一种快速实现X辐射图像分离的方法
作者:王春燕 李政 康克军 高文焕 刘永康
单位:
王春燕 首都医科大学生物医学工程系(北京 100054);李政 康克军 高文焕 刘永康 清华大学工程物理系粒子技术与辐射成像国家专业实验室(北京 100084)
关键词:X射线;能谱;密度解析成像;快速分离算法;非线性校正
北京生物医学工程990408 摘 要 通过改变入射的X射线能谱,从而得到物体内部不同密度成分的分布图像的方法,是X辐射成像领域的一个重要课题。本文提出了一种新的图像分离方法,即通过影像灰度进行密度分布图像重建,从本质上对这种算法进行了探讨,证明了这种算法的可行性,并且进行了两种成分的图像分离实验,取得了较好的结果。这种方法的突出特点是减少了运算量和运算时间,可以快速实现图像分离,有一定的实用性。
, 百拇医药
A Fast Separating Method for X-ray Imaging
Wang Chunyan
(Dept of Biomedical Engineering, Capital University of Medical Sciences, Beijing, 100054)
Li Zheng, Kang Kejun, Gao Wenhuan, Liu Yongkang
(Dept of Engineering Physics,Tsinghua University, Beijing 100084)
Abstract
It is an important issue to get the density distributed image inside an object by changing energy spectrum of incident X-ray. In this paper, the authors brought up a new method for image separation, i.e. by reconstruction of density distributed imaging with gray levels of images. We discussed the nature of the algorithm, and proved the feasibility of the algorithm. Finally. Some experimental to separate images of two components results are given. From the results we can couclude:the features of this method are: the time of calculation can be reduced a lot, and the calculation is simplified; the images can be separated faster. Hopefully, this method can be, applied in practice.
, 百拇医药
Key words:X-ray; Energy spectrum; Density analytic imaging; Fast separation algorithm; Non-Linear correction
从50年代提出利用变化X射线能谱实现物体密度解析成像的想法至今,双能乃至多能X射线图像分离的成像方法仍是一个较为热门的话题。通过分析不同的图像从而得到不同密度的分布仍然具有诱人的前景[1,2]。本文提出了密度解析成像的快速分离算法,从本质上对这种算法进行了探讨,证明了这种算法的可行性,并且进行了两种成分的图像分离实验。从实验结果可以看出,这种算法是完全可行性的。
1 图像分离算法
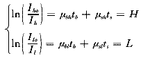
为了研究方便,选取包含两种物质的物体作为研究对象,我们姑且认为这两种物质为医学上常见的骨组织和软组织,厚度分别是tb和ts,骨组织对高、低两种能量的X射线的吸收系数分别是μbh和μbl,软组织对高、低两种能量的X射线的吸收系数分别是μsh和μsl,入射的高、低两种能量X射线的强度分别是Ih0和Il0,探测器上得到的高、低两种能量X射线的强度分别是Ih和Il,则有[3]
, http://www.100md.com
(1)
两边取对数得
(2)
从(2)式解出:
(3)
(4)
(5)
, 百拇医药
(6)
式中μbltb为骨组织低能图像中的吸收值,在已知两种成分的吸收系数的情况下,对图像中的每一象素都用(3)式处理,即可得到一幅骨组织的图像。同理,可得到一幅软组织的图像。两种成分的厚度分布亦可得到。
但是,在实际应用中,往往不知道待测材料的吸收系数,这时,一种只需从图像上的灰度分布就可以进行图像分离的方法就显得很有意义了。下面给出这种算法的原理。
当tb=0时,(2)式变为
则
(7)
, 百拇医药
同理,当ts=0时,(2)式变为
则
(8)
软组织像
(9)
骨组织像
(10)
(7)、(8)两式说明,软组织对高低两种能量的X射线的吸收系数之比等于tb=0处高、低能量图像灰度值之比(H′/L′)。同理,骨组织对高低两种能量的X射线的吸收系数之比等于ts=0处高、低能量图像灰度值之比(H″/L″)。因此,在不知道材料吸收系数的情况下,只要物体中存在ts=0(只有骨组织)和tb=0(只有软组织)的点,就可以按(9)、(10)两式分别得到两种物质的分布图像。当物体中不存在ts=0(只有骨组织)和tb=0(只有软组织)的点时,可以选ts≈0(与骨组织相比软组织含量很少)和tb≈0(与软组织相比骨组织含量很少)的点,用这些点的灰度值对整幅图像进行处理,(7)、(8)、(9)、(10)式近似成立,得到近似结果。
, http://www.100md.com
根据成像系统分析,可以近似导出灰度G∝ln(I0/I),则H、L分别代表灰度值。在软组织的影像中,任一象素值(灰度)μsl.ts等于该点低能量影像灰度L减去该点高能量影像灰度H与(L″/H″)的乘积[H.(L″/H″)],其中(L″/H″)为骨组织吸收值远大于软组织吸收值的点,可认为是影像中最亮点低、高能量影像灰度之比,γ值是对整个影像各象素都相同的常数。
对骨组织影像有类似的结果。
2 能量限制条件
由方程组(2)可看出,若方程组可求解的话,必须有
(11)
, http://www.100md.com
因此,为了从物体的两次成像中分离出两种成分的图像,我们必须根据两种成分的吸收系数曲线,正确地选择两束X射线的能量范围,所以(11)式给出了图像分离的能量限制条件。
3 算法的物理解释
图像分离快速算法的内容是对灰度进行加权处理,然后相减。下面,我们从物理原理上对这一算法进行探讨。图1中,横轴表示射线透射的物体厚度,纵轴表示影像灰度,直线h、l分别表示高、低两种能量的射线对同一物体产生的灰度。
图1 灰度与透射厚度的关系
从X射线物理学我们知道,对于某种确定的物体,其X射线的衰减系数与射线能量有关,所以用不同能量的X射线透射物体,经探测器得到的灰度是不同的,以因子(μl/μh)遍乘H,相当于把直线h以原点为轴转一角度(α-β)而与直线l重合,则该种物质的象元灰度值在高、低能量影像中调整为相同。当透射路径上有两种物质时,由于这两种物质在高、低能量下的吸收系数的比值不同,以一种物质在不同能量下的吸收系数的比值对灰度作上述处理,实际只是将一种物质的象元灰度值调整为相同,减影后,则只剩另一种物质造成的灰度。
, http://www.100md.com
下面以骨组织和软组织的减影为例进行说明。
我们用Ls、Lb分别表示低能射线同一透射路径上软组织和骨组织的灰度值,用Hs、Hb分别表示高能射线同一透射路径上软组织和骨组织的灰度值。
(12)
由(2)式,仅对骨组织

(13)
, 百拇医药
(14)
由此可看出,对于既含软组织,又含骨组织的某一象素,经过上述处理,骨组织引起的灰度完全消除,只剩下软组织引起的灰度。对整幅图像的各个象素均作同样处理,就可实现两种成分的图像分离。但是我们也看到,在软组织的吸收值表达式中,包含(μbl/μbh),所以,软组织灰度受到了骨组织的影响。
这种分离算法的优点是:
(1)象元灰度值直接由物质的吸收值给出,符合影像的形成机理和影像检查目的;
(2)与其他解方程组的算法相比,该算法仅涉及加、减、乘法运算,减少了运算量和运算时间,可以快速实现图像分离,有一定的实用性。
4 实验验证
实验装置为清华大学粒子技术与辐射成像国家专业实验室的FXS-60型微焦点X光机,通过改变管电压的方法产生高、低能X射线,实验用管电压为120kV和60kV,管电流为60μA,实验材料为铝和有机玻璃,在射线的透射路径上,铝的厚度为1.5mm,有机玻璃的厚度为0~60mm。
, http://www.100md.com
表1 有机玻璃和铝的分离结果(mm) 有机真实值
铝真实值
有机测算值
铝测算值
有机玻璃误差
铝误差
0
1.5
1.2
1.5
-1.2
0
5
, 百拇医药
1.5
7.5
1.7
-2.5
-0.2
10
1.5
11.8
1.6
-1.8
-0.1
15
1.5
, 百拇医药
15.8
1.5
-0.8
0
20
1.5
19.6
1.4
0.4
0.1
25
1.5
22.1
, http://www.100md.com
1.6
2.9
-0.1
30
1.5
27.8
1.4
2.2
0.1
35
1.5
30.7
1.6
, 百拇医药
4.3
-0.1
40
1.5
34.5
1.7
5.5
-0.2
45
1.5
38.3
1.4
6.7
, 百拇医药
0.1
50
1.5
42.6
1.3
7.4
0.2
55
1.5
45.7
1.2
9.3
0.3
, 百拇医药
60
1.5
49.8
1.3
10.2
0.2
图2是有机玻璃的真实值和分离实测值的对比曲线,横轴为透射路径上的有机玻璃厚度,可以看出:随着路径上有机玻璃厚度的增加,其实测值也增加,基本是线性变化。图3是铝的真实值和分离实测值的对比曲线,横轴为透射路径上的有机玻璃厚度,可以看出实测值始终在真实值附近,且不受有机玻璃厚度的影响。这说明采用快速图像分离算法进行图像分离,其图像的输入输出基本是线性的,因而是完全可行的。
, 百拇医药 图2 有机玻璃的测算值与真实值比较曲线……真实值 ——测算值
图3 铝的测算值与真实值比较……真实值 ——测算值
图4—6给出了运用快速图像分离算法的分离效果。实验装置和实验条件同前,实验样品上,脸是用六层5mm厚的有机玻璃做成,眼睛、鼻子、嘴都是用1.5mm厚的铝做成,这个样品虽然比较简单,但大致可以说明快速图像分离的效果。图4是图像分离前的样品的X光照片,图5是有机玻璃被减去后的铝影像,图6是减去铝影像后的有机玻璃的影像。可以看出这种图像分离算法是完全可行的。
图4 铝和有机玻璃原图
, http://www.100md.com
图5 铝的减影图
图6 有机玻璃减影图
5 结束语
本文讨论了利用变化能谱实现X辐射图像分离的一般原理和方法,提出了一种新的图像分离方法,即通过影像灰度进行密度分布图像重建。并且用实测图像进行了检验,取得了较好的结果。这种方法的突出特点是减少了运算量和运算时间,可以快速实现图像分离,有一定的实用性。
基金项目:国家自然科学基金资助项目(19705006).
作者简介:王春燕(1958-),女,副教授。
参考文献
, 百拇医药 1 Hiroshi Tsutsui, Tetsuro Ohtsuchi, Koichi Ohmori, et al. X-ray energy separation method using a cdTe semiconductor X-ray imaging sensor and photon counting method. IEEE Tran Nucl Sci,1993,40(1):40
2 Shoji Kido, Morgan DR, Sones RA. Clinical evaluation of pulmonary nodules with single-exposure dual-energy subtraction chest radiography with an iterative noise-reduction algorithm. Radiology,1995,194:407
3 于耀明,沈恂等译.辐射计量学第三卷(上).北京:原子能出版社,1981.9—17
(1998-09-17收稿,1998-11-12修回), 百拇医药
单位:
王春燕 首都医科大学生物医学工程系(北京 100054);李政 康克军 高文焕 刘永康 清华大学工程物理系粒子技术与辐射成像国家专业实验室(北京 100084)
关键词:X射线;能谱;密度解析成像;快速分离算法;非线性校正
北京生物医学工程990408 摘 要 通过改变入射的X射线能谱,从而得到物体内部不同密度成分的分布图像的方法,是X辐射成像领域的一个重要课题。本文提出了一种新的图像分离方法,即通过影像灰度进行密度分布图像重建,从本质上对这种算法进行了探讨,证明了这种算法的可行性,并且进行了两种成分的图像分离实验,取得了较好的结果。这种方法的突出特点是减少了运算量和运算时间,可以快速实现图像分离,有一定的实用性。
, 百拇医药
A Fast Separating Method for X-ray Imaging
Wang Chunyan
(Dept of Biomedical Engineering, Capital University of Medical Sciences, Beijing, 100054)
Li Zheng, Kang Kejun, Gao Wenhuan, Liu Yongkang
(Dept of Engineering Physics,Tsinghua University, Beijing 100084)
Abstract
It is an important issue to get the density distributed image inside an object by changing energy spectrum of incident X-ray. In this paper, the authors brought up a new method for image separation, i.e. by reconstruction of density distributed imaging with gray levels of images. We discussed the nature of the algorithm, and proved the feasibility of the algorithm. Finally. Some experimental to separate images of two components results are given. From the results we can couclude:the features of this method are: the time of calculation can be reduced a lot, and the calculation is simplified; the images can be separated faster. Hopefully, this method can be, applied in practice.
, 百拇医药
Key words:X-ray; Energy spectrum; Density analytic imaging; Fast separation algorithm; Non-Linear correction
从50年代提出利用变化X射线能谱实现物体密度解析成像的想法至今,双能乃至多能X射线图像分离的成像方法仍是一个较为热门的话题。通过分析不同的图像从而得到不同密度的分布仍然具有诱人的前景[1,2]。本文提出了密度解析成像的快速分离算法,从本质上对这种算法进行了探讨,证明了这种算法的可行性,并且进行了两种成分的图像分离实验。从实验结果可以看出,这种算法是完全可行性的。
1 图像分离算法
为了研究方便,选取包含两种物质的物体作为研究对象,我们姑且认为这两种物质为医学上常见的骨组织和软组织,厚度分别是tb和ts,骨组织对高、低两种能量的X射线的吸收系数分别是μbh和μbl,软组织对高、低两种能量的X射线的吸收系数分别是μsh和μsl,入射的高、低两种能量X射线的强度分别是Ih0和Il0,探测器上得到的高、低两种能量X射线的强度分别是Ih和Il,则有[3]
, http://www.100md.com
(1)
两边取对数得
(2)
从(2)式解出:
(3)
(4)
(5)
, 百拇医药
(6)
式中μbltb为骨组织低能图像中的吸收值,在已知两种成分的吸收系数的情况下,对图像中的每一象素都用(3)式处理,即可得到一幅骨组织的图像。同理,可得到一幅软组织的图像。两种成分的厚度分布亦可得到。
但是,在实际应用中,往往不知道待测材料的吸收系数,这时,一种只需从图像上的灰度分布就可以进行图像分离的方法就显得很有意义了。下面给出这种算法的原理。
当tb=0时,(2)式变为
则
(7)
, 百拇医药
同理,当ts=0时,(2)式变为
则
(8)
软组织像
(9)
骨组织像
(10)
(7)、(8)两式说明,软组织对高低两种能量的X射线的吸收系数之比等于tb=0处高、低能量图像灰度值之比(H′/L′)。同理,骨组织对高低两种能量的X射线的吸收系数之比等于ts=0处高、低能量图像灰度值之比(H″/L″)。因此,在不知道材料吸收系数的情况下,只要物体中存在ts=0(只有骨组织)和tb=0(只有软组织)的点,就可以按(9)、(10)两式分别得到两种物质的分布图像。当物体中不存在ts=0(只有骨组织)和tb=0(只有软组织)的点时,可以选ts≈0(与骨组织相比软组织含量很少)和tb≈0(与软组织相比骨组织含量很少)的点,用这些点的灰度值对整幅图像进行处理,(7)、(8)、(9)、(10)式近似成立,得到近似结果。
, http://www.100md.com
根据成像系统分析,可以近似导出灰度G∝ln(I0/I),则H、L分别代表灰度值。在软组织的影像中,任一象素值(灰度)μsl.ts等于该点低能量影像灰度L减去该点高能量影像灰度H与(L″/H″)的乘积[H.(L″/H″)],其中(L″/H″)为骨组织吸收值远大于软组织吸收值的点,可认为是影像中最亮点低、高能量影像灰度之比,γ值是对整个影像各象素都相同的常数。
对骨组织影像有类似的结果。
2 能量限制条件
由方程组(2)可看出,若方程组可求解的话,必须有
(11)
, http://www.100md.com
因此,为了从物体的两次成像中分离出两种成分的图像,我们必须根据两种成分的吸收系数曲线,正确地选择两束X射线的能量范围,所以(11)式给出了图像分离的能量限制条件。
3 算法的物理解释
图像分离快速算法的内容是对灰度进行加权处理,然后相减。下面,我们从物理原理上对这一算法进行探讨。图1中,横轴表示射线透射的物体厚度,纵轴表示影像灰度,直线h、l分别表示高、低两种能量的射线对同一物体产生的灰度。
从X射线物理学我们知道,对于某种确定的物体,其X射线的衰减系数与射线能量有关,所以用不同能量的X射线透射物体,经探测器得到的灰度是不同的,以因子(μl/μh)遍乘H,相当于把直线h以原点为轴转一角度(α-β)而与直线l重合,则该种物质的象元灰度值在高、低能量影像中调整为相同。当透射路径上有两种物质时,由于这两种物质在高、低能量下的吸收系数的比值不同,以一种物质在不同能量下的吸收系数的比值对灰度作上述处理,实际只是将一种物质的象元灰度值调整为相同,减影后,则只剩另一种物质造成的灰度。
, http://www.100md.com
下面以骨组织和软组织的减影为例进行说明。
我们用Ls、Lb分别表示低能射线同一透射路径上软组织和骨组织的灰度值,用Hs、Hb分别表示高能射线同一透射路径上软组织和骨组织的灰度值。
(12)
由(2)式,仅对骨组织
(13)
, 百拇医药
(14)
由此可看出,对于既含软组织,又含骨组织的某一象素,经过上述处理,骨组织引起的灰度完全消除,只剩下软组织引起的灰度。对整幅图像的各个象素均作同样处理,就可实现两种成分的图像分离。但是我们也看到,在软组织的吸收值表达式中,包含(μbl/μbh),所以,软组织灰度受到了骨组织的影响。
这种分离算法的优点是:
(1)象元灰度值直接由物质的吸收值给出,符合影像的形成机理和影像检查目的;
(2)与其他解方程组的算法相比,该算法仅涉及加、减、乘法运算,减少了运算量和运算时间,可以快速实现图像分离,有一定的实用性。
4 实验验证
实验装置为清华大学粒子技术与辐射成像国家专业实验室的FXS-60型微焦点X光机,通过改变管电压的方法产生高、低能X射线,实验用管电压为120kV和60kV,管电流为60μA,实验材料为铝和有机玻璃,在射线的透射路径上,铝的厚度为1.5mm,有机玻璃的厚度为0~60mm。
, http://www.100md.com
表1 有机玻璃和铝的分离结果(mm) 有机真实值
铝真实值
有机测算值
铝测算值
有机玻璃误差
铝误差
0
1.5
1.2
1.5
-1.2
0
5
, 百拇医药
1.5
7.5
1.7
-2.5
-0.2
10
1.5
11.8
1.6
-1.8
-0.1
15
1.5
, 百拇医药
15.8
1.5
-0.8
0
20
1.5
19.6
1.4
0.4
0.1
25
1.5
22.1
, http://www.100md.com
1.6
2.9
-0.1
30
1.5
27.8
1.4
2.2
0.1
35
1.5
30.7
1.6
, 百拇医药
4.3
-0.1
40
1.5
34.5
1.7
5.5
-0.2
45
1.5
38.3
1.4
6.7
, 百拇医药
0.1
50
1.5
42.6
1.3
7.4
0.2
55
1.5
45.7
1.2
9.3
0.3
, 百拇医药
60
1.5
49.8
1.3
10.2
0.2
图2是有机玻璃的真实值和分离实测值的对比曲线,横轴为透射路径上的有机玻璃厚度,可以看出:随着路径上有机玻璃厚度的增加,其实测值也增加,基本是线性变化。图3是铝的真实值和分离实测值的对比曲线,横轴为透射路径上的有机玻璃厚度,可以看出实测值始终在真实值附近,且不受有机玻璃厚度的影响。这说明采用快速图像分离算法进行图像分离,其图像的输入输出基本是线性的,因而是完全可行的。
, 百拇医药 图2 有机玻璃的测算值与真实值比较曲线……真实值 ——测算值
图3 铝的测算值与真实值比较……真实值 ——测算值
图4—6给出了运用快速图像分离算法的分离效果。实验装置和实验条件同前,实验样品上,脸是用六层5mm厚的有机玻璃做成,眼睛、鼻子、嘴都是用1.5mm厚的铝做成,这个样品虽然比较简单,但大致可以说明快速图像分离的效果。图4是图像分离前的样品的X光照片,图5是有机玻璃被减去后的铝影像,图6是减去铝影像后的有机玻璃的影像。可以看出这种图像分离算法是完全可行的。
图4 铝和有机玻璃原图
, http://www.100md.com
图5 铝的减影图
图6 有机玻璃减影图
5 结束语
本文讨论了利用变化能谱实现X辐射图像分离的一般原理和方法,提出了一种新的图像分离方法,即通过影像灰度进行密度分布图像重建。并且用实测图像进行了检验,取得了较好的结果。这种方法的突出特点是减少了运算量和运算时间,可以快速实现图像分离,有一定的实用性。
基金项目:国家自然科学基金资助项目(19705006).
作者简介:王春燕(1958-),女,副教授。
参考文献
, 百拇医药 1 Hiroshi Tsutsui, Tetsuro Ohtsuchi, Koichi Ohmori, et al. X-ray energy separation method using a cdTe semiconductor X-ray imaging sensor and photon counting method. IEEE Tran Nucl Sci,1993,40(1):40
2 Shoji Kido, Morgan DR, Sones RA. Clinical evaluation of pulmonary nodules with single-exposure dual-energy subtraction chest radiography with an iterative noise-reduction algorithm. Radiology,1995,194:407
3 于耀明,沈恂等译.辐射计量学第三卷(上).北京:原子能出版社,1981.9—17
(1998-09-17收稿,1998-11-12修回), 百拇医药