中国人不同性别冠状动脉钙化检出率的比较
作者:江时森 柯天秀 张启高 陈锐华 徐军 王立军
单位:南京军区总医院,210002,心内科
关键词:电子束CT;冠状动脉钙化;性别
心肺血管病杂志000310
摘要 用电子束CT检测中国人男女不同性别的冠状动脉钙化的检出率。959例患者用C-150EBCT扫描冠状动脉,分析冠状动脉钙化与性别、年龄的关系。男女随年龄增加,其钙化检出率均增加;无症状女性在40~49岁组,50~59岁组冠脉钙化发生率显著增加;无症状男性随年龄增加其冠脉钙化检出和积分成比例增加。中国人男女性别间冠状动脉钙化发生率有显著差异。
The Comparasion of the Prevalance of Coronary Artery Calcification in Different Gender in Chinese
, http://www.100md.com
Jiang Shisen,Ke Tianxiu,Zhang Qigao,et al.
(Nanjing General Army Hospital,Medical College of Nanjing University,China。210002)
Abstract To investigate coronary artery calcification(CAC)by electron beam computed tomography in different gender.The Imatron C-150 EBCT scanner was used to examine the CAC in 959 cases.The relation of CAC prevalence and score by age,sex and clinical CAD were analysed.(1)Prevalence of CAC and total score of CAC in both men and women were increased significantly with increased age.(2)There were significant increases in prevalences of CAC in asymptomatic women ages of 40 to 49 and 50 to 59,(3)The prevalence of CAC and mean total score of CAC in asymptomatic men were significantly higher than that in asymptomatic women.There was remarkable difference in the prevalence of CAC in men and women
, 百拇医药
Key words:Electron beam computed tomography(EBCT);Coronary artrey calcium(CAC);Coronary artery disease(CAD);Gender
冠状动脉钙化(CAC)是冠状动脉粥样硬化(CAA)的标志,而CAA是冠状动脉疾病(CAD)的病理生理基础。电子束CT(EBCT)是第一个高分辨、无创性检测CAC并予CAC定量的技术设备,本文通过研究959例中国人EBCT冠脉平扫的CAC定性结果与性别的相关性,了解CAC检测在不同性别中国人中的状况及意义。
对象及方法
1.病例资料 1998年2月至1999年1月在电子束CT诊断中心行CAC检测者959例,年龄为17~86岁,平均55.7±9岁,其中男性738例,女性221例。男女性受检者按年龄分为~29岁、30~岁、40~岁、50~岁、60~岁、70~岁6组;按临床冠心病症状分为(1)冠心病组 有典型心绞痛症状并经ECT显像和/或心电图运动试验和/或冠状动脉造影临床确诊冠心病者;(2)可疑冠心病组 有类似心绞痛症状且无冠心病及其他明确心脏病史,临床辅助检查不能确诊冠心病者;(3)非冠心病组 正常体检或其他疾病做心脏检查者。
, 百拇医药
2.设备和检查程序 959例受检者均用美国Imatron C-150型EBCT扫描机检测CAC。
3.统计方法 检测结果采用医学统计软件SPSS 7.5进行X2检验,显著性水平α=0.05。
结 果
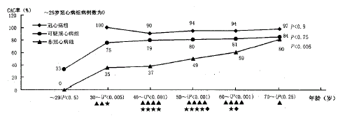
1.男女性CAC检出率与年龄、临床症状的关系见图1,图2。 图1示男性各临床症状组CAC率-年龄曲线,从图中可见,冠心病组(P<0.9)与可疑冠心病组(P<0.75)的CAC率与年龄无显著相关性,其CAC率-年龄曲线均趋于平缓;而非冠心病组的CAC率(除70~岁组CAC率大幅度上升了20%外)随年龄增长呈阶梯式上升(P<0.005)。图2示女性各临床症状组的CAC率-年龄曲线,从图中可见,女性冠心病组的CAC率亦无年龄显著相关性(P<0.5);但女性可疑冠心病组(P<0.025)的CAC率随年龄增长呈阶梯式上升,二者显著相关;非冠心病组的CAC率与年龄显著正相关(P<0.025),且忽略例数较少的30~岁组后,在40~岁与50~岁组之间存在CAC率的跳跃性上升(上升了23%)。
, 百拇医药
图1 男性各临床症状组CAC率-年龄曲线
注:图1、2中,冠心病组与非冠心病组比较:▲P<0.05,▲▲P<0.01,▲▲▲▲P<0.001,可疑冠心病组与非冠心病组比较:★P<0.05,★★★★P<0.001 冠心病组与可疑冠心病组比较:◆P<0.05
图2 女性各临床症状组CAC率-年龄曲线
2.不同临床症状组CAC率的性别比较 冠心病患者各年龄组的CAC率均无性别显著性差异;可疑冠心病者除30~岁组(P<0.05)外各年龄组的CAC率亦无性别显著性差异;男女性之间的CAC率差异随年龄增长呈递减趋势。
讨 论
1.男女性CAC率与年龄、临床症状关系的异同[1~3] 本研究结果示男女性非冠心病组的CAC率均随年龄增长而显著增高,该结果与国内外众多病理、透视及EBCT检测CAC研究的报道结果相一致,且符合CAA随年龄进展的规律。
, 百拇医药
50岁前非冠心病组男性的CAC率显著高于女性,该结果证实女性CAD发病晚于男性的论点,非冠心病组男性相邻年龄组之间的CAC率增幅较为一致,但70~岁组CAC率大幅度上升了20%,非冠心病组女性40~岁与50~岁组之间CAC率突然大幅度上升了23%,这可能和绝经后妇女冠脉病变迅速进展有关。有报道女性CAC率的跳跃性上升年龄段亦为50~岁[4],但国外报道的年龄段为60~岁[5]。
本研究中男女性冠心病组的CAC率均显著高于非冠心病组,尤其是对男性而言。由此可见,CAC定性检测对于临床识别CAD与非CAD人群(尤男性)具有一定的前瞻性。此外,男女性可疑冠心病组的CAC率均显著高于非冠心病组,与冠心病组之间则无显著差异(女性)或仅部分年龄段存在显著差异(男性),所以认为可疑冠心病组的CAC率更接近冠心病组水平,尤其是女性可疑组。该结果提示仅依赖CAC定性检测识别临床CAD与可疑CAD人群尚具一定难度,尤其对女性而言。
, 百拇医药 2.EBCT 定性检测CAC的临床意义 结合上述分析结果,CAC阴性可以说明冠脉严重狭窄的可能性较小,但这并不意味着CAC阴性人群一定不存在轻度的血管病变或可能存在不稳定斑块。国外随访研究证实CAC阴性者在今后的2~5年中出现心血管症状的危险性很低。
CAC阳性提高有可能存在冠脉粥样硬化斑块。且本研究结果显示CAC阳性与CAD症状显著相关,提示CAC阳性对阻塞性病变具敏感性。
本研究结果提示:(1)CAC检测结果符合CAA生理及病理性进展规律;(2)EBCT定性检测CAC对临床识别冠心病与可疑冠心病人群尚具一定难度,尤其对女性而言;(3)男女性CAC率显著性差异主要存在于50岁以前的非冠心病人群;(4)EBCT检查发现CA钙化敏感性高,但对冠心病诊断准确率较低,且检查费用高,在目前我国冠心病诊断不够严格的情况下,应严格掌握其适应症及正确判断其临床意义[6]。
参考文献
, http://www.100md.com
1,Lewis W,Bruce B,John C,et al.Coronary Artery Calcification:Pathophysiology,Epidemiology,Imaging Methods,and Clinical Implications.Circulation,1996,94(5):1175~1192.
2,Blankenhorn DH.Coronary arterial calcification:a review.Am J Med Sci,1961,242:41~49.
3,Eggen D A,Strong JP,Mcgill HC. Coronary calcification:relationship to clinically significant coronary lesions and race,sex,and topographic distribution.Circulation,1965,32:948~955.
, http://www.100md.com
4,张闽光,孙兮文,沈天真.国人冠状动脉钙化的电子束CT检测结果及其临床意义.中华放射学杂志,1998,32(2):86~89.
5,Nathan D W,Dan K,Anthory N V,et al.Coronary calcium and atherosclerosis by ultrafast computed tomography in asymptomatic men and women:relation to age and risk factors.Am Heart J,1994,127:422~430.
6,江时森,柯天秀,徐军,等.电子束CT检测冠状动脉钙化与冠脉造影狭窄的关系.江苏医药杂志,2000,26:256~258.
1999-08-02收稿,2000-01-25修回, 百拇医药
单位:南京军区总医院,210002,心内科
关键词:电子束CT;冠状动脉钙化;性别
心肺血管病杂志000310
摘要 用电子束CT检测中国人男女不同性别的冠状动脉钙化的检出率。959例患者用C-150EBCT扫描冠状动脉,分析冠状动脉钙化与性别、年龄的关系。男女随年龄增加,其钙化检出率均增加;无症状女性在40~49岁组,50~59岁组冠脉钙化发生率显著增加;无症状男性随年龄增加其冠脉钙化检出和积分成比例增加。中国人男女性别间冠状动脉钙化发生率有显著差异。
The Comparasion of the Prevalance of Coronary Artery Calcification in Different Gender in Chinese
, http://www.100md.com
Jiang Shisen,Ke Tianxiu,Zhang Qigao,et al.
(Nanjing General Army Hospital,Medical College of Nanjing University,China。210002)
Abstract To investigate coronary artery calcification(CAC)by electron beam computed tomography in different gender.The Imatron C-150 EBCT scanner was used to examine the CAC in 959 cases.The relation of CAC prevalence and score by age,sex and clinical CAD were analysed.(1)Prevalence of CAC and total score of CAC in both men and women were increased significantly with increased age.(2)There were significant increases in prevalences of CAC in asymptomatic women ages of 40 to 49 and 50 to 59,(3)The prevalence of CAC and mean total score of CAC in asymptomatic men were significantly higher than that in asymptomatic women.There was remarkable difference in the prevalence of CAC in men and women
, 百拇医药
Key words:Electron beam computed tomography(EBCT);Coronary artrey calcium(CAC);Coronary artery disease(CAD);Gender
冠状动脉钙化(CAC)是冠状动脉粥样硬化(CAA)的标志,而CAA是冠状动脉疾病(CAD)的病理生理基础。电子束CT(EBCT)是第一个高分辨、无创性检测CAC并予CAC定量的技术设备,本文通过研究959例中国人EBCT冠脉平扫的CAC定性结果与性别的相关性,了解CAC检测在不同性别中国人中的状况及意义。
对象及方法
1.病例资料 1998年2月至1999年1月在电子束CT诊断中心行CAC检测者959例,年龄为17~86岁,平均55.7±9岁,其中男性738例,女性221例。男女性受检者按年龄分为~29岁、30~岁、40~岁、50~岁、60~岁、70~岁6组;按临床冠心病症状分为(1)冠心病组 有典型心绞痛症状并经ECT显像和/或心电图运动试验和/或冠状动脉造影临床确诊冠心病者;(2)可疑冠心病组 有类似心绞痛症状且无冠心病及其他明确心脏病史,临床辅助检查不能确诊冠心病者;(3)非冠心病组 正常体检或其他疾病做心脏检查者。
, 百拇医药
2.设备和检查程序 959例受检者均用美国Imatron C-150型EBCT扫描机检测CAC。
3.统计方法 检测结果采用医学统计软件SPSS 7.5进行X2检验,显著性水平α=0.05。
结 果
1.男女性CAC检出率与年龄、临床症状的关系见图1,图2。 图1示男性各临床症状组CAC率-年龄曲线,从图中可见,冠心病组(P<0.9)与可疑冠心病组(P<0.75)的CAC率与年龄无显著相关性,其CAC率-年龄曲线均趋于平缓;而非冠心病组的CAC率(除70~岁组CAC率大幅度上升了20%外)随年龄增长呈阶梯式上升(P<0.005)。图2示女性各临床症状组的CAC率-年龄曲线,从图中可见,女性冠心病组的CAC率亦无年龄显著相关性(P<0.5);但女性可疑冠心病组(P<0.025)的CAC率随年龄增长呈阶梯式上升,二者显著相关;非冠心病组的CAC率与年龄显著正相关(P<0.025),且忽略例数较少的30~岁组后,在40~岁与50~岁组之间存在CAC率的跳跃性上升(上升了23%)。
, 百拇医药
图1 男性各临床症状组CAC率-年龄曲线
注:图1、2中,冠心病组与非冠心病组比较:▲P<0.05,▲▲P<0.01,▲▲▲▲P<0.001,可疑冠心病组与非冠心病组比较:★P<0.05,★★★★P<0.001 冠心病组与可疑冠心病组比较:◆P<0.05
图2 女性各临床症状组CAC率-年龄曲线
2.不同临床症状组CAC率的性别比较 冠心病患者各年龄组的CAC率均无性别显著性差异;可疑冠心病者除30~岁组(P<0.05)外各年龄组的CAC率亦无性别显著性差异;男女性之间的CAC率差异随年龄增长呈递减趋势。
讨 论
1.男女性CAC率与年龄、临床症状关系的异同[1~3] 本研究结果示男女性非冠心病组的CAC率均随年龄增长而显著增高,该结果与国内外众多病理、透视及EBCT检测CAC研究的报道结果相一致,且符合CAA随年龄进展的规律。
, 百拇医药
50岁前非冠心病组男性的CAC率显著高于女性,该结果证实女性CAD发病晚于男性的论点,非冠心病组男性相邻年龄组之间的CAC率增幅较为一致,但70~岁组CAC率大幅度上升了20%,非冠心病组女性40~岁与50~岁组之间CAC率突然大幅度上升了23%,这可能和绝经后妇女冠脉病变迅速进展有关。有报道女性CAC率的跳跃性上升年龄段亦为50~岁[4],但国外报道的年龄段为60~岁[5]。
本研究中男女性冠心病组的CAC率均显著高于非冠心病组,尤其是对男性而言。由此可见,CAC定性检测对于临床识别CAD与非CAD人群(尤男性)具有一定的前瞻性。此外,男女性可疑冠心病组的CAC率均显著高于非冠心病组,与冠心病组之间则无显著差异(女性)或仅部分年龄段存在显著差异(男性),所以认为可疑冠心病组的CAC率更接近冠心病组水平,尤其是女性可疑组。该结果提示仅依赖CAC定性检测识别临床CAD与可疑CAD人群尚具一定难度,尤其对女性而言。
, 百拇医药 2.EBCT 定性检测CAC的临床意义 结合上述分析结果,CAC阴性可以说明冠脉严重狭窄的可能性较小,但这并不意味着CAC阴性人群一定不存在轻度的血管病变或可能存在不稳定斑块。国外随访研究证实CAC阴性者在今后的2~5年中出现心血管症状的危险性很低。
CAC阳性提高有可能存在冠脉粥样硬化斑块。且本研究结果显示CAC阳性与CAD症状显著相关,提示CAC阳性对阻塞性病变具敏感性。
本研究结果提示:(1)CAC检测结果符合CAA生理及病理性进展规律;(2)EBCT定性检测CAC对临床识别冠心病与可疑冠心病人群尚具一定难度,尤其对女性而言;(3)男女性CAC率显著性差异主要存在于50岁以前的非冠心病人群;(4)EBCT检查发现CA钙化敏感性高,但对冠心病诊断准确率较低,且检查费用高,在目前我国冠心病诊断不够严格的情况下,应严格掌握其适应症及正确判断其临床意义[6]。
参考文献
, http://www.100md.com
1,Lewis W,Bruce B,John C,et al.Coronary Artery Calcification:Pathophysiology,Epidemiology,Imaging Methods,and Clinical Implications.Circulation,1996,94(5):1175~1192.
2,Blankenhorn DH.Coronary arterial calcification:a review.Am J Med Sci,1961,242:41~49.
3,Eggen D A,Strong JP,Mcgill HC. Coronary calcification:relationship to clinically significant coronary lesions and race,sex,and topographic distribution.Circulation,1965,32:948~955.
, http://www.100md.com
4,张闽光,孙兮文,沈天真.国人冠状动脉钙化的电子束CT检测结果及其临床意义.中华放射学杂志,1998,32(2):86~89.
5,Nathan D W,Dan K,Anthory N V,et al.Coronary calcium and atherosclerosis by ultrafast computed tomography in asymptomatic men and women:relation to age and risk factors.Am Heart J,1994,127:422~430.
6,江时森,柯天秀,徐军,等.电子束CT检测冠状动脉钙化与冠脉造影狭窄的关系.江苏医药杂志,2000,26:256~258.
1999-08-02收稿,2000-01-25修回, 百拇医药