我国近年百日咳流行病学特点分析
作者:张兴录 杨志伟 周军 于竞进 王克安
单位:张兴录 杨志伟 王克安(中国预防医学科学院,北京 100050);周军 于竞进(卫生部疾病控制司,北京 100044)
关键词:百日咳;流行病学
中国计划免疫000211 摘要:利用描述性流行病学分析方法,对我国1950年以来全国法定传染病报告系统和近年全国疾病监测点百日咳疫情资料进行分析,以了解我国近年来百日咳的流行病学特点。结果表明:自实施计划免疫以后,百日咳发病率和死亡率大幅度下降,年发病率由60~70年代的100/10万~200/10万降至目前的1/10万以下;流行范围逐步缩小,目前有病例报告的县占全国总县数的30%左右;但是局部地区仍有暴发,春夏为高发季节,病例主要集中在婴幼儿和学龄前儿童,80%左右的病例集中在7岁以下儿童,其中5岁以下儿童占60%左右。据此,全国应进一步提高和保持高水平的百白破混合制剂常规免疫接种率,控制局部地区的暴发,并加强监测和传染源的管理。
, 百拇医药
中图分类号:R516.6 文献标识码:A
文章编号:1006-916X(2000)02-0093-03
An Analysis on Current Epidemiological Characteristics of Pertussis in China
ZHANG Xing-lu, YANG Zhi-wei, ZHOU Jun,et al.
Chinese Academy of Preventive Medicine, Beijing 100050, China.
Abstract: By descriptively analyzing pertussis data from National Notifiable Disease Reporting System and Disease Surveillance Point System, it is found that morbidity and mortality of pertussis have dramatically decreased since the time of launching EPI program. Morbidity has dramatically reduced from 100-200 cases per 100,000 in 60-70's to below 1 case per 100,000 in recent several years.Cases were reported only in 35% counties in China. However, outbreaks of pertussis still occur in few limited areas.The seasonal distribution with most of cases occurring in spring and summer and age distribution of cases mainly occurring in infants and pre-school children were displayed.It is recommended that improving and maintaining high level of DPT routine immunization coveroge rate should be ensured, so as to prevent pertussis outbreak or resurgence. At the same time, pertussis surveillance and management of infectious sources should be strengthened.
, 百拇医药
Key words: Pertussis;Epidemiology
在未接种百日咳疫苗前,百日咳是威胁儿童健康和生命的主要传染病之一。随着百日咳疫苗的使用,尤其是计划免疫的实施,百日破混合制剂(DPT)免疫覆盖率逐步提高,全球百日咳的流行得到了有效控制,发病率和死亡率显著下降。但是,在我国和一些免疫接种率较高的国家仍有百日咳暴发的报道。因此,有必要对我国百日咳等已经得到很好控制的传染病的疫情资料进行分析,了解其流行病学特点,为开展百日咳防制工作提供参考。
资料与方法
本文通过单因素分析,利用描述性流行病学方法,对我国1950年以来全国法定传染病报告系统和近年全国疾病监测点百日咳疫情资料进行分析,了解我国百日咳的流行病学特点。
结 果
1 流行强度
, http://www.100md.com
在未实施计划免疫(EPI)前,虽然开展了百日咳疫苗和有关生物制品的接种,但我国百日咳的发病并未得到有效控制。根据法定传染病报告系统资料,在60~70年代百日咳的年发病率在100/10万~200/10万,流行周期明显,每3~5年出现1次流行。随着1978年EPI的实施,DPT纳入常规免疫,百日咳的发病率和死亡率大幅度下降。进入80年代以后,发病率呈下降趋势,近几年在1/10万以下,1997年发病率为0.75/10万(图1),死亡率在0.001/10万左右。
图1 我国1950~1997年报告百日咳发病率2 季节分布
百日咳一年四季均可发生,春夏季发病校多,于4月开始增多,5月达到高峰(图2)。
, 百拇医药 图2 我国百日咳季节分布3 年龄分布
随着疫苗的应用,百日咳发病率的下降,成人百日咳病例所占的比例逐渐增加,但目前仍以儿童发病为主,95%以上的病例仍集中在15岁以下,其中7岁以下占80%左右。值得注意的是,60%左右的病例<5岁(图3),百日咳的死亡病例也主要集中在<5岁。
图3 我国百日咳年龄分布4 地理分布
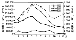
随着EPI的实施,各地百日咳发病率和死亡率显著下降,目前大部分省(自治区、直辖市,下同)的年发病率在0.5/10万左右。个别省发病率≥1/10万,1997年有7个省(图4),1996年有2个省(新疆、青海)。其中青海省1997年发病率18.24/10万,发病853例,死亡12例。以县为单位进行分析,1996年和1997年无病例报告的县占全国总县数的65%左右,30%左右的县发病数在10例以下,但个别县发病数仍相对较多。1997年有3个县发病数分别为315例(62/10万)、691例(856/10万)和744例(1 136/10万),占其所在省总病例数的50%~87%,病例分布表现出相对集中的特点。根据疾病监测点资料,目前我国百日咳的农村发病率高于城市(图5)。
, 百拇医药
图4 各省1997年百日咳发病率
图5 我国1990~1997年疾病监测点
百日咳全国、城市和农村校正发病率
讨 论
根据以上资料分析,我国百日咳的控制取得了显著的成绩。尤其自实施EPI以来,百日咳的发病率显著下降,近年在1/10万以下,死亡率在0.001/10万左右,大部分省的报告发病率在0.5/10万左右。流行范围逐步缩小,每年大约65%左右的县无百日咳病例报告。但在一些地区百日咳发病水平仍相对较高,1997年以县为单位发病率最高达1 136/10万,局部地区仍有暴发〔1~3〕。90年代初期,美国和澳大利亚发生了百日咳重新流行,部分地区发生暴发,我们应引以为戒〔4、5〕。因此,我们应进一步加强对百日咳的控制,防止百日咳的重新流行。
, http://www.100md.com
随着疫苗的应用,百日咳发病率的下降,成人百日咳病例所占的比例逐渐增加并成为传染源。其主要原因是,随着免疫接种的实施,免疫覆盖率的提高,一方面未接种疫苗的成人在儿童时期未有感染的机会,另一方面部分人群接种疫苗后,随着时间的推移,抗体水平下降或消失,导致易感人群累积。贵州某地的一次百日咳暴发,约20.3%的病例集中在≥15岁〔1〕。美国、瑞典和日本的百日咳暴发中,成人作为指示病例的比例分别为15%、12%和11%〔6〕。但是,目前我国百日咳的发病与死亡仍主要集中在婴幼儿和学龄前儿童,80%左右的病例集中在7岁以下儿童,其中5岁以下儿童占60%左右。因此,目前百日咳预防工作的重点仍集中在儿童,应有效地利用现有的卫生资源,进一步提高和保持高水平的DPT常规免疫接种率,并根据百日咳发病、死亡的实际情况,加强人群免疫水平监测,避免过分强调成人的免疫接种。WHO要求,所有国家,尤其是在百日咳呈地方性流行或仍严重威胁婴幼儿健康和生命的国家,首要任务是在婴儿6月龄前完成3针DPT免疫,免疫覆盖率至少达到90%〔7〕。
, http://www.100md.com
在加强免疫接种和人群免疫水平监测的同时,还应加强病例的监测和传染源的管理,防止暴发或流行,这些是有效控制传染病的主要技术策略。传染病的误报、漏报和迟报是影响传染病监测工作质量的一个主要问题,以至影响正确评价有关控制策略的有效性。百日咳发病的早期(卡他期)很难与一般上呼吸道感染、副流感病毒等引起的间质性肺炎、腺病毒等引起的小支气管炎等鉴别。同时,由于部分医务人员责任心不强,造成百日咳的漏报和迟报,延误了疫情的处理,导致疫情蔓延和扩大。贵州省某村1997年发生的百日咳暴发(罹患率为205.48‰)调查表明,除易感人群累积外,疫情迟报也是其主要原因之一〔1〕。根据全国疾病监测点居民漏报调查资料,呼吸道传染病漏报率一般在20%~40%,百日咳漏报率达30~50%,农村漏报率高于城市。建议在现有监测系统的基础上,规范监测内容(包括病例定义)和监测程序,提高病例报告的完整性、准确性和及时性。全国已经开展了免疫接种率监测工作,结合百日咳发病监测工作可以正确评价我国现有免疫规划策略在控制百日咳流行方面的作用。
, http://www.100md.com 由于百日咳的传染性较强,及时发现病例并采取隔离措施,也是控制百日咳暴发或流行的重要措施之一。尤其在人群免疫水平较低的地区,及时发现病例,重视传染源的管理对百日咳的控制更有其重要意义。
作者简介:张兴录(1956-),男,山东省蓬莱市人,中国预防医学科学院全国计划免疫技术指导中心办公室研究员,医学硕士,从事传染病的流行病学研究工作。
参考文献
〔1〕陶沁,陈圣俊,王华刚,等.贵州省1997年局部地区百日咳暴发流行给人们的启示[J].中华流行病学杂志,1998,19(6):375.
〔2〕李振东,莫建光,莫高天,等.一起山区农村百日咳流行调查[J].中华流行病学杂志,1991,12(6):334.
〔3〕胡向东.一起百日咳暴发性流行的调查报告[J].中华流行病学杂志,1991,12(3):235.
, http://www.100md.com
〔4〕From the Centers for Disease Control and Prevention. Resurgence of pertussis——United States,1993[J]. JAMA, 1994,271(5):340~341.
〔5〕Andrews R, Herceg A, Rogberts C, et al. Pertussis notification in Australia, 1991 to 1997[J].Commun Dis Intell,1997,21(11):145.
〔6〕Wirsing von koning CH,Postels-Multani S, Bock HL,et al. Pertussis in adults:frequency of transmission after household exposure [J]. Lancet,1995,346(8986):1324.
〔7〕WHO.The Immunological Basis for Immunization(4):Pertussis[J].WHO/EPI/GEN/93.14.
收稿日期:1999-03-16, 百拇医药
单位:张兴录 杨志伟 王克安(中国预防医学科学院,北京 100050);周军 于竞进(卫生部疾病控制司,北京 100044)
关键词:百日咳;流行病学
中国计划免疫000211 摘要:利用描述性流行病学分析方法,对我国1950年以来全国法定传染病报告系统和近年全国疾病监测点百日咳疫情资料进行分析,以了解我国近年来百日咳的流行病学特点。结果表明:自实施计划免疫以后,百日咳发病率和死亡率大幅度下降,年发病率由60~70年代的100/10万~200/10万降至目前的1/10万以下;流行范围逐步缩小,目前有病例报告的县占全国总县数的30%左右;但是局部地区仍有暴发,春夏为高发季节,病例主要集中在婴幼儿和学龄前儿童,80%左右的病例集中在7岁以下儿童,其中5岁以下儿童占60%左右。据此,全国应进一步提高和保持高水平的百白破混合制剂常规免疫接种率,控制局部地区的暴发,并加强监测和传染源的管理。
, 百拇医药
中图分类号:R516.6 文献标识码:A
文章编号:1006-916X(2000)02-0093-03
An Analysis on Current Epidemiological Characteristics of Pertussis in China
ZHANG Xing-lu, YANG Zhi-wei, ZHOU Jun,et al.
Chinese Academy of Preventive Medicine, Beijing 100050, China.
Abstract: By descriptively analyzing pertussis data from National Notifiable Disease Reporting System and Disease Surveillance Point System, it is found that morbidity and mortality of pertussis have dramatically decreased since the time of launching EPI program. Morbidity has dramatically reduced from 100-200 cases per 100,000 in 60-70's to below 1 case per 100,000 in recent several years.Cases were reported only in 35% counties in China. However, outbreaks of pertussis still occur in few limited areas.The seasonal distribution with most of cases occurring in spring and summer and age distribution of cases mainly occurring in infants and pre-school children were displayed.It is recommended that improving and maintaining high level of DPT routine immunization coveroge rate should be ensured, so as to prevent pertussis outbreak or resurgence. At the same time, pertussis surveillance and management of infectious sources should be strengthened.
, 百拇医药
Key words: Pertussis;Epidemiology
在未接种百日咳疫苗前,百日咳是威胁儿童健康和生命的主要传染病之一。随着百日咳疫苗的使用,尤其是计划免疫的实施,百日破混合制剂(DPT)免疫覆盖率逐步提高,全球百日咳的流行得到了有效控制,发病率和死亡率显著下降。但是,在我国和一些免疫接种率较高的国家仍有百日咳暴发的报道。因此,有必要对我国百日咳等已经得到很好控制的传染病的疫情资料进行分析,了解其流行病学特点,为开展百日咳防制工作提供参考。
资料与方法
本文通过单因素分析,利用描述性流行病学方法,对我国1950年以来全国法定传染病报告系统和近年全国疾病监测点百日咳疫情资料进行分析,了解我国百日咳的流行病学特点。
结 果
1 流行强度
, http://www.100md.com
在未实施计划免疫(EPI)前,虽然开展了百日咳疫苗和有关生物制品的接种,但我国百日咳的发病并未得到有效控制。根据法定传染病报告系统资料,在60~70年代百日咳的年发病率在100/10万~200/10万,流行周期明显,每3~5年出现1次流行。随着1978年EPI的实施,DPT纳入常规免疫,百日咳的发病率和死亡率大幅度下降。进入80年代以后,发病率呈下降趋势,近几年在1/10万以下,1997年发病率为0.75/10万(图1),死亡率在0.001/10万左右。
图1 我国1950~1997年报告百日咳发病率2 季节分布
百日咳一年四季均可发生,春夏季发病校多,于4月开始增多,5月达到高峰(图2)。
, 百拇医药 图2 我国百日咳季节分布3 年龄分布
随着疫苗的应用,百日咳发病率的下降,成人百日咳病例所占的比例逐渐增加,但目前仍以儿童发病为主,95%以上的病例仍集中在15岁以下,其中7岁以下占80%左右。值得注意的是,60%左右的病例<5岁(图3),百日咳的死亡病例也主要集中在<5岁。
图3 我国百日咳年龄分布4 地理分布
随着EPI的实施,各地百日咳发病率和死亡率显著下降,目前大部分省(自治区、直辖市,下同)的年发病率在0.5/10万左右。个别省发病率≥1/10万,1997年有7个省(图4),1996年有2个省(新疆、青海)。其中青海省1997年发病率18.24/10万,发病853例,死亡12例。以县为单位进行分析,1996年和1997年无病例报告的县占全国总县数的65%左右,30%左右的县发病数在10例以下,但个别县发病数仍相对较多。1997年有3个县发病数分别为315例(62/10万)、691例(856/10万)和744例(1 136/10万),占其所在省总病例数的50%~87%,病例分布表现出相对集中的特点。根据疾病监测点资料,目前我国百日咳的农村发病率高于城市(图5)。
, 百拇医药
图4 各省1997年百日咳发病率
图5 我国1990~1997年疾病监测点
百日咳全国、城市和农村校正发病率
讨 论
根据以上资料分析,我国百日咳的控制取得了显著的成绩。尤其自实施EPI以来,百日咳的发病率显著下降,近年在1/10万以下,死亡率在0.001/10万左右,大部分省的报告发病率在0.5/10万左右。流行范围逐步缩小,每年大约65%左右的县无百日咳病例报告。但在一些地区百日咳发病水平仍相对较高,1997年以县为单位发病率最高达1 136/10万,局部地区仍有暴发〔1~3〕。90年代初期,美国和澳大利亚发生了百日咳重新流行,部分地区发生暴发,我们应引以为戒〔4、5〕。因此,我们应进一步加强对百日咳的控制,防止百日咳的重新流行。
, http://www.100md.com
随着疫苗的应用,百日咳发病率的下降,成人百日咳病例所占的比例逐渐增加并成为传染源。其主要原因是,随着免疫接种的实施,免疫覆盖率的提高,一方面未接种疫苗的成人在儿童时期未有感染的机会,另一方面部分人群接种疫苗后,随着时间的推移,抗体水平下降或消失,导致易感人群累积。贵州某地的一次百日咳暴发,约20.3%的病例集中在≥15岁〔1〕。美国、瑞典和日本的百日咳暴发中,成人作为指示病例的比例分别为15%、12%和11%〔6〕。但是,目前我国百日咳的发病与死亡仍主要集中在婴幼儿和学龄前儿童,80%左右的病例集中在7岁以下儿童,其中5岁以下儿童占60%左右。因此,目前百日咳预防工作的重点仍集中在儿童,应有效地利用现有的卫生资源,进一步提高和保持高水平的DPT常规免疫接种率,并根据百日咳发病、死亡的实际情况,加强人群免疫水平监测,避免过分强调成人的免疫接种。WHO要求,所有国家,尤其是在百日咳呈地方性流行或仍严重威胁婴幼儿健康和生命的国家,首要任务是在婴儿6月龄前完成3针DPT免疫,免疫覆盖率至少达到90%〔7〕。
, http://www.100md.com
在加强免疫接种和人群免疫水平监测的同时,还应加强病例的监测和传染源的管理,防止暴发或流行,这些是有效控制传染病的主要技术策略。传染病的误报、漏报和迟报是影响传染病监测工作质量的一个主要问题,以至影响正确评价有关控制策略的有效性。百日咳发病的早期(卡他期)很难与一般上呼吸道感染、副流感病毒等引起的间质性肺炎、腺病毒等引起的小支气管炎等鉴别。同时,由于部分医务人员责任心不强,造成百日咳的漏报和迟报,延误了疫情的处理,导致疫情蔓延和扩大。贵州省某村1997年发生的百日咳暴发(罹患率为205.48‰)调查表明,除易感人群累积外,疫情迟报也是其主要原因之一〔1〕。根据全国疾病监测点居民漏报调查资料,呼吸道传染病漏报率一般在20%~40%,百日咳漏报率达30~50%,农村漏报率高于城市。建议在现有监测系统的基础上,规范监测内容(包括病例定义)和监测程序,提高病例报告的完整性、准确性和及时性。全国已经开展了免疫接种率监测工作,结合百日咳发病监测工作可以正确评价我国现有免疫规划策略在控制百日咳流行方面的作用。
, http://www.100md.com 由于百日咳的传染性较强,及时发现病例并采取隔离措施,也是控制百日咳暴发或流行的重要措施之一。尤其在人群免疫水平较低的地区,及时发现病例,重视传染源的管理对百日咳的控制更有其重要意义。
作者简介:张兴录(1956-),男,山东省蓬莱市人,中国预防医学科学院全国计划免疫技术指导中心办公室研究员,医学硕士,从事传染病的流行病学研究工作。
参考文献
〔1〕陶沁,陈圣俊,王华刚,等.贵州省1997年局部地区百日咳暴发流行给人们的启示[J].中华流行病学杂志,1998,19(6):375.
〔2〕李振东,莫建光,莫高天,等.一起山区农村百日咳流行调查[J].中华流行病学杂志,1991,12(6):334.
〔3〕胡向东.一起百日咳暴发性流行的调查报告[J].中华流行病学杂志,1991,12(3):235.
, http://www.100md.com
〔4〕From the Centers for Disease Control and Prevention. Resurgence of pertussis——United States,1993[J]. JAMA, 1994,271(5):340~341.
〔5〕Andrews R, Herceg A, Rogberts C, et al. Pertussis notification in Australia, 1991 to 1997[J].Commun Dis Intell,1997,21(11):145.
〔6〕Wirsing von koning CH,Postels-Multani S, Bock HL,et al. Pertussis in adults:frequency of transmission after household exposure [J]. Lancet,1995,346(8986):1324.
〔7〕WHO.The Immunological Basis for Immunization(4):Pertussis[J].WHO/EPI/GEN/93.14.
收稿日期:1999-03-16, 百拇医药