喹诺酮类药物分析现状
作者:陈 奇 邹长英
单位:陈 奇 福建卫生学校;邹长英 三明市第一医院
关键词:
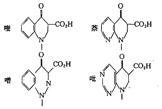
海峡药学990395 喹诺酮类抗菌药亦称吡啶酮酸类抗菌药,能与细菌DNA复制所必需的DNA-gyrase的亚基A(SubunitA)结合而抑制DNA合成的复制化,加上对细菌细胞具较强的穿透力,故具有强大的杀菌作用。该类抗菌剂的开发始于1962年萘啶酸的发现,尤其是1978年诺氟沙星问世以来,至今已开发和正在研制的药物有50多种[1],该类抗菌剂按глуLⅡKOB的分类法可分为3代,其中,第三代氟喹诺酮类抗菌剂是近年来抗感染药物中最活跃的研究领域之一,已上市和正在报批与研制的有:诺氟沙星(Norfloxacin)、环丙沙星(Ciprofloxacin)、氧氟沙星(Ofloxacin)、诺沙星(Enoxacin)、替马沙星(Temafloxacin)、培氟沙星(Pefloxacin)、洛美沙星(Lomefloxacin)、妥舒沙星(Tosulfloxacin)、氟罗沙星(Fleroxacin)、卢氟沙星(Rufloxacin)、司帕沙星(Sparfloxacin)、左氟沙星(Levofloxacin)、诺氟沙星琥珀酯(NorfloxacinSuccinil)、Irloxacin、Nadifloxacin、Jinofloxacin等。按结构可分为4类,(见表1、图1)
, 百拇医药
表1 喹诺酮类药物分类及常见药物 类 别
结构
常见药物
喹诺酮羧酸类型
诺氟沙星,环丙沙星
培氟沙星
萘啶羧酸类
萘啶酸,依诺沙星
噌啉羧酸类
西诺沙星
吡啶并嘧啶羧酸
吡哌酸
, 百拇医药
图1 喹诺酮母体结构
随着喹诺酮类抗菌剂各项研究的不断深入,该类抗菌剂的分析方法也得到了发展。对于发现和应用较早的第一代和第二代喹诺酮类抗菌剂,各种分析方法几近完善并为多数国家药典所收载。而对于近年来迅速发展的第三代氟喹诺酮类,虽然研究建立了许多分析方法,但中国药典仅收载对诺氟沙星分析方法一种。故笔者认为有必要综述有关氟喹诺酸抗菌剂分析方法的应用和研究现状,以期为制定统一的分析标准提供依据。
目前,对氟喹诺酮类抗菌剂的分析方法中,经典的非水滴定法已被国内许多地方标准收载;而紫外分光光度法近年来得到广泛的研究和应用,已成为该类抗菌剂的主要分析方法之一;高效液相色谱法以其无可比拟的优点越来越引人注目,并在生物样品的分析中独占鳌头;荧光法,比色法,氧瓶燃烧法,四苯硼钠法也各具优点,得到不同程度的应用;此外,有人研究了电位法,极谱法,离子色谱法等边缘方法。现将各类分析方法综述如下。
1 非水滴定法 喹诺酮类抗菌剂在结构上有羧基和哌嗪基,具酸碱两性,且除acrosoxacin外,均为疏脂性;而且在pH6~8范围内水溶性一般较差。因而常用非水滴定法,如中国药典中记载对诺氟沙星的测定。[2]
, http://www.100md.com
2 紫外分光光度法 本类抗菌剂分子结构中都具有共轭双键,在紫外区具有特征性吸收,可用吸收系数法或标准品对照法进行含量测定(见表2)。近年来,已有人开始研究用计算分光光度法进行含量测定(见表3)。随着紫外分光光度计的普及,紫外分光光度法已成为该类药物的测定主流。
表2 氟喹诺酮的紫外检测 抗菌剂
样品
溶剂
测定波长
诺氟沙星
原料[3]
0.05mol/LNaOH
273±1nm
, http://www.100md.com
胶囊[4]
0.05mol/LNaOH
272nm
胶囊[5]
0.02mol/LNaOH
323.5nm
胶囊[6]
0.1mol/LHCl
276±1nm
糖浆[7]
0.04mol/LHC1
, http://www.100md.com
315nm
依诺沙星
片剂[8]
0.1mol/LNaOH
266±1nm
片剂[9]
0.1mol/LNaOH
346nm
片剂、胶囊[10]
0.1mol/LNaOH
346±1nm
, 百拇医药
氧氟沙星
滴眼液[11]
0.1mol/L醋酸
293nm
软膏[12]
0.1mol/LHC1
293nm
环丙沙星
片剂[13]
蒸馏水
275±1nm
胶囊[4]
, 百拇医药
0.1mol/LHC1
277nm
滴耳液[15]
蒸馏水
278nm
尿[16]
0.01mol/LNaOH
335nm
表3 计算分光光度法在氟喹诺类抗菌剂分析中的应用 方法
样品
优点
, http://www.100md.com 一阶导数分
诺氟沙星胶囊
消除辅料干扰
光光度法
环丙沙星片
消除薄膜衣干扰
盐酸环丙沙星滴眼液
消除尼泊金乙酯干扰
二阶导数分光光度法
尿中依诺沙星
消除尿的干扰
双波长分
, 百拇医药 诺氟沙星葡萄糖
消除5-羟甲基
光光度法
注射液
糠醛的干扰
3 荧光光度法 靳建中[17]用此法测定氟哌酸胶囊。方法是将氟哌酸溶于稀盐酸液,分别扫描激发光谱和发射光谱,吸收峰分别为Ex280nm、Em449nm;在Ex280nm、Em449nm处测定荧光强度。由于荧光强度与溶剂pH有关,故需选择适宜pH的溶剂。本法选用0.05mol/L盐酸溶液为溶剂。
4 比色法 喹诺酮类药物结构上的-COOH与C=O遇Fe3+络合产生稳定的1∶1络合物,显橙黄色,可供比色测定;辅料如乳酸钙、硬脂酸镁、乳糖、淀粉、羧甲基纤维素钠等无干扰。唐湘江等[18]用此法测定盐酸环丙沙星片。
, 百拇医药
何献伟[19]采用离子对比色法(酸性染料比色法)成功地测定了诺氟沙星胶囊的含量。
5 高效液相色谱法 喹诺酮类药物用常规液相色谱法若用乙腈-水或甲醇-水为流动相洗脱时,常会出现色谱峰滞后拖尾现象,对称性差,分离度低和保留时间不稳定等问题,宜采用离子抑制或离子对色谱法等技术克服上述缺点。由表4可以看出,目前国内多采用反相离子对色谱法测定氟喹诺酮类药物。
对于生物样品中的氟喹诺酮类药物,需经色谱前处理。这是因为体液中蛋白质等成分将沉积在色谱柱上,降低孔隙率,导致柱压升高,柱效降低,保留值变化乃至使色谱柱迅速报废。常用色谱前处理血浆、血清或尿样的基本技术有四种:简单过滤、蛋白质沉淀、溶剂萃取和固相吸收。色谱前处理技术费时繁琐,有时甚至达不到有效的分离效果。采用将样品的净化、浓缩、预处理和定性、定量分析融为一体的柱切换高效液相色谱法(Column-SwitchingHPLC,CSHPLC)具有简便、快速、准确、灵敏等特点。郭平等[21]采用CSHPLC测定血浆中的双氟哌酸,李章万等[24]采用CSHPLC测定血浆中的环丙沙星,都取得良好的效果。
, 百拇医药
表4 喹诺酮类药物的HPLC法测定 抗菌剂
样品(处理)
流动相
氟哌酸[20]
血浆
甲醇-0.008M磷酸盐缓冲液-四
(甲醇沉淀蛋白)
丁基溴化铵(25∶75∶4)
双氟哌酸[21]
血浆
甲醇-乙酸铵缓冲液(0.2mol/L,(三氯乙酸沉淀蛋白)
, http://www.100md.com
pH2.7)(38∶62)
依诺沙星[22]
软膏
甲醇-0.035mol/L甲烷磺酸-
四氢呋喃(50∶30∶15)
环丙沙星[23]
血、尿
乙腈-磷酸缓冲液(pH3)
(乙腈混匀后离心)
(8∶92和6∶94)
环丙沙星[24]
, 百拇医药
血清
甲醇-乙腈-0.05mol/L磷酸二
(乙腈处理)
氢钾(33∶11∶56)加0.166%
环丙沙星[25]
溴化四丁基铵
血清
甲醇-0.08mol/L磷酸缓冲液-
(甲醇处理)
四丁基溴化铵-乙腈
环丙沙星[26]
, http://www.100md.com
(25∶75∶4∶7)
血浆
甲醇-乙腈-0.01mol/L磷酸盐
(乙腈处理)
(25∶20∶55,pH2.8)
环丙沙星[27]
(乙酸处理)
血浆
甲醇-乙酸铵(0.2mol/L,pH2.7)
(35∶65)
环丙沙星[28]
, http://www.100md.com
血清
甲醇-乙腈-0.01mol/L磷酸盐
(二氯甲烷处理)
缓冲液(pH3)(14∶8∶78)
环丙沙星[29]
软膏
0.4mol/L柠檬酸-甲醇-乙腈
(10∶4∶1)
环丙沙星[14]
胶囊
0.01mol/L磷酸二氢钠液-甲
, http://www.100md.com
(二氯甲烷处理)
醇(67∶33,pH2.4)
6 电位法 李光秀等[30]以Gran电位滴定法测定了诺氟沙星及其胶囊的含量。其方法是以0.1mol/LKC1溶液作离子强度调节剂,用NaOH标准液滴定,滴定剂分次等体积加入,测定其pH值,以强碱滴定水不溶性弱酸计量点后之Gran函数对滴定剂体积作图,直线外推法确定终点。黄杜清等[31]采用差示扫描电位法(DSP)测定诺氟沙星的含量,方法独特新颖。
7 其它 有人利用诺氟沙星在中性磷酸盐介质中,在滴汞电极上吸附并还原而于-1.48V处产生一灵敏的极谱波来测定其胶囊含量,灵敏度高,简便快速。还有人得用离子色谱法测定诺氟沙星,灵敏度高,线性范围宽,操作简便。其它尚有四苯硼钠法及氧燃烧法等。
参考文献
, http://www.100md.com
1.李正化等;药物化学,北京,人民卫生出版社,1993;361
2.中华人民共和国药典(1995版)(Ⅱ部):779
3.张海澄;国外医药-抗生素分册1994;10(1):56
4.钟惠平等;紫分光度法测定氟哌酸胶囊 中国医院药学杂志 1990;10(1):28
5.魏长林等;氟哌酸胶囊的分光光度法测定 药物分析杂志 1989;9(6):362
6.杨锐等;氟哌酸胶囊剂含量测定方法和体外溶出度考察 中国抗生素杂志 1991;16(6):434
7.吴健敏等;氟哌酸糖浆的分光光度法测定 药物分析杂志 1993;13(3):203
, 百拇医药
8.张志州等;紫外分光光度测定氟哌酸片含量 中国医院药学杂志 1990;10(9):414
9.钟惠平;紫外分光光度法测定依诺沙星片含量 药物分析杂志 1992;12(1):50
10.杜爱珍等;紫外分光光度法测定氟哌酸制剂的含量 药物分析杂志 1990;10(6):356
11.黄波等;紫外分光光度法测定环丙沙星滴眼液的含量 现代应用药学 1993;10(2):30
12.邵水娟;紫外分光光度法测定氧氟沙星软膏含量 药物分析杂志 1994;14(4):54
13.刁雨辉;盐酸环丙沙星紫外测定及其片剂的质量考察 中国医院药学杂志 1994;14(5):212
14.刘瑞玲等;盐酸环丙沙星含量测定方法的研究 药物分析杂志 1994;14(1):45
, 百拇医药
15.章立行;紫外分光光度法测定环丙沙星滴眼液的含量 现代应用药学 1993;10(5):41
16.张华安;紫外分光光度法测定尿中环丙沙星的排泄量中国医院药学杂志 1993;13(3):116
17.靳建中;荧光分光光度法测定氟哌酸胶囊的含量 药物分析杂志 1990;10(6):362
18.唐湘江等;比色法测定盐酸环丙沙星片含量 现代应用药学 1993;10(6):38
19.何献伟;药物分析杂志 1994,14(2):107~109
20.许丹科等;反相离子对色谱法测定人血中氟哌酸 药物分析杂志 1990;10(5):265
21.郭平;HPLC柱切换法测定双氟哌酸 药物分析杂志 1992;12(1):1
, 百拇医药
22.曹洪沛;依诺沙星软膏的高效液相色谱法分析研究 药物分析杂志 1993;13(3):181
23.施耀国等;环丙沙星及其代谢物体液浓度的高效液相色谱测定法 中国抗生素杂志1993;18(3):206~209
24.李章万等;HPLC柱切换法血浆直接进样测定环丙氟哌酸、药物分析杂志 1994;14(2):16
25.肖永红等;环丙沙星药代动力学和体外抗菌活性的研究 中国抗生素杂志 1992;17(4):293
26.孙海莺等:反相HPLC测定环丙氟哌酸血药浓度及其在 患者体内药动学研究 中国药学杂志 1993;28(5):285
27.姚冰等:高效液相色谱测定人血清中环丙沙星的含量 药物分析杂志 1992 ;12(5):270
28.张敬石:高效液相色谱法和生物法用于测定血清中环丙氟哌酸浓度的比较 中国 药学杂志 1994;29(8):483
29.董善士:盐酸环丙沙星软膏的含量测定和稳定性研究 现代应用药学 1994 ;11(3):26
30.李光秀:Cran电位滴定法测定诺氟沙星及其胶囊的含量 中国药学杂志 1992;27(1):24
31.黄杜清等:差示扫描电位法测定诺氧沙星的含量 中国医院药学杂志 1993 ;13(4):168, http://www.100md.com
单位:陈 奇 福建卫生学校;邹长英 三明市第一医院
关键词:
海峡药学990395 喹诺酮类抗菌药亦称吡啶酮酸类抗菌药,能与细菌DNA复制所必需的DNA-gyrase的亚基A(SubunitA)结合而抑制DNA合成的复制化,加上对细菌细胞具较强的穿透力,故具有强大的杀菌作用。该类抗菌剂的开发始于1962年萘啶酸的发现,尤其是1978年诺氟沙星问世以来,至今已开发和正在研制的药物有50多种[1],该类抗菌剂按глуLⅡKOB的分类法可分为3代,其中,第三代氟喹诺酮类抗菌剂是近年来抗感染药物中最活跃的研究领域之一,已上市和正在报批与研制的有:诺氟沙星(Norfloxacin)、环丙沙星(Ciprofloxacin)、氧氟沙星(Ofloxacin)、诺沙星(Enoxacin)、替马沙星(Temafloxacin)、培氟沙星(Pefloxacin)、洛美沙星(Lomefloxacin)、妥舒沙星(Tosulfloxacin)、氟罗沙星(Fleroxacin)、卢氟沙星(Rufloxacin)、司帕沙星(Sparfloxacin)、左氟沙星(Levofloxacin)、诺氟沙星琥珀酯(NorfloxacinSuccinil)、Irloxacin、Nadifloxacin、Jinofloxacin等。按结构可分为4类,(见表1、图1)
, 百拇医药
表1 喹诺酮类药物分类及常见药物 类 别
结构
常见药物
喹诺酮羧酸类型
诺氟沙星,环丙沙星
培氟沙星
萘啶羧酸类
萘啶酸,依诺沙星
噌啉羧酸类
西诺沙星
吡啶并嘧啶羧酸
吡哌酸
, 百拇医药
图1 喹诺酮母体结构
随着喹诺酮类抗菌剂各项研究的不断深入,该类抗菌剂的分析方法也得到了发展。对于发现和应用较早的第一代和第二代喹诺酮类抗菌剂,各种分析方法几近完善并为多数国家药典所收载。而对于近年来迅速发展的第三代氟喹诺酮类,虽然研究建立了许多分析方法,但中国药典仅收载对诺氟沙星分析方法一种。故笔者认为有必要综述有关氟喹诺酸抗菌剂分析方法的应用和研究现状,以期为制定统一的分析标准提供依据。
目前,对氟喹诺酮类抗菌剂的分析方法中,经典的非水滴定法已被国内许多地方标准收载;而紫外分光光度法近年来得到广泛的研究和应用,已成为该类抗菌剂的主要分析方法之一;高效液相色谱法以其无可比拟的优点越来越引人注目,并在生物样品的分析中独占鳌头;荧光法,比色法,氧瓶燃烧法,四苯硼钠法也各具优点,得到不同程度的应用;此外,有人研究了电位法,极谱法,离子色谱法等边缘方法。现将各类分析方法综述如下。
1 非水滴定法 喹诺酮类抗菌剂在结构上有羧基和哌嗪基,具酸碱两性,且除acrosoxacin外,均为疏脂性;而且在pH6~8范围内水溶性一般较差。因而常用非水滴定法,如中国药典中记载对诺氟沙星的测定。[2]
, http://www.100md.com
2 紫外分光光度法 本类抗菌剂分子结构中都具有共轭双键,在紫外区具有特征性吸收,可用吸收系数法或标准品对照法进行含量测定(见表2)。近年来,已有人开始研究用计算分光光度法进行含量测定(见表3)。随着紫外分光光度计的普及,紫外分光光度法已成为该类药物的测定主流。
表2 氟喹诺酮的紫外检测 抗菌剂
样品
溶剂
测定波长
诺氟沙星
原料[3]
0.05mol/LNaOH
273±1nm
, http://www.100md.com
胶囊[4]
0.05mol/LNaOH
272nm
胶囊[5]
0.02mol/LNaOH
323.5nm
胶囊[6]
0.1mol/LHCl
276±1nm
糖浆[7]
0.04mol/LHC1
, http://www.100md.com
315nm
依诺沙星
片剂[8]
0.1mol/LNaOH
266±1nm
片剂[9]
0.1mol/LNaOH
346nm
片剂、胶囊[10]
0.1mol/LNaOH
346±1nm
, 百拇医药
氧氟沙星
滴眼液[11]
0.1mol/L醋酸
293nm
软膏[12]
0.1mol/LHC1
293nm
环丙沙星
片剂[13]
蒸馏水
275±1nm
胶囊[4]
, 百拇医药
0.1mol/LHC1
277nm
滴耳液[15]
蒸馏水
278nm
尿[16]
0.01mol/LNaOH
335nm
表3 计算分光光度法在氟喹诺类抗菌剂分析中的应用 方法
样品
优点
, http://www.100md.com 一阶导数分
诺氟沙星胶囊
消除辅料干扰
光光度法
环丙沙星片
消除薄膜衣干扰
盐酸环丙沙星滴眼液
消除尼泊金乙酯干扰
二阶导数分光光度法
尿中依诺沙星
消除尿的干扰
双波长分
, 百拇医药 诺氟沙星葡萄糖
消除5-羟甲基
光光度法
注射液
糠醛的干扰
3 荧光光度法 靳建中[17]用此法测定氟哌酸胶囊。方法是将氟哌酸溶于稀盐酸液,分别扫描激发光谱和发射光谱,吸收峰分别为Ex280nm、Em449nm;在Ex280nm、Em449nm处测定荧光强度。由于荧光强度与溶剂pH有关,故需选择适宜pH的溶剂。本法选用0.05mol/L盐酸溶液为溶剂。
4 比色法 喹诺酮类药物结构上的-COOH与C=O遇Fe3+络合产生稳定的1∶1络合物,显橙黄色,可供比色测定;辅料如乳酸钙、硬脂酸镁、乳糖、淀粉、羧甲基纤维素钠等无干扰。唐湘江等[18]用此法测定盐酸环丙沙星片。
, 百拇医药
何献伟[19]采用离子对比色法(酸性染料比色法)成功地测定了诺氟沙星胶囊的含量。
5 高效液相色谱法 喹诺酮类药物用常规液相色谱法若用乙腈-水或甲醇-水为流动相洗脱时,常会出现色谱峰滞后拖尾现象,对称性差,分离度低和保留时间不稳定等问题,宜采用离子抑制或离子对色谱法等技术克服上述缺点。由表4可以看出,目前国内多采用反相离子对色谱法测定氟喹诺酮类药物。
对于生物样品中的氟喹诺酮类药物,需经色谱前处理。这是因为体液中蛋白质等成分将沉积在色谱柱上,降低孔隙率,导致柱压升高,柱效降低,保留值变化乃至使色谱柱迅速报废。常用色谱前处理血浆、血清或尿样的基本技术有四种:简单过滤、蛋白质沉淀、溶剂萃取和固相吸收。色谱前处理技术费时繁琐,有时甚至达不到有效的分离效果。采用将样品的净化、浓缩、预处理和定性、定量分析融为一体的柱切换高效液相色谱法(Column-SwitchingHPLC,CSHPLC)具有简便、快速、准确、灵敏等特点。郭平等[21]采用CSHPLC测定血浆中的双氟哌酸,李章万等[24]采用CSHPLC测定血浆中的环丙沙星,都取得良好的效果。
, 百拇医药
表4 喹诺酮类药物的HPLC法测定 抗菌剂
样品(处理)
流动相
氟哌酸[20]
血浆
甲醇-0.008M磷酸盐缓冲液-四
(甲醇沉淀蛋白)
丁基溴化铵(25∶75∶4)
双氟哌酸[21]
血浆
甲醇-乙酸铵缓冲液(0.2mol/L,(三氯乙酸沉淀蛋白)
, http://www.100md.com
pH2.7)(38∶62)
依诺沙星[22]
软膏
甲醇-0.035mol/L甲烷磺酸-
四氢呋喃(50∶30∶15)
环丙沙星[23]
血、尿
乙腈-磷酸缓冲液(pH3)
(乙腈混匀后离心)
(8∶92和6∶94)
环丙沙星[24]
, 百拇医药
血清
甲醇-乙腈-0.05mol/L磷酸二
(乙腈处理)
氢钾(33∶11∶56)加0.166%
环丙沙星[25]
溴化四丁基铵
血清
甲醇-0.08mol/L磷酸缓冲液-
(甲醇处理)
四丁基溴化铵-乙腈
环丙沙星[26]
, http://www.100md.com
(25∶75∶4∶7)
血浆
甲醇-乙腈-0.01mol/L磷酸盐
(乙腈处理)
(25∶20∶55,pH2.8)
环丙沙星[27]
(乙酸处理)
血浆
甲醇-乙酸铵(0.2mol/L,pH2.7)
(35∶65)
环丙沙星[28]
, http://www.100md.com
血清
甲醇-乙腈-0.01mol/L磷酸盐
(二氯甲烷处理)
缓冲液(pH3)(14∶8∶78)
环丙沙星[29]
软膏
0.4mol/L柠檬酸-甲醇-乙腈
(10∶4∶1)
环丙沙星[14]
胶囊
0.01mol/L磷酸二氢钠液-甲
, http://www.100md.com
(二氯甲烷处理)
醇(67∶33,pH2.4)
6 电位法 李光秀等[30]以Gran电位滴定法测定了诺氟沙星及其胶囊的含量。其方法是以0.1mol/LKC1溶液作离子强度调节剂,用NaOH标准液滴定,滴定剂分次等体积加入,测定其pH值,以强碱滴定水不溶性弱酸计量点后之Gran函数对滴定剂体积作图,直线外推法确定终点。黄杜清等[31]采用差示扫描电位法(DSP)测定诺氟沙星的含量,方法独特新颖。
7 其它 有人利用诺氟沙星在中性磷酸盐介质中,在滴汞电极上吸附并还原而于-1.48V处产生一灵敏的极谱波来测定其胶囊含量,灵敏度高,简便快速。还有人得用离子色谱法测定诺氟沙星,灵敏度高,线性范围宽,操作简便。其它尚有四苯硼钠法及氧燃烧法等。
参考文献
, http://www.100md.com
1.李正化等;药物化学,北京,人民卫生出版社,1993;361
2.中华人民共和国药典(1995版)(Ⅱ部):779
3.张海澄;国外医药-抗生素分册1994;10(1):56
4.钟惠平等;紫分光度法测定氟哌酸胶囊 中国医院药学杂志 1990;10(1):28
5.魏长林等;氟哌酸胶囊的分光光度法测定 药物分析杂志 1989;9(6):362
6.杨锐等;氟哌酸胶囊剂含量测定方法和体外溶出度考察 中国抗生素杂志 1991;16(6):434
7.吴健敏等;氟哌酸糖浆的分光光度法测定 药物分析杂志 1993;13(3):203
, 百拇医药
8.张志州等;紫外分光光度测定氟哌酸片含量 中国医院药学杂志 1990;10(9):414
9.钟惠平;紫外分光光度法测定依诺沙星片含量 药物分析杂志 1992;12(1):50
10.杜爱珍等;紫外分光光度法测定氟哌酸制剂的含量 药物分析杂志 1990;10(6):356
11.黄波等;紫外分光光度法测定环丙沙星滴眼液的含量 现代应用药学 1993;10(2):30
12.邵水娟;紫外分光光度法测定氧氟沙星软膏含量 药物分析杂志 1994;14(4):54
13.刁雨辉;盐酸环丙沙星紫外测定及其片剂的质量考察 中国医院药学杂志 1994;14(5):212
14.刘瑞玲等;盐酸环丙沙星含量测定方法的研究 药物分析杂志 1994;14(1):45
, 百拇医药
15.章立行;紫外分光光度法测定环丙沙星滴眼液的含量 现代应用药学 1993;10(5):41
16.张华安;紫外分光光度法测定尿中环丙沙星的排泄量中国医院药学杂志 1993;13(3):116
17.靳建中;荧光分光光度法测定氟哌酸胶囊的含量 药物分析杂志 1990;10(6):362
18.唐湘江等;比色法测定盐酸环丙沙星片含量 现代应用药学 1993;10(6):38
19.何献伟;药物分析杂志 1994,14(2):107~109
20.许丹科等;反相离子对色谱法测定人血中氟哌酸 药物分析杂志 1990;10(5):265
21.郭平;HPLC柱切换法测定双氟哌酸 药物分析杂志 1992;12(1):1
, 百拇医药
22.曹洪沛;依诺沙星软膏的高效液相色谱法分析研究 药物分析杂志 1993;13(3):181
23.施耀国等;环丙沙星及其代谢物体液浓度的高效液相色谱测定法 中国抗生素杂志1993;18(3):206~209
24.李章万等;HPLC柱切换法血浆直接进样测定环丙氟哌酸、药物分析杂志 1994;14(2):16
25.肖永红等;环丙沙星药代动力学和体外抗菌活性的研究 中国抗生素杂志 1992;17(4):293
26.孙海莺等:反相HPLC测定环丙氟哌酸血药浓度及其在 患者体内药动学研究 中国药学杂志 1993;28(5):285
27.姚冰等:高效液相色谱测定人血清中环丙沙星的含量 药物分析杂志 1992 ;12(5):270
28.张敬石:高效液相色谱法和生物法用于测定血清中环丙氟哌酸浓度的比较 中国 药学杂志 1994;29(8):483
29.董善士:盐酸环丙沙星软膏的含量测定和稳定性研究 现代应用药学 1994 ;11(3):26
30.李光秀:Cran电位滴定法测定诺氟沙星及其胶囊的含量 中国药学杂志 1992;27(1):24
31.黄杜清等:差示扫描电位法测定诺氧沙星的含量 中国医院药学杂志 1993 ;13(4):168, http://www.100md.com