较所得的利血平的标准质谱(MS)和二级质谱(MS2),实验证明两种离子化方法所得结果完全一致。
Application of LC-MS in the Analysis of Natural Products Ⅰ.Comparative Study for the Aanlysis of Reserpine by Sonic Spray Ionization and Atmospheric Pressure Chemical Ionization
, http://www.100md.com
Liu Changxiao
(Tianjin Institute of Pharmaceutical Research Tianjin 300193)
Li Quansheng
(Tianjin Institute of Pharmaceutical Research Tianjin 300193)
Wei Guangli
(Tianjin Institute of Pharmaceutical Research Tianjin 300193)
Gao Lianyong
(Tianjin Institute of Pharmaceutical Research Tianjin 300193)
, 百拇医药
Ge Huiqiang
(Tianjin Institute of Pharmaceutical Research Tianjin 300193)
Yoshifumi Harada
(Hitachi Ltd., Kokubunji, Tokyo, 185-8601, Japan.)
Abstract The use of sonic spray ionization (SSI) and atmospheric pressure chemical ionization (APCI) methods in liquid chromatography/mass spectrometry (LC-MS/MS) was compared for the analysis of reserpine.The analytical results showed that the standard MS and the second-order MS (MS2) of reserpine were completely identical in LC-MS/MS analysis using the two ionization methods.
, 百拇医药
Key words sonic spray ionization (SSI) atmospheric pressure chemical ionization (APCI) reserpine liquid chromatography-mass spectrometry (LC-MS)
利血平(reserpine)是存在于萝芙木Rauwolfia verticillata(Lour.)Bail.、云南萝芙木R. yunnanensis Tsiang和鸡骨常山Alstonia yunnanensis Diels.根中生物碱,具有降压和安定作用[1]。在药理模型中这一生物碱可用作实验模型的工具药,在LC-MS仪器检测中也用来实验仪器的性能和参数的检验。本文报告应用LC-MS/MS,采用音喷离子化(SSI)与大气压化学离子化(APCI)对利血平的比较分析,以比较两种离子化方式所得结果的一致性。为今后天然产物化学成分的研究中推广应用液相色谱-质谱联用技术起点作用。
, 百拇医药
1 材料和方法
仪器:日立LM-8000型LC-3QDMS系统,配以音喷离子化(SSI)与大气压化学离子化(APCI)接口以及LC-MS分析软件系统。图1,2分别为SSI接口APCI接口的示意图。
图1 音喷离子化(SSI)接口
图2 大气压化学离子化(APCI)接口
离子化方式:SSI和APCI。
离子检测:正离子检测。
液相系统:C18色谱柱,溶剂系统:甲醇,流速0.2 mL/min,总离子流(TIC)检测。
, 百拇医药
质谱条件:
SSI方式:
标准MS 扫描范围:100~650;累积电压:0 V;累积时间:100 ms。
二级MS(MS2) 离子累积 离子累积范围:584~635;累积时间:200 ms;扫描范围:100~650;分离电压:0.01 V。离子分离(MS1) 分离范围:608~610;分离时间:10 ms;0.04 V;离子流检测:588~631;电压:0.2 V;扫描范围:68~709。撞击解离MS(CID-MS) 撞击范围:588~631;撞击解离电压(CIDV):0.2 V;撞击解离时间:50 ms;扫描范围:68~709。
2 结果
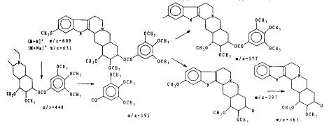
如图3和图4所示,SSI和APCI两种离子化方式对利血平进行LC-MS/MS分析,以正离子检测,所得标准MS完全一致。标准MS所得母离子m/z为609,与Na形成的母离子m/z为631,证实该化合物的分子量为608,与理论分子量608一致。
, 百拇医药
图3 SSI方式所得利血平的标准MS图
图4 APCI方式所得利血平的标准MS图
对m/z为609的母离子进行二级MS(MS2)分析,两种离子化方式得到完全相同的二级MS(MS2)结果,如图5和6所示。主要离子碎片有m/z为448,397,577(578),365和195。利血平的二级MS(MS2)的裂解成离子碎片的途径如见图7。进行二级MS分析时所得总离子流(TIC)检测的液相色谱图,显示的色谱峰含有m/z为448和397的离子流的测定效应。
图5 SSI方式所得利血平的二级MS(MS2)图
, http://www.100md.com
图6 APCI方式所得利血平的二级MS(MS2)图
图7 二级MS分析中的利血平的离子碎片裂解途径
本实验所得结果证明:对利血平采用SSI和APCI两种方式离子化,以正离子检测,标准MS和二级MS均能得到一致的结果。
3 讨论
液相色谱-质谱联用技术(LC-MS)在近10年中发展很快,由于它可分析难以挥发的化合物、热不稳定化合物和大分子化合物(如多肽、蛋白、多糖和多聚物),分析范围广,因而极受分析工作者重视。液相色谱-质谱-质谱联用技术(LC-MS/MS)具有比LC-MS更优越的性能,通过LC分离,应用MS/MS可分析在有大量杂质的混合物中分析待测物质,提高分析的特异性和灵敏性,可以获得更多的化学结构信息。
, http://www.100md.com
在研究者关注的LC-MS/MS的发展中,接口技术的发展为研究应用提供了更广泛应用的可能性,其中APCI、SSI和ESI离子化技术为我们提供了多种离子化方式,可满足多种分析的需要[2~4]。ESI对不同极性和稳定性的化合物的使用范围能完全被SSI所覆盖,同时还能覆盖部分APCI的使用范围。
参考文献
1,江纪武,肖庆祥.植物药有效成分手册.北京:人民卫生出版社,1986:888
2,Hirabayashi A,Sanokairi M and Koizumi H.Anal Chem,1994,65(2):4557
3,Hirabayashi A,Hirabayashi Y,Sanokairi M, et al.Rapid Communications in Mass Spectrometry,1996,10:1703
4,Hirabayashi Y,Hirabayashi A,Takada Y,Sanokairi M and Koizumi H. Anal Chem,1995,67(17):2878
(2000-04-05收稿), 百拇医药
单位:刘昌孝 李全胜 魏广力 高连用 葛惠清(天津药物研究院,天津药代与临床药理研究室 300193);原田芳文(日本日立公司LC-MS技术部)
关键词:音喷离子化;大气压化学离子化;利血平;液相色谱质谱联用技术
中草药000810摘 要 报道应用LC-MS/MS,采用音喷离子化(SSI)与大气压化学离子化(APCI)对利血平的比较分析,应用这两种离子化方法比较所得的利血平的标准质谱(MS)和二级质谱(MS2),实验证明两种离子化方法所得结果完全一致。
Application of LC-MS in the Analysis of Natural Products Ⅰ.Comparative Study for the Aanlysis of Reserpine by Sonic Spray Ionization and Atmospheric Pressure Chemical Ionization
, http://www.100md.com
Liu Changxiao
(Tianjin Institute of Pharmaceutical Research Tianjin 300193)
Li Quansheng
(Tianjin Institute of Pharmaceutical Research Tianjin 300193)
Wei Guangli
(Tianjin Institute of Pharmaceutical Research Tianjin 300193)
Gao Lianyong
(Tianjin Institute of Pharmaceutical Research Tianjin 300193)
, 百拇医药
Ge Huiqiang
(Tianjin Institute of Pharmaceutical Research Tianjin 300193)
Yoshifumi Harada
(Hitachi Ltd., Kokubunji, Tokyo, 185-8601, Japan.)
Abstract The use of sonic spray ionization (SSI) and atmospheric pressure chemical ionization (APCI) methods in liquid chromatography/mass spectrometry (LC-MS/MS) was compared for the analysis of reserpine.The analytical results showed that the standard MS and the second-order MS (MS2) of reserpine were completely identical in LC-MS/MS analysis using the two ionization methods.
, 百拇医药
Key words sonic spray ionization (SSI) atmospheric pressure chemical ionization (APCI) reserpine liquid chromatography-mass spectrometry (LC-MS)
利血平(reserpine)是存在于萝芙木Rauwolfia verticillata(Lour.)Bail.、云南萝芙木R. yunnanensis Tsiang和鸡骨常山Alstonia yunnanensis Diels.根中生物碱,具有降压和安定作用[1]。在药理模型中这一生物碱可用作实验模型的工具药,在LC-MS仪器检测中也用来实验仪器的性能和参数的检验。本文报告应用LC-MS/MS,采用音喷离子化(SSI)与大气压化学离子化(APCI)对利血平的比较分析,以比较两种离子化方式所得结果的一致性。为今后天然产物化学成分的研究中推广应用液相色谱-质谱联用技术起点作用。
, 百拇医药
1 材料和方法
仪器:日立LM-8000型LC-3QDMS系统,配以音喷离子化(SSI)与大气压化学离子化(APCI)接口以及LC-MS分析软件系统。图1,2分别为SSI接口APCI接口的示意图。
图1 音喷离子化(SSI)接口
离子化方式:SSI和APCI。
离子检测:正离子检测。
液相系统:C18色谱柱,溶剂系统:甲醇,流速0.2 mL/min,总离子流(TIC)检测。
, 百拇医药
质谱条件:
SSI方式:
标准MS 扫描范围:100~650;累积电压:0 V;累积时间:100 ms。
二级MS(MS2) 离子累积 离子累积范围:584~635;累积时间:200 ms;扫描范围:100~650;分离电压:0.01 V。离子分离(MS1) 分离范围:608~610;分离时间:10 ms;0.04 V;离子流检测:588~631;电压:0.2 V;扫描范围:68~709。撞击解离MS(CID-MS) 撞击范围:588~631;撞击解离电压(CIDV):0.2 V;撞击解离时间:50 ms;扫描范围:68~709。
2 结果
如图3和图4所示,SSI和APCI两种离子化方式对利血平进行LC-MS/MS分析,以正离子检测,所得标准MS完全一致。标准MS所得母离子m/z为609,与Na形成的母离子m/z为631,证实该化合物的分子量为608,与理论分子量608一致。
, 百拇医药
图3 SSI方式所得利血平的标准MS图
图4 APCI方式所得利血平的标准MS图
对m/z为609的母离子进行二级MS(MS2)分析,两种离子化方式得到完全相同的二级MS(MS2)结果,如图5和6所示。主要离子碎片有m/z为448,397,577(578),365和195。利血平的二级MS(MS2)的裂解成离子碎片的途径如见图7。进行二级MS分析时所得总离子流(TIC)检测的液相色谱图,显示的色谱峰含有m/z为448和397的离子流的测定效应。
, http://www.100md.com
图6 APCI方式所得利血平的二级MS(MS2)图
图7 二级MS分析中的利血平的离子碎片裂解途径
本实验所得结果证明:对利血平采用SSI和APCI两种方式离子化,以正离子检测,标准MS和二级MS均能得到一致的结果。
3 讨论
液相色谱-质谱联用技术(LC-MS)在近10年中发展很快,由于它可分析难以挥发的化合物、热不稳定化合物和大分子化合物(如多肽、蛋白、多糖和多聚物),分析范围广,因而极受分析工作者重视。液相色谱-质谱-质谱联用技术(LC-MS/MS)具有比LC-MS更优越的性能,通过LC分离,应用MS/MS可分析在有大量杂质的混合物中分析待测物质,提高分析的特异性和灵敏性,可以获得更多的化学结构信息。
, http://www.100md.com
在研究者关注的LC-MS/MS的发展中,接口技术的发展为研究应用提供了更广泛应用的可能性,其中APCI、SSI和ESI离子化技术为我们提供了多种离子化方式,可满足多种分析的需要[2~4]。ESI对不同极性和稳定性的化合物的使用范围能完全被SSI所覆盖,同时还能覆盖部分APCI的使用范围。
参考文献
1,江纪武,肖庆祥.植物药有效成分手册.北京:人民卫生出版社,1986:888
2,Hirabayashi A,Sanokairi M and Koizumi H.Anal Chem,1994,65(2):4557
3,Hirabayashi A,Hirabayashi Y,Sanokairi M, et al.Rapid Communications in Mass Spectrometry,1996,10:1703
4,Hirabayashi Y,Hirabayashi A,Takada Y,Sanokairi M and Koizumi H. Anal Chem,1995,67(17):2878
(2000-04-05收稿), 百拇医药