N-乙酰氨基-D-葡萄糖的合成及其某些性质研究
作者:李继珩 李南 于燕玲 虞有文
单位:李继珩 李南(中国药科大学生物化学教研室);于燕玲(中国药科大学分析计算中心,南京210009)虞有文(江苏省医学生物制品研究所,南京210042)
关键词:N-AcGA;D-GlcN.HCl;溶解度
摘 要 以D
摘 要 以D-氨基葡萄糖盐酸盐及乙酸酐为原料合成N-乙酰氨基-D-葡萄糖,精品收率为76.4%,纯度为99.6%。溶解度试验表明产品易溶于水而难溶于高浓度乙醇。
Studies on Synthesis and Its Some Properties of
N-acetyl-D-glucosam ine
, 百拇医药
Li Jiheng, Li Nan, Yu Yanling1, Yu Youwen2
(Department of Biochemistry,1Centre of Analysis,China Pharmaceutical University,Nangjing 210009;2Research institute of Biological product of medicine,Jiang Su Sheng,Nanjing 210042)
Abstract N-acetyl-D-glucosamine(N-AcGA) was synthesized from D-gluco samine hydrochloride (D-GlcN.HCl)and acetic anhydride with the yield of 76.4% and the purity of 99.6%.The product has the solubility of 0.27% in ethanol with 30℃,in contrast to 20% in water with 5℃ and 53% in water with 100℃.The compound was confirmed by PLC、DSC、IR、optical activity and elementary analysis ,and has mp of 196~204℃ and [α]20D of +40.72°.
, 百拇医药
Key Words N-AcGA, D-GlcN.HCl, Solubility
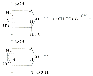
N-乙酰氨基-D-葡萄糖(N-Acetyl-D-Glucosamine,N-AcGA)是生物细胞内许多重要多糖的基本组成单位,尤其是甲壳类动物的外骨骼含量最高。N-AcGA是具有较高甜度的特殊单糖,具有还原性,亦是合成双歧因子的重要前体,其双歧活性为1.2U/mg。在生物体内具有许多重要生理功能,临床上是治疗风湿性及类风湿性关节炎的药物[1,2],亦作为食品抗氧化剂及婴幼儿食品添加剂,糖尿病患者甜味剂。N-AcGA可由甲壳素经浓盐酸温和水解和柱层析分离[3],亦可用化学半合成法来制备,本文以D-氨基葡萄糖盐酸盐(D-Glucosamine Hydrochloride,D-GlcN.HCl)和乙酸酐为原料合成N-AcGA,其反应为:
, http://www.100md.com
同时测定了产物IR、[α]D、DSC、PLC、元素组成及含量。并测试了产物在不同温度水中及不同浓度乙醇中的溶解度,为开发N-AcGA提供了有关技术参数。
1 试剂、材料与仪器
N-AcGA对照品(笔者自制,经IR、[α]D、DSC及元素分析确证);D-GlcN.HCl(笔者自制,经分析确证);乙酸酐(AR,上海试剂一厂);三乙胺(AR,上海试剂三厂);蒽酮(AR,上海试剂总厂三分厂);差热分析仪(PERKIN ELMER 7 Series Thermal Analysis System及D SC 25 Thermal Analysis System);IR光谱仪(PERKIN ELMER R-983);元素分析仪(CARLO-ERBA 1106);旋光仪(PERKIN ELMER 241 MC);721分光光度计(上海第三分析仪器厂)。
, http://www.100md.com
2 方法与结果
N-AcGA的纸层析法按文献[4]进行,硫酸蒽酮法测定其含量按文献[5]进行。
2.1 N-AcGA的合成
在圆底烧瓶中按一定比例投入D-GlcN.HCl、乙醇、三乙胺及乙酸酐,在一定条件下反应适当时间,浓缩冷却结晶,得棱柱状精品N-AcGA结晶,三批结果见表1。
Tab 1 Recovery and Content of N-AcGA
NO.
D-GlcN.HCl
(g)
Yield
, http://www.100md.com
(g)
Recovery
(%)
Conten
(%)
1
50.0
40.5
81.0
100.1
2
50.0
36.5
, 百拇医药
73.0
100.1
3
50.0
37.0
75.0
98.6
Average
50.0
38.2
76.4
99.6
2.2 N-AcGA的溶解度试验
, 百拇医药
2.2.1 温度对N-AcGA溶解度的影响 在具塞试管中投入适量精制N-AcGA和蒸馏水,在5℃~100℃范围内,由低温到高温,每间隔一定温度,充分振摇15min以上并始终保持溶液处于饱和状态,静置澄清后,分别吸取一定量上清液,适当稀释后测定N-AcGA的浓度,结果不同温度下其溶解度如图1所示。
Fig 1 Effect of temperature on the N-AcGA so lubility
2.2.2 乙醇浓度对N-AcGA溶解的影响 分别取10%、20%、40%、50%、60%、80%及100%乙醇各10ml左右,各加适量N-AcGA结晶,于室温(30℃)间歇振摇3~4h,并始终保持溶液处于饱和状态,静置澄清后,分别取1.0ml,2.0ml,2.0ml,4.0ml,4.0ml,5.0ml及5.0ml清液,水浴蒸干后,均用水定容至50ml,分别测定各溶液中N-AcGA含量,计算溶解度,结果见图2。
, http://www.100md.com
Fig 2 Effect of alcohol concentration on N-AcGA solubility
2.3 N-AcGA的结构与性质分析
本品分子式为C8H15NO6,Mr221.2,是无色中性化合物,为粗棱柱状结晶,易溶于水,有较高甜度,难溶于甲醇、乙醇及丙酮,不溶于乙醚、石油醚及氯仿。其水溶液pH值接近7.0。有还原性,并能与硫酸蒽酮试剂呈绿色反应,纸层析结果Rf值为0.25~0.28。四批产物元素分析结果,平均值为C42.80,H6.96及N6.07%(ReqC43.44,H6.97及N6.33%)。本品水溶液稳定24h后测定旋光度,四批样品测定结果,其[α]20D在+40.42~+41.15°之间,平均为+40.72,与文献[6]一致。本工艺产物IR(KBr)光谱与甲壳素经浓盐酸温和水解分离的产物完全一致,其特征吸收峰为VCO1620cm-1,VNH 3260cm-1,VOH 3420cm-1及Vc-o-c1050cm-1;经DSC分析结果mp196~204℃。
, 百拇医药
3 讨 论
本研究以D-GlcN.HCl及乙酸酐为原料合成N-AcGA,精品平均收率为76.4%,平均含量为99.6%,表明本工艺产物收率与纯度均较高。溶解度试验表明,本品在水中溶解随温度升高而增大,在5℃时溶解度为20%,100℃时在50%以上,表明本品易溶于水。在乙醇水溶液中随着乙醇浓度的增加,溶解度下降,在30℃的无水乙醇中溶解度为0.27%,表明本品难溶于乙醇。理论上本工艺制取的N-AcGA应为α与β两种构型的混合晶体,文献报道[6]α型mp为205℃,β型为182~183.5℃,但不同批号样品经DSC测试结果,mp在191~204℃之间,且均出现两个熔解峰,但两峰未能分开,可能是不同批号产物中两种构型比例不同且相差较大所致。文献[6]报道α型N-AcGA的[α]D由+64°→+41°,β型[α]D由+22°→+41°(水),本工艺产物[α]20D为+40.72°,与文献[6]一致;另外,本研究产物与甲壳素酸水解分离产物的IR光谱完全一致。
, 百拇医药
作者简介:李南,中国药科大学硕士
参考文献
1 Daniel B-S and Niels B.WO 8,905,646,1989
2 Weickmann.Finche and Huber.DE,1953689,1970
3 Copom B, Foster R L.The preparation of chitin oligosaccharides.J Chem Soc (C),1970:1654
4 董素才,李建新,杨志铭.N-乙酰氨基-D-葡萄糖二聚体三聚体的制备.化学试 剂,1989,11(1)∶44
5 Dische I.Methods of Biochemical Analysis:Vol.2. New York:Inter-Science P ubisher,Inc.1955.3352
6 志田正二,沁田朔次,稻田佑二,他编.化学辞典.东京:森北出版株式 会社,1981.21
收稿日期:1998-06-29, 百拇医药
单位:李继珩 李南(中国药科大学生物化学教研室);于燕玲(中国药科大学分析计算中心,南京210009)虞有文(江苏省医学生物制品研究所,南京210042)
关键词:N-AcGA;D-GlcN.HCl;溶解度
摘 要 以D
摘 要 以D-氨基葡萄糖盐酸盐及乙酸酐为原料合成N-乙酰氨基-D-葡萄糖,精品收率为76.4%,纯度为99.6%。溶解度试验表明产品易溶于水而难溶于高浓度乙醇。
Studies on Synthesis and Its Some Properties of
N-acetyl-D-glucosam ine
, 百拇医药
Li Jiheng, Li Nan, Yu Yanling1, Yu Youwen2
(Department of Biochemistry,1Centre of Analysis,China Pharmaceutical University,Nangjing 210009;2Research institute of Biological product of medicine,Jiang Su Sheng,Nanjing 210042)
Abstract N-acetyl-D-glucosamine(N-AcGA) was synthesized from D-gluco samine hydrochloride (D-GlcN.HCl)and acetic anhydride with the yield of 76.4% and the purity of 99.6%.The product has the solubility of 0.27% in ethanol with 30℃,in contrast to 20% in water with 5℃ and 53% in water with 100℃.The compound was confirmed by PLC、DSC、IR、optical activity and elementary analysis ,and has mp of 196~204℃ and [α]20D of +40.72°.
, 百拇医药
Key Words N-AcGA, D-GlcN.HCl, Solubility
N-乙酰氨基-D-葡萄糖(N-Acetyl-D-Glucosamine,N-AcGA)是生物细胞内许多重要多糖的基本组成单位,尤其是甲壳类动物的外骨骼含量最高。N-AcGA是具有较高甜度的特殊单糖,具有还原性,亦是合成双歧因子的重要前体,其双歧活性为1.2U/mg。在生物体内具有许多重要生理功能,临床上是治疗风湿性及类风湿性关节炎的药物[1,2],亦作为食品抗氧化剂及婴幼儿食品添加剂,糖尿病患者甜味剂。N-AcGA可由甲壳素经浓盐酸温和水解和柱层析分离[3],亦可用化学半合成法来制备,本文以D-氨基葡萄糖盐酸盐(D-Glucosamine Hydrochloride,D-GlcN.HCl)和乙酸酐为原料合成N-AcGA,其反应为:
, http://www.100md.com
同时测定了产物IR、[α]D、DSC、PLC、元素组成及含量。并测试了产物在不同温度水中及不同浓度乙醇中的溶解度,为开发N-AcGA提供了有关技术参数。
1 试剂、材料与仪器
N-AcGA对照品(笔者自制,经IR、[α]D、DSC及元素分析确证);D-GlcN.HCl(笔者自制,经分析确证);乙酸酐(AR,上海试剂一厂);三乙胺(AR,上海试剂三厂);蒽酮(AR,上海试剂总厂三分厂);差热分析仪(PERKIN ELMER 7 Series Thermal Analysis System及D SC 25 Thermal Analysis System);IR光谱仪(PERKIN ELMER R-983);元素分析仪(CARLO-ERBA 1106);旋光仪(PERKIN ELMER 241 MC);721分光光度计(上海第三分析仪器厂)。
, http://www.100md.com
2 方法与结果
N-AcGA的纸层析法按文献[4]进行,硫酸蒽酮法测定其含量按文献[5]进行。
2.1 N-AcGA的合成
在圆底烧瓶中按一定比例投入D-GlcN.HCl、乙醇、三乙胺及乙酸酐,在一定条件下反应适当时间,浓缩冷却结晶,得棱柱状精品N-AcGA结晶,三批结果见表1。
Tab 1 Recovery and Content of N-AcGA
NO.
D-GlcN.HCl
(g)
Yield
, http://www.100md.com
(g)
Recovery
(%)
Conten
(%)
1
50.0
40.5
81.0
100.1
2
50.0
36.5
, 百拇医药
73.0
100.1
3
50.0
37.0
75.0
98.6
Average
50.0
38.2
76.4
99.6
2.2 N-AcGA的溶解度试验
, 百拇医药
2.2.1 温度对N-AcGA溶解度的影响 在具塞试管中投入适量精制N-AcGA和蒸馏水,在5℃~100℃范围内,由低温到高温,每间隔一定温度,充分振摇15min以上并始终保持溶液处于饱和状态,静置澄清后,分别吸取一定量上清液,适当稀释后测定N-AcGA的浓度,结果不同温度下其溶解度如图1所示。
Fig 1 Effect of temperature on the N-AcGA so lubility
2.2.2 乙醇浓度对N-AcGA溶解的影响 分别取10%、20%、40%、50%、60%、80%及100%乙醇各10ml左右,各加适量N-AcGA结晶,于室温(30℃)间歇振摇3~4h,并始终保持溶液处于饱和状态,静置澄清后,分别取1.0ml,2.0ml,2.0ml,4.0ml,4.0ml,5.0ml及5.0ml清液,水浴蒸干后,均用水定容至50ml,分别测定各溶液中N-AcGA含量,计算溶解度,结果见图2。
, http://www.100md.com
Fig 2 Effect of alcohol concentration on N-AcGA solubility
2.3 N-AcGA的结构与性质分析
本品分子式为C8H15NO6,Mr221.2,是无色中性化合物,为粗棱柱状结晶,易溶于水,有较高甜度,难溶于甲醇、乙醇及丙酮,不溶于乙醚、石油醚及氯仿。其水溶液pH值接近7.0。有还原性,并能与硫酸蒽酮试剂呈绿色反应,纸层析结果Rf值为0.25~0.28。四批产物元素分析结果,平均值为C42.80,H6.96及N6.07%(ReqC43.44,H6.97及N6.33%)。本品水溶液稳定24h后测定旋光度,四批样品测定结果,其[α]20D在+40.42~+41.15°之间,平均为+40.72,与文献[6]一致。本工艺产物IR(KBr)光谱与甲壳素经浓盐酸温和水解分离的产物完全一致,其特征吸收峰为VCO1620cm-1,VNH 3260cm-1,VOH 3420cm-1及Vc-o-c1050cm-1;经DSC分析结果mp196~204℃。
, 百拇医药
3 讨 论
本研究以D-GlcN.HCl及乙酸酐为原料合成N-AcGA,精品平均收率为76.4%,平均含量为99.6%,表明本工艺产物收率与纯度均较高。溶解度试验表明,本品在水中溶解随温度升高而增大,在5℃时溶解度为20%,100℃时在50%以上,表明本品易溶于水。在乙醇水溶液中随着乙醇浓度的增加,溶解度下降,在30℃的无水乙醇中溶解度为0.27%,表明本品难溶于乙醇。理论上本工艺制取的N-AcGA应为α与β两种构型的混合晶体,文献报道[6]α型mp为205℃,β型为182~183.5℃,但不同批号样品经DSC测试结果,mp在191~204℃之间,且均出现两个熔解峰,但两峰未能分开,可能是不同批号产物中两种构型比例不同且相差较大所致。文献[6]报道α型N-AcGA的[α]D由+64°→+41°,β型[α]D由+22°→+41°(水),本工艺产物[α]20D为+40.72°,与文献[6]一致;另外,本研究产物与甲壳素酸水解分离产物的IR光谱完全一致。
, 百拇医药
作者简介:李南,中国药科大学硕士
参考文献
1 Daniel B-S and Niels B.WO 8,905,646,1989
2 Weickmann.Finche and Huber.DE,1953689,1970
3 Copom B, Foster R L.The preparation of chitin oligosaccharides.J Chem Soc (C),1970:1654
4 董素才,李建新,杨志铭.N-乙酰氨基-D-葡萄糖二聚体三聚体的制备.化学试 剂,1989,11(1)∶44
5 Dische I.Methods of Biochemical Analysis:Vol.2. New York:Inter-Science P ubisher,Inc.1955.3352
6 志田正二,沁田朔次,稻田佑二,他编.化学辞典.东京:森北出版株式 会社,1981.21
收稿日期:1998-06-29, 百拇医药