放射深度的快速算法
作者:杨卫东 李树祥
单位:第一军医大学生物医学工程系(广州 510515)
关键词:放射深度;不均匀组织;剂量计算
北京生物医学工程990410 摘 要 在一般情况下,我们使用的深度剂量数据及其它数据都是在假定受照目标的组织密度是均匀的情况下得到的。然而实际上,射线束照射患者时,射线可能要经过脂肪、骨头、肌肉、肺组织及空气等层次,这些组织的密度是不一样的,是不均匀的,从而使这些组织对剂量的分布产生了影响,故必须进行人体不均匀组织对剂量影响的校正。而在校正方法中,放射深度的计算是一个十分重要的环节,本文对放射深度的算法进行了研究,并提出了一种快速算法。
A Fast Method of Radiological Depth Calculation
, 百拇医药 Yang Weidong Li Shuxiang
(Image Processing Lab,Dept.of BME,First Military Medical University,Guangzhou 510515)
Abstract
The concept of the radiological depth is a base point to all algorithms which calculate radiation dose supposing we have homogenious medium.For heterogeneous medium,consisting of regions of inhomogeneity.such as fat,bone,muscles,lung tissue,air,etc.,distribution of radiation dose is affected.Therefore,there must be correction of dosage,taking into account inhomogeneity of tissues of human body,while calculation of radiation depth is a very important part of a correction method.Here proposed is a fast method of radiological depth calculation.It is shown that this method is very fast and effective.
, 百拇医药
Key words:Radiological depth;Hetergeneous medium;Dose calculation
1 问题的提出
通过对人体不均匀组织对剂量影响的校正,可以使我们得到较精确的剂量分布。常用的校正方法有以下五种[1]:①组织空气比方法(tissue-air ratio method);②组织空气比指数校正法(power law tissue-air ratio method);③有效衰减系数法;④等效剂量移动法(isodose shift method);⑤典型的校正因数(typical correction factors)。其中组织空气比方法、组织空气比指数校正法和有效衰减系数法适合于计算机治疗计划,而在这三种方法中组织空气比方法和有效衰减系数法使用较多。如图1所示,它为一组织不均匀体膜型,P为计算点,组织空气比方法引入的校正因数CF为:
, 百拇医药
(1)
图1 不均匀组织体模示意图
式中d′为等效的软组织深度,即:d′=d1+ρed2+d3;d为P点距表面的实际深度, 即:d=d1+d2+d3;rd为在P点处的射野大小。举例说明:假设阴影部分为一肺组织,且密度ρe=0.3,d1=3cm,d2=5cm,d3=2cm,则它的实际深度为d=3+5+2=10cm,而它的等效深度为:d′=3+0.3×5+2=6.5cm。有效衰减系数法与组织空气比法相似,将不均匀组织厚度用等效软组织来代替,校正因数为:
, 百拇医药
(2)
式中
为使用射线的平均直线衰减系数,其值大小可以查找相应的数据表;d仍为实际深度:d=d1+d2+d3;d′为等效深度:d′=d1+ρed2+d3。在这两种方法中都需进行等效深度(下面简称为放射深度)的计算,只有计算出放射深度,才能计算出校正因子,从而计算出任意点的剂量。下面我们对放射深度的算法进行了研究,并提出了一种快速算法。 2 放射深度的快速计算方法
我们讨论的放射深度快速算法适用于不均匀组织密度已知且不均匀组织密度区域间要么是包含关系要么是相互分离状态,即对于不均匀组织中任意一点的密度是确定且唯一的。
首先讨论不均匀组织间是包含关系的情况,如图2所示。我们知道,对一个任意的密度连续的不均匀组织,假定密度为ρ(r),则它的等效深度可以用下面的线性积分表示[2]:
, 百拇医药
(3)
图2 不均匀组织间包含关系
式中的积分限是沿着射线束的方向从源S到计算点P;而对一个任意密度离散的不均匀组织,则它从源S到计算点P的线性积分可以用以下的分段积分和来表示:
(4)
式中Ns为射线被分成的线段数目,ls(j)和ρs(j)分别为第j段的长度和密度。按照传统算法,为了计算该放射深度,我们必须确定射线被分成的段的数目Ns、各段的长度ls(j)及各段的密度ρs(j)。如图2所示,段的数目Ns就是射线与不均匀组织区域相交的总数目,Ns=6;而ls(j)为两个相邻交点之间的距离,当然这些交点是有一定顺序的,就是从源S到计算点P的顺序;密度ρs(j)为包含第j段的组织密度,把它简称为段密度。
, http://www.100md.com
为了更好地说明算法且为了简便起见,我们采用如图2所示的模型,并且先考虑图中射线SP,它与不均匀组织中三个不同密度的区域相交,它们的密度(简称为区域密度)分别为ρ(1),ρ(2),ρ(3);射线SP与不均匀组织的三个不同密度区域相交了六个点,相应地被分为六段,此六段分别如图中所标1—6。按照(4)式,该射线的放射深度为:
d=ls(1)ρs(1)+ls(2)ρs(2)+ls(3)ρs(3)+ls(4)ρs(4)+ls(5)ρs(5)+ls(6)ρs(6)
(5)
由于在该不均匀组织中,如图所示,有些段的密度是相同的,且密度已知,故(5)可以改写为:
, 百拇医药
d=ls(1)ρ(1)+ls(2)ρ(3)+ls(3)ρ(1)+ls(4)ρ(3)+ls(5)ρ(2)+ls(6)ρ(3)
(6)
虽然从公式(5)转化为公式(6)是很简单的,但是我们必须知道这些段包括在不均匀组织的那个密度内,并且对于不同的射线,进行放射深度计算时,必须重复上述做法,这样就影响了计算速度,为了提高速度,我们改进了计算方法,具体做法如下:
把公式(6)改写成下式:
(7)
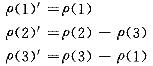
并定义如下:
, 百拇医药
(8)
且:
(9)
这样公式(7)就可以表示为:
或表示为:
(10)
这里N为体模中不同密度区域的数目。l(k)的值为射线SP包括在区域k中的总长度,即各区域的区域长度,虽然公式(8)是以各段长度和的形式给出了区域长度,但是事实上我们可以根据射线直接得到该射线的区域长度,换句话说就是不必要把射线分成一段段的形式来得到区域长度(如图2所示),而只要考虑射线与各区域的交点;而量ρ(k)′则定义为区域k的一种扩展密度,它跟不均匀组织与射线相交区域的密度有关,公式(9)中的表达式说明了这一点,即ρ(k)′的值为区域k的密度与刚好包含区域k的外层区域的密度的差。如图中所示:区域1没有被别的区域所包括,所以ρ(1)′=ρ(1);区域2刚好被区域3所包含,所以ρ(2)′=ρ(2)-ρ(3);同样区域3刚好被区域1包含,所以ρ(3)′=ρ(3)-ρ(1)。上述定义的扩展密度与射线路径之间的关系是不相关的,即对于密度分布已知的不均匀组织,只要射线与这些不同密度区域相交,这种做法是一劳永逸的,而不必对每条射线都进行密度的计算。即公式(8)与射线的路径是不相关的;也就是说对于任意路径的射线,区域内的长度与包含在某特定区域内的射线长度是相当的,并且扩展的区域密度是与射线路径是无关的。为了说明这一点,我们给出下列的证明:
, http://www.100md.com
通过下列矩阵等式给出区域密度和分段密度之间的关系等式:
(11)
式中ρs(j)是分段密度,j=1,2,…,Ns;ρ(k)是区域密度,k=1,2,…,N;且它们用列矩阵表示如下:
(12)
这里矩阵A是依赖于所给射线的。对于不同的射线束,矩阵A是不一样的。公式(4)之所以在计算时耗时,其主要原因就是对于不同的射线束,我们必须得到其相应的矩阵A。举一个简单的例子,如图2所示射线S′P′,它与不均匀组织相交于3个点,被不均匀组织分为3段,如图中所示1-3,等式ρs=Aρ可以写成下式:
, 百拇医药
(13)
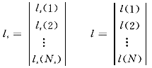
对于区域长度l(k)[其中l=1,2,…,N]和分段长度ls(j)[其中j=1,2,…,Ns]的关系表达式可以用下式表示:
(14)
这里ls和l是用下列矩阵表示:
(15)
上式T表示矩阵的转秩,式中区域长度l(k)是和射线S′P′上包含在区域k中的长度是相等的。例如,如图2所示,射线S′P′区域长度l(3)是应以分段长度ls(2)和ls(3)的和的形式给出的。故对射线S′P′,等式l=BTls可以写成如下:
, http://www.100md.com
(16)
利用区域和公式[公式(10)]的优点是:除了避免重复计算矩阵A外,还有另一原因就是区域长度的计算是比分段长度的计算容易得多。其原因是分段长度首先需要计算射线与不均匀组织的交点及其排列顺序;另一方面,一个特定的区域长度仅依赖于此射线与该特定区域轮廓的交点。我们可以把等式(4)用矩阵的形式表示如下:
(17)
用公式(11)ρs=Aρ代替上式的ρs,并插入单位矩阵BB-1,(17)式可以写成:
(18)
, 百拇医药
这里lT=lTsB[等式(16)],扩展密度ρ′由下式定义:ρ′=B-1Aρ,扩展密度ρ′可以从下列矩阵等式中得到:
(19)
因为在矩阵A和B中,每个矩阵都有N列Ns行,等式(19)体现了在N个未知ρ′中有Ns个等式;因为段的数目Ns大于或等于区域数目N,所以等式(19)可以减少到N个等式,如图2所示,等式(19)可以写成:
(20)
减少到N个等式为:
, http://www.100md.com
(21)
虽然公式(20)依赖于特定的射线,但是其化简公式(21)却是与特定的射线不相关。因此,扩展密度亦是与射线独立的,并且对于已知的不均匀组织,这种方法一劳永逸。将公式(21)进行逆运算,就可以得到区域密度和扩展密度的关系式:
(22)
即:
所得到的结果与公式(9)所得到的结果相同。上面就证明了此论据。 下面我们把算法进行推广:上述算法所给密度之间的关系是包含与被包含关系的情况,那么对于如图3所示的情况,公式(10)是否合适呢?下面我们讨论这种情形:如图3所示:假设此不均匀组织有四个不同密度,分别为ρ(1),ρ(2),ρ(3),ρ(4),其中区域1包含区域2,区域2又包含3、4,区域3、4之间是分离的。对于射线SP,按照公式(10),可以计算出它的放射深度d,d=l(1)
, 百拇医药
ρ(1)′+l(2)ρ(2)′+l(3)ρ(3)′,其中:l(1)=ls(1)+ls(2)+ls(3)+ls(4),l(2)=ls(2)+ls(3)
+ls(4),l(3)=ls(3),ρ(1)′=ρ(1),ρ(2)′=ρ(2)-ρ(1),ρ(3)′=ρ(3)-ρ(2),这样我们就可以计算出它的放射深度;在上述计算中因为射线未与密度为ρ(4)的区域相交,故在深度计算中未体现出密度ρ(4)。对于射线S′P′,它与此不均匀组织相交,被分为七段,如图所示(1-7),由于密度为ρ(3)和ρ(4)的两区域之间是分离状态,即它们之间既不相交又不存在包含关系。对于这种情况,我们亦可以采用上述方法进行处理,它的放射深度为:

, http://www.100md.com
图3 不均匀组织间有不包含关系
式中:l(1)=ls(1)+ls(2)+ls(3)+ls(4)+ls(5)+ls(6)+ls(7),l(2)=ls(2)+ls(3)+ls(4)+ls(5)+ls
(6),l(3)=ls(5),l(4)=ls(3);ρ(1)′=ρ(1),ρ(2)′=ρ(2)-ρ(1),ρ(3)′=ρ(3)-ρ(2),ρ
(4)′=ρ(4)-ρ(2),对于图2和图3两种情况,即对于密度分布已知的不均匀组织,若它们的密度区域之间的关系是包含关系或分离关系,我们就可以采用上述方法进行放射深度的计算,具体做法是:
, 百拇医药
1.首先确定组织密度的分布及相互间的关系情况,这一步可以利用CT或MRI的图像资料,在图像上勾画出来。
2.求出射线与不均匀组织各个密度区域的交点,从而计算出区域长度。
3.确定射线与哪些区域相交,从而确定扩展密度。
4.计算出放射深度。
作者简介:杨卫东(1969-)男,第一军医大学生物医学工程系硕士研究生,现在第一军医大学网络中心工作。
参考文献
1 Khan F M.The physics of radiation therapy.Second Edition,Williams & Wilkins Maryland,1994,286-91
2 Cunningham J R.Progress in medical physics(Plenum,New York.)1982,1:15
(1998-11-19收稿), http://www.100md.com
单位:第一军医大学生物医学工程系(广州 510515)
关键词:放射深度;不均匀组织;剂量计算
北京生物医学工程990410 摘 要 在一般情况下,我们使用的深度剂量数据及其它数据都是在假定受照目标的组织密度是均匀的情况下得到的。然而实际上,射线束照射患者时,射线可能要经过脂肪、骨头、肌肉、肺组织及空气等层次,这些组织的密度是不一样的,是不均匀的,从而使这些组织对剂量的分布产生了影响,故必须进行人体不均匀组织对剂量影响的校正。而在校正方法中,放射深度的计算是一个十分重要的环节,本文对放射深度的算法进行了研究,并提出了一种快速算法。
A Fast Method of Radiological Depth Calculation
, 百拇医药 Yang Weidong Li Shuxiang
(Image Processing Lab,Dept.of BME,First Military Medical University,Guangzhou 510515)
Abstract
The concept of the radiological depth is a base point to all algorithms which calculate radiation dose supposing we have homogenious medium.For heterogeneous medium,consisting of regions of inhomogeneity.such as fat,bone,muscles,lung tissue,air,etc.,distribution of radiation dose is affected.Therefore,there must be correction of dosage,taking into account inhomogeneity of tissues of human body,while calculation of radiation depth is a very important part of a correction method.Here proposed is a fast method of radiological depth calculation.It is shown that this method is very fast and effective.
, 百拇医药
Key words:Radiological depth;Hetergeneous medium;Dose calculation
1 问题的提出
通过对人体不均匀组织对剂量影响的校正,可以使我们得到较精确的剂量分布。常用的校正方法有以下五种[1]:①组织空气比方法(tissue-air ratio method);②组织空气比指数校正法(power law tissue-air ratio method);③有效衰减系数法;④等效剂量移动法(isodose shift method);⑤典型的校正因数(typical correction factors)。其中组织空气比方法、组织空气比指数校正法和有效衰减系数法适合于计算机治疗计划,而在这三种方法中组织空气比方法和有效衰减系数法使用较多。如图1所示,它为一组织不均匀体膜型,P为计算点,组织空气比方法引入的校正因数CF为:
, 百拇医药
(1)
图1 不均匀组织体模示意图
式中d′为等效的软组织深度,即:d′=d1+ρed2+d3;d为P点距表面的实际深度, 即:d=d1+d2+d3;rd为在P点处的射野大小。举例说明:假设阴影部分为一肺组织,且密度ρe=0.3,d1=3cm,d2=5cm,d3=2cm,则它的实际深度为d=3+5+2=10cm,而它的等效深度为:d′=3+0.3×5+2=6.5cm。有效衰减系数法与组织空气比法相似,将不均匀组织厚度用等效软组织来代替,校正因数为:
, 百拇医药
(2)
式中
我们讨论的放射深度快速算法适用于不均匀组织密度已知且不均匀组织密度区域间要么是包含关系要么是相互分离状态,即对于不均匀组织中任意一点的密度是确定且唯一的。
首先讨论不均匀组织间是包含关系的情况,如图2所示。我们知道,对一个任意的密度连续的不均匀组织,假定密度为ρ(r),则它的等效深度可以用下面的线性积分表示[2]:
, 百拇医药
(3)
图2 不均匀组织间包含关系
式中的积分限是沿着射线束的方向从源S到计算点P;而对一个任意密度离散的不均匀组织,则它从源S到计算点P的线性积分可以用以下的分段积分和来表示:
(4)
式中Ns为射线被分成的线段数目,ls(j)和ρs(j)分别为第j段的长度和密度。按照传统算法,为了计算该放射深度,我们必须确定射线被分成的段的数目Ns、各段的长度ls(j)及各段的密度ρs(j)。如图2所示,段的数目Ns就是射线与不均匀组织区域相交的总数目,Ns=6;而ls(j)为两个相邻交点之间的距离,当然这些交点是有一定顺序的,就是从源S到计算点P的顺序;密度ρs(j)为包含第j段的组织密度,把它简称为段密度。
, http://www.100md.com
为了更好地说明算法且为了简便起见,我们采用如图2所示的模型,并且先考虑图中射线SP,它与不均匀组织中三个不同密度的区域相交,它们的密度(简称为区域密度)分别为ρ(1),ρ(2),ρ(3);射线SP与不均匀组织的三个不同密度区域相交了六个点,相应地被分为六段,此六段分别如图中所标1—6。按照(4)式,该射线的放射深度为:
d=ls(1)ρs(1)+ls(2)ρs(2)+ls(3)ρs(3)+ls(4)ρs(4)+ls(5)ρs(5)+ls(6)ρs(6)
(5)
由于在该不均匀组织中,如图所示,有些段的密度是相同的,且密度已知,故(5)可以改写为:
, 百拇医药
d=ls(1)ρ(1)+ls(2)ρ(3)+ls(3)ρ(1)+ls(4)ρ(3)+ls(5)ρ(2)+ls(6)ρ(3)
(6)
虽然从公式(5)转化为公式(6)是很简单的,但是我们必须知道这些段包括在不均匀组织的那个密度内,并且对于不同的射线,进行放射深度计算时,必须重复上述做法,这样就影响了计算速度,为了提高速度,我们改进了计算方法,具体做法如下:
把公式(6)改写成下式:
(7)
并定义如下:
, 百拇医药
(8)
且:
(9)
这样公式(7)就可以表示为:
或表示为:
(10)
这里N为体模中不同密度区域的数目。l(k)的值为射线SP包括在区域k中的总长度,即各区域的区域长度,虽然公式(8)是以各段长度和的形式给出了区域长度,但是事实上我们可以根据射线直接得到该射线的区域长度,换句话说就是不必要把射线分成一段段的形式来得到区域长度(如图2所示),而只要考虑射线与各区域的交点;而量ρ(k)′则定义为区域k的一种扩展密度,它跟不均匀组织与射线相交区域的密度有关,公式(9)中的表达式说明了这一点,即ρ(k)′的值为区域k的密度与刚好包含区域k的外层区域的密度的差。如图中所示:区域1没有被别的区域所包括,所以ρ(1)′=ρ(1);区域2刚好被区域3所包含,所以ρ(2)′=ρ(2)-ρ(3);同样区域3刚好被区域1包含,所以ρ(3)′=ρ(3)-ρ(1)。上述定义的扩展密度与射线路径之间的关系是不相关的,即对于密度分布已知的不均匀组织,只要射线与这些不同密度区域相交,这种做法是一劳永逸的,而不必对每条射线都进行密度的计算。即公式(8)与射线的路径是不相关的;也就是说对于任意路径的射线,区域内的长度与包含在某特定区域内的射线长度是相当的,并且扩展的区域密度是与射线路径是无关的。为了说明这一点,我们给出下列的证明:
, http://www.100md.com
通过下列矩阵等式给出区域密度和分段密度之间的关系等式:
(11)
式中ρs(j)是分段密度,j=1,2,…,Ns;ρ(k)是区域密度,k=1,2,…,N;且它们用列矩阵表示如下:
(12)
这里矩阵A是依赖于所给射线的。对于不同的射线束,矩阵A是不一样的。公式(4)之所以在计算时耗时,其主要原因就是对于不同的射线束,我们必须得到其相应的矩阵A。举一个简单的例子,如图2所示射线S′P′,它与不均匀组织相交于3个点,被不均匀组织分为3段,如图中所示1-3,等式ρs=Aρ可以写成下式:
, 百拇医药
(13)
对于区域长度l(k)[其中l=1,2,…,N]和分段长度ls(j)[其中j=1,2,…,Ns]的关系表达式可以用下式表示:
(14)
这里ls和l是用下列矩阵表示:
(15)
上式T表示矩阵的转秩,式中区域长度l(k)是和射线S′P′上包含在区域k中的长度是相等的。例如,如图2所示,射线S′P′区域长度l(3)是应以分段长度ls(2)和ls(3)的和的形式给出的。故对射线S′P′,等式l=BTls可以写成如下:
, http://www.100md.com
(16)
利用区域和公式[公式(10)]的优点是:除了避免重复计算矩阵A外,还有另一原因就是区域长度的计算是比分段长度的计算容易得多。其原因是分段长度首先需要计算射线与不均匀组织的交点及其排列顺序;另一方面,一个特定的区域长度仅依赖于此射线与该特定区域轮廓的交点。我们可以把等式(4)用矩阵的形式表示如下:
(17)
用公式(11)ρs=Aρ代替上式的ρs,并插入单位矩阵BB-1,(17)式可以写成:
(18)
, 百拇医药
这里lT=lTsB[等式(16)],扩展密度ρ′由下式定义:ρ′=B-1Aρ,扩展密度ρ′可以从下列矩阵等式中得到:
(19)
因为在矩阵A和B中,每个矩阵都有N列Ns行,等式(19)体现了在N个未知ρ′中有Ns个等式;因为段的数目Ns大于或等于区域数目N,所以等式(19)可以减少到N个等式,如图2所示,等式(19)可以写成:
(20)
减少到N个等式为:
, http://www.100md.com
(21)
虽然公式(20)依赖于特定的射线,但是其化简公式(21)却是与特定的射线不相关。因此,扩展密度亦是与射线独立的,并且对于已知的不均匀组织,这种方法一劳永逸。将公式(21)进行逆运算,就可以得到区域密度和扩展密度的关系式:
(22)
即:
所得到的结果与公式(9)所得到的结果相同。上面就证明了此论据。 下面我们把算法进行推广:上述算法所给密度之间的关系是包含与被包含关系的情况,那么对于如图3所示的情况,公式(10)是否合适呢?下面我们讨论这种情形:如图3所示:假设此不均匀组织有四个不同密度,分别为ρ(1),ρ(2),ρ(3),ρ(4),其中区域1包含区域2,区域2又包含3、4,区域3、4之间是分离的。对于射线SP,按照公式(10),可以计算出它的放射深度d,d=l(1)
, 百拇医药
ρ(1)′+l(2)ρ(2)′+l(3)ρ(3)′,其中:l(1)=ls(1)+ls(2)+ls(3)+ls(4),l(2)=ls(2)+ls(3)
+ls(4),l(3)=ls(3),ρ(1)′=ρ(1),ρ(2)′=ρ(2)-ρ(1),ρ(3)′=ρ(3)-ρ(2),这样我们就可以计算出它的放射深度;在上述计算中因为射线未与密度为ρ(4)的区域相交,故在深度计算中未体现出密度ρ(4)。对于射线S′P′,它与此不均匀组织相交,被分为七段,如图所示(1-7),由于密度为ρ(3)和ρ(4)的两区域之间是分离状态,即它们之间既不相交又不存在包含关系。对于这种情况,我们亦可以采用上述方法进行处理,它的放射深度为:
, http://www.100md.com
图3 不均匀组织间有不包含关系
式中:l(1)=ls(1)+ls(2)+ls(3)+ls(4)+ls(5)+ls(6)+ls(7),l(2)=ls(2)+ls(3)+ls(4)+ls(5)+ls
(6),l(3)=ls(5),l(4)=ls(3);ρ(1)′=ρ(1),ρ(2)′=ρ(2)-ρ(1),ρ(3)′=ρ(3)-ρ(2),ρ
(4)′=ρ(4)-ρ(2),对于图2和图3两种情况,即对于密度分布已知的不均匀组织,若它们的密度区域之间的关系是包含关系或分离关系,我们就可以采用上述方法进行放射深度的计算,具体做法是:
, 百拇医药
1.首先确定组织密度的分布及相互间的关系情况,这一步可以利用CT或MRI的图像资料,在图像上勾画出来。
2.求出射线与不均匀组织各个密度区域的交点,从而计算出区域长度。
3.确定射线与哪些区域相交,从而确定扩展密度。
4.计算出放射深度。
作者简介:杨卫东(1969-)男,第一军医大学生物医学工程系硕士研究生,现在第一军医大学网络中心工作。
参考文献
1 Khan F M.The physics of radiation therapy.Second Edition,Williams & Wilkins Maryland,1994,286-91
2 Cunningham J R.Progress in medical physics(Plenum,New York.)1982,1:15
(1998-11-19收稿), http://www.100md.com