长骨表面再造仿真中死区控制模型研究
作者:朱兴华 周振平 董心 苏继军
单位:朱兴华(吉林工业大学,长春 130025);周振平(吉林工业大学,长春 130025);董心(吉林工业大学,长春 130025);苏继军(吉林工业大学,长春 130025)
关键词:长骨;表面再造;死区控制模型;仿真
中国生物医学工程学报000213 本文研究了在采用骨再造理论和有限元法相结合的骨再造仿真中,“死区”控制模型问题。提出了常数线性模型和常数抛物线模型。通过外荷改变和植入植入物后引起长骨表面再造的8种问题的算例计算,参考动物试验和临床初步观测结果,初步确定了这两种模型中的三个待定常数的取值范围。适当调整其待定常数完全可以对长骨表面再造进行仿真。为通用程序的编制打下理论基础。
分类号: R318.01; Q819
, 百拇医药
MODEL RESEARCH OF CONTROLLED DEAD ZONE
IN LONG BONE SURFACE REMODELLING SIMULATION
Zhu Xinghua, Zhou Zhenping, Dong Xin, Su Jijun
(Jilin University of technology, Changchun 130025))
ABSTRACT
We studied the model problem of controlled “dead zone” in the bone remodeling simulation in which combination of bone remodelling with finite element method was adopted. A constant-linear constant-parabolic model was put forward. By calculating the examples of 8 types of bone surface remodelling problems which were caused by changing exterior load and implanted implant in the bone, we used the animal test result to determine initially the scope of three undetermined constants in these two models. Long bone surface remodelling could be simulated by appropriately adjusting the constant. A theoretical base was thus given on working out the general program.
, 百拇医药
Key words: Long bone; Surface remodelling; Dead zone controlled model; Simulation
0 引言
目前,采用有限元与再造理论相结合,预测骨的再造行为,定量分析骨的再造结果,国内外的研究尚少。在模拟骨的再造过程中,有限元方法给出了力学激励值的有效计算方法,而再造与力学激励的关系是个较复杂的问题。研究表明[7]骨中有用来感知和测量内部力学激励的传感细胞,还有信号转换细胞,它能根据力学激励的值,产生成骨信号或破骨信号,从而激活骨细胞进行骨再造。这里感知力学激励传感细胞在多大激励下才能感知到,激励值变化量如何进行转换,即模拟预测过程中控制模式有待进一步研究。这方面的研究在国外已有报道。Huiskes等(1987,1992)[1,2]采用适应性弹性骨再造理论与有限元相结合方法,对人工髋关节植入后,骨的再造行为进行预测。但所用的控制模式较简单,对于一般骨再造适应性较差。有待进一步改进。在骨再造模拟,较复杂的迭代过程中,控制模式是很关键的问题,它将直接影响骨再造过程的真实性和再造结果的正确性。本文提出两种新的控制模型,常数-线性模型和常数-抛物线模型,为骨再造仿真控制提供了较稳定的收敛准则。通过某些常数的修改,可完成不同的再造特性控制,提高了骨再造结果的精度,为研制通用的骨再造软件奠定了良好的理论基础。
, 百拇医药
1 死区控制模型
骨再造过程是一个十分复杂的力学、生物化学过程,从力学因素引起骨再造的角度出发,提出两条基本假设、建立骨再造仿真控制方程。
①假设长骨是正交异性线弹性材料。
②假设长骨表面法向再造速度与表面点处的应变能密度的改变量成正比[11],由骨表面的移动引起骨再造。
设骨表面点Q处法向再造速率为V,仿真控制方程为:
V=C(n,Q)[u(Q)-u0(Q)](1)

, 百拇医药
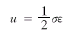
式中u0(Q)是骨正常受力即平衡态Q点处的应变能密度,u(Q)是骨再造态Q点处的应变能密度。C(n,Q)是Q点处表面再造速率系数,应由实验确定,C,u,u0皆是标量,应力σ、σ0和应变ε、ε0为二阶张量。
根据骨再造控制方程(1)可写出迭代方程:
Δn=CΔt(u-u0) (2)
式中Δn表示表面点处法向坐标增量,Δt为时间步长,u,u0均由再造态和平衡态下的有限元计算得出。在力学激励u-u0作用下,骨表面发生再造。这种再造用法向坐标改变量Δn表示,由于坐标的改变体现了骨的结构形状的变化,使u发生变化,产生了新的激励,继续再造,反复迭代,直至达到新的平衡态结束,即骨的自适应完成,求得再造后骨的形状。
, 百拇医药
从理论上看,虽然C是未知的,但再造最终结果是确定的,C的大小只影响再造的时间历程对结果无影响。只要控制法向坐标增量小到一定范围即可。
目前对引起骨再造的细观、微观机理研究的结果表明[7],在骨内有信号检测转换系统。这个系统是,骨内的传感细胞感知和测量力学激励,由转换细胞把力学激励转换成成骨信号或破骨信号,激活成骨细胞或破骨细胞产生骨再造,即生长或吸收。这个系统对力学激励信号的检测、转换,最后激活骨细胞的各个环节中应该存在有一个不产生反应,即不产生骨再造的区域,这个区域称“死区”,系统的精度再高也有其不可分辨的测量值,对应骨再造系统,不是力学激励只要|u-u0|>0就能激活骨细胞,而是|u-u0|>Δucr时,足以让该系统能够分辨时才能激活骨细胞,产生骨再造,Δucr称为系统的临界值,也可称“分辨率”。它的存在是一定的,这一点已被很多动物实验所证实。
, 百拇医药
骨再造迭代方程(2)可改写成:
(3)
这种关系可用图来表示:
图1 骨再造与激励的关系
图2 Huiskes假设的Δucr与u0关系
关于力学激励能否激活骨细胞的临界值Δucr的确定问题,Huiskes[1,2]采用:
Δucr=su0 (4)
, 百拇医药
这种关系可用图2表示,式中s为一常数,这是一个线性模型,在一个二维问题计算中Huiskes[1]取s为0.35。这里假设Δucr是u0的线性函数。一般来讲检测系统的分辨率与测量值是有关的,测量值越大,其分辨率也越大,趋势是符合的。但在u0趋于0时,Δucr也趋于0,这对检测系统来讲是不合理的,对于骨再造系统会产生振荡,很难收敛。另外,Δucr与u0是线性假设也显得太严格了,在与实验比较修正时,可修改参数只有S。对于有些问题很难与不同u0下得到的实验值Δucr完全吻合。
为此关于临界值Δucr我们提出两种模型:
(1)在u0较小时,Δucr为常数,用uc表示。在u0大于uc时,Δucr是u0的线性函数。其控制方程为:
(5)
, 百拇医药
式中uc为常数,称为常数-线性模型,见图3。
(2)在u0较小时Δucr为常数,用uc表示,u0大于uc时,Δucr是u0的二次函数。其控制方程为:
图3 常数-线性模型
图4 常数-抛物线模型
(6)
式中u0max代表平衡态表面再造点的最大应变能密度,β为大于1的常数,称常数-抛物线模型见图4。
, 百拇医药
收敛的准则是全部表面再造节点进入死区。
2 分析与讨论
将上述Huiskes[2]提出的死区控制方程,即线性模型方程(4)式、我们提出的常数-线性模型(5)式和常数抛物线模型(6)式,应用于我们编制的长骨再造仿真系统“BRSS97”中。以人股骨骨干为例,对外荷载改变和植入植入物后的两类骨再造行为进行仿真,对其结果进行分析比较。
股骨干简化为外径26mm,内径13mm,长150mm的空心圆筒,沿轴线分15层,每层10个单元,共150个20节点三维实体等参数单元,再造表面节点450个,见图5(a)。收敛的准则是全部表面再造节点进入死区,整个骨干达到新的平衡态。
两类骨再造行为的仿真结果表明:
线性死区控制模型在外荷改变和植入物植入后的骨再造仿真过程中,当迭代步进行到一定数量时往往出现振荡现象,不能收敛。即全部再造节点不能同时进入死区。其原因在于平衡态的应变能密度u0很小的再造节点,Δucr更小,那么(3)式中,(u-u0-Δucr)即[u-u0(1-s)]的值在两次迭代中有可能符号相反,该点在死区内外振荡,当再造节点处,Δucr→0时,很难进入死区,这样的点多些,使全部再造节点同时进入死区的可能性变得很小,不能收敛。算例结果和我们预料的相一致。
, 百拇医药
图5 压、弯、剪、插入钢柄,常数-线性模型
图6 压、弯、剪、插入钢柄,常数-抛物线模型
常数-线性和常数-抛物线模型,由于在u0较小时,Δucr取为不是较小的常数uc,实际算例结果没有产生振荡现象,一般迭代至20~60步即可使全部节点进入死区,达到新的平衡态。
常数-线性和常数-抛物线中系数S,uc和β的选取,要根据活体实际临床观测骨再造的结果来确定。目前国内外还没有见到这种系统的临床观测资料,分析其原因是这种观测资料的获取难度很大。我们通过算例计算和临床的初步观测结果作初步的分析。
对于S,约在0.2~0.4之间,S=0.4时,外荷改变50%时,再造量很小。S<0.2时,很难达到全部再造节点同时进入死区,达到新的平衡态。对于uc,我们试验的结果是首先uc=u0开始较好,u0是平衡态全部再造节点的应变能密度的平均值。一般说在此值时都能收敛。然后再根据具体问题适当的减小。常数-抛物线模型中,β值的选取,算例试验结果一般在2~4之间。
, http://www.100md.com
现仅就能收集到的国外资料和我们的实验结果加以分析对比。Kiratli(1991)[8]用更精细的X射线法,对人工股骨头植入后的骨再造进行了长期观测,植入后5年,股骨截面损失可达40%。我们采用BRSS97程序,对人工股骨头植入后,股骨的再造行为进行预测,三维有限元模型共7569个自由度,选用线性-抛物线模型,当s=0.25,uc=u0,β=2.63时,股骨截面损失最大值为35%;当β=3.4时,股骨截面损失最大值为41%。我们作了5例成人股骨骨折钢板内固定治疗后,一年取出钢板的CT扫描,测得结果是,外膜基本不动,内膜向外移动,髓腔扩大,面积损失15~37%,平均为22%。采用BRSS97程序对内固定钢板固定后的股骨再造行为进行预测,三维有限元模型共10848个自由度,选用常数-线性模型当s=0.3,uc=u0时,股骨截面损失率为20.2%。可见,该死区模型能较好地对骨的再造行为进行预测模拟,并与实验结果表现出良好的一致性。
, http://www.100md.com
由常数-线性模型和常数-抛物线模型的控制方程(5)、(6)式可见,当β>1时
β越大,其值越小,β→∝时,其值为零。这时常数-抛物线模型变为常数-线性模型。可见常数-抛物线模型的死区范围大于常数-线性模型。以算例结果看,常数-线性模型有时在应变能密度u0较大,且(u-u0)也较大的局部区域骨再造特别敏感,见图5(b),这与动物试验不符[3~5],而常数-抛物线模型,在这两类(8种)算例中均未出现上述现象(见图6)。这似乎是比较合理。
总之我们提出的两种死区控制模型,因有S,uc,β这三个系数可以调整,经过两类引起骨再造的8种算例实验和临床初步观测结果,定出了这些值的范围,对于长骨再造实际问题的仿真是能够满足要求的。可以用于各种植入物应力遮挡效应的评价、对比,以及植入物设计方案的对比分析,从而为植入物优化设计打下基础。
, 百拇医药
国家自然科学基金资助项目(39570199);吉林省科委基金资助项目(953513-1)
参考文献
[1] Huiskes R, et al. Adaptive bone-remodeling theory applied to prosthetic-design analysis. J. Bomechanics, 1987,20(11/12):1135~1150
[2] Weinans H, et al. The behavior of adaptive bone-remodeling simulation models. J. Biomechanics, 1992,25(12):1425~1441
[3] Cowin SC, et al. Functional adapzation on long bone: establishing in-vivo values for surfce remodeling rate coefficients. J. Biomechanics, 1985,18(9):665~684
, http://www.100md.com
[4] 朱兴华等.长骨的功能适应性研究.中国生物医学工程学报,1993,12(2):106~110
[5] 朱兴华等.长时间增加运动量对长骨表面再造的影响.中国生物医学工程学报,1994,13(2):181~183
[6] Rietbergen BV, et al. The mechanism of bone remodeling and resorption around press-fitted the stems. J. Biomechanics, 1993,26(4/5):369~382
[7] Cowin SC. The cellular mechanosensory mechanism for new bone formation. 1995,Proceedings of the Fourth China-Japan-USA-Singapore Confernce on Biomechanics, pp53~56
, 百拇医药
[8] Kiratli BJ, et al. Bone mineral density of the proximal femer after uncemented total hip arthroplasty. Tran 37 th ORC, Anaheim. CA.P.545
[9] 朱东等.青少年股骨骨折内固定后骨再造的试验研究.试验技术与试验机,1998,36(3/4)52~54
[10] 朱伟民等.骨折内固定后骨损失的在体试验研究.吉林工业大学学报,1999,29(1):91~93
[11] 朱兴华等.应变能密度作控制变量的骨干表面再造理论预测.中国生物医学工程学报,1999,18(4):426~431
收稿日期:1998-11-08
修稿日期:1999-06-07, 百拇医药
单位:朱兴华(吉林工业大学,长春 130025);周振平(吉林工业大学,长春 130025);董心(吉林工业大学,长春 130025);苏继军(吉林工业大学,长春 130025)
关键词:长骨;表面再造;死区控制模型;仿真
中国生物医学工程学报000213 本文研究了在采用骨再造理论和有限元法相结合的骨再造仿真中,“死区”控制模型问题。提出了常数线性模型和常数抛物线模型。通过外荷改变和植入植入物后引起长骨表面再造的8种问题的算例计算,参考动物试验和临床初步观测结果,初步确定了这两种模型中的三个待定常数的取值范围。适当调整其待定常数完全可以对长骨表面再造进行仿真。为通用程序的编制打下理论基础。
分类号: R318.01; Q819
, 百拇医药
MODEL RESEARCH OF CONTROLLED DEAD ZONE
IN LONG BONE SURFACE REMODELLING SIMULATION
Zhu Xinghua, Zhou Zhenping, Dong Xin, Su Jijun
(Jilin University of technology, Changchun 130025))
ABSTRACT
We studied the model problem of controlled “dead zone” in the bone remodeling simulation in which combination of bone remodelling with finite element method was adopted. A constant-linear constant-parabolic model was put forward. By calculating the examples of 8 types of bone surface remodelling problems which were caused by changing exterior load and implanted implant in the bone, we used the animal test result to determine initially the scope of three undetermined constants in these two models. Long bone surface remodelling could be simulated by appropriately adjusting the constant. A theoretical base was thus given on working out the general program.
, 百拇医药
Key words: Long bone; Surface remodelling; Dead zone controlled model; Simulation
0 引言
目前,采用有限元与再造理论相结合,预测骨的再造行为,定量分析骨的再造结果,国内外的研究尚少。在模拟骨的再造过程中,有限元方法给出了力学激励值的有效计算方法,而再造与力学激励的关系是个较复杂的问题。研究表明[7]骨中有用来感知和测量内部力学激励的传感细胞,还有信号转换细胞,它能根据力学激励的值,产生成骨信号或破骨信号,从而激活骨细胞进行骨再造。这里感知力学激励传感细胞在多大激励下才能感知到,激励值变化量如何进行转换,即模拟预测过程中控制模式有待进一步研究。这方面的研究在国外已有报道。Huiskes等(1987,1992)[1,2]采用适应性弹性骨再造理论与有限元相结合方法,对人工髋关节植入后,骨的再造行为进行预测。但所用的控制模式较简单,对于一般骨再造适应性较差。有待进一步改进。在骨再造模拟,较复杂的迭代过程中,控制模式是很关键的问题,它将直接影响骨再造过程的真实性和再造结果的正确性。本文提出两种新的控制模型,常数-线性模型和常数-抛物线模型,为骨再造仿真控制提供了较稳定的收敛准则。通过某些常数的修改,可完成不同的再造特性控制,提高了骨再造结果的精度,为研制通用的骨再造软件奠定了良好的理论基础。
, 百拇医药
1 死区控制模型
骨再造过程是一个十分复杂的力学、生物化学过程,从力学因素引起骨再造的角度出发,提出两条基本假设、建立骨再造仿真控制方程。
①假设长骨是正交异性线弹性材料。
②假设长骨表面法向再造速度与表面点处的应变能密度的改变量成正比[11],由骨表面的移动引起骨再造。
设骨表面点Q处法向再造速率为V,仿真控制方程为:
V=C(n,Q)[u(Q)-u0(Q)](1)
, 百拇医药
式中u0(Q)是骨正常受力即平衡态Q点处的应变能密度,u(Q)是骨再造态Q点处的应变能密度。C(n,Q)是Q点处表面再造速率系数,应由实验确定,C,u,u0皆是标量,应力σ、σ0和应变ε、ε0为二阶张量。
根据骨再造控制方程(1)可写出迭代方程:
Δn=CΔt(u-u0) (2)
式中Δn表示表面点处法向坐标增量,Δt为时间步长,u,u0均由再造态和平衡态下的有限元计算得出。在力学激励u-u0作用下,骨表面发生再造。这种再造用法向坐标改变量Δn表示,由于坐标的改变体现了骨的结构形状的变化,使u发生变化,产生了新的激励,继续再造,反复迭代,直至达到新的平衡态结束,即骨的自适应完成,求得再造后骨的形状。
, 百拇医药
从理论上看,虽然C是未知的,但再造最终结果是确定的,C的大小只影响再造的时间历程对结果无影响。只要控制法向坐标增量小到一定范围即可。
目前对引起骨再造的细观、微观机理研究的结果表明[7],在骨内有信号检测转换系统。这个系统是,骨内的传感细胞感知和测量力学激励,由转换细胞把力学激励转换成成骨信号或破骨信号,激活成骨细胞或破骨细胞产生骨再造,即生长或吸收。这个系统对力学激励信号的检测、转换,最后激活骨细胞的各个环节中应该存在有一个不产生反应,即不产生骨再造的区域,这个区域称“死区”,系统的精度再高也有其不可分辨的测量值,对应骨再造系统,不是力学激励只要|u-u0|>0就能激活骨细胞,而是|u-u0|>Δucr时,足以让该系统能够分辨时才能激活骨细胞,产生骨再造,Δucr称为系统的临界值,也可称“分辨率”。它的存在是一定的,这一点已被很多动物实验所证实。
, 百拇医药
骨再造迭代方程(2)可改写成:
这种关系可用图来表示:
图1 骨再造与激励的关系
图2 Huiskes假设的Δucr与u0关系
关于力学激励能否激活骨细胞的临界值Δucr的确定问题,Huiskes[1,2]采用:
Δucr=su0 (4)
, 百拇医药
这种关系可用图2表示,式中s为一常数,这是一个线性模型,在一个二维问题计算中Huiskes[1]取s为0.35。这里假设Δucr是u0的线性函数。一般来讲检测系统的分辨率与测量值是有关的,测量值越大,其分辨率也越大,趋势是符合的。但在u0趋于0时,Δucr也趋于0,这对检测系统来讲是不合理的,对于骨再造系统会产生振荡,很难收敛。另外,Δucr与u0是线性假设也显得太严格了,在与实验比较修正时,可修改参数只有S。对于有些问题很难与不同u0下得到的实验值Δucr完全吻合。
为此关于临界值Δucr我们提出两种模型:
(1)在u0较小时,Δucr为常数,用uc表示。在u0大于uc时,Δucr是u0的线性函数。其控制方程为:
, 百拇医药
式中uc为常数,称为常数-线性模型,见图3。
(2)在u0较小时Δucr为常数,用uc表示,u0大于uc时,Δucr是u0的二次函数。其控制方程为:
图3 常数-线性模型
图4 常数-抛物线模型
式中u0max代表平衡态表面再造点的最大应变能密度,β为大于1的常数,称常数-抛物线模型见图4。
, 百拇医药
收敛的准则是全部表面再造节点进入死区。
2 分析与讨论
将上述Huiskes[2]提出的死区控制方程,即线性模型方程(4)式、我们提出的常数-线性模型(5)式和常数抛物线模型(6)式,应用于我们编制的长骨再造仿真系统“BRSS97”中。以人股骨骨干为例,对外荷载改变和植入植入物后的两类骨再造行为进行仿真,对其结果进行分析比较。
股骨干简化为外径26mm,内径13mm,长150mm的空心圆筒,沿轴线分15层,每层10个单元,共150个20节点三维实体等参数单元,再造表面节点450个,见图5(a)。收敛的准则是全部表面再造节点进入死区,整个骨干达到新的平衡态。
两类骨再造行为的仿真结果表明:
线性死区控制模型在外荷改变和植入物植入后的骨再造仿真过程中,当迭代步进行到一定数量时往往出现振荡现象,不能收敛。即全部再造节点不能同时进入死区。其原因在于平衡态的应变能密度u0很小的再造节点,Δucr更小,那么(3)式中,(u-u0-Δucr)即[u-u0(1-s)]的值在两次迭代中有可能符号相反,该点在死区内外振荡,当再造节点处,Δucr→0时,很难进入死区,这样的点多些,使全部再造节点同时进入死区的可能性变得很小,不能收敛。算例结果和我们预料的相一致。
, 百拇医药
图5 压、弯、剪、插入钢柄,常数-线性模型
图6 压、弯、剪、插入钢柄,常数-抛物线模型
常数-线性和常数-抛物线模型,由于在u0较小时,Δucr取为不是较小的常数uc,实际算例结果没有产生振荡现象,一般迭代至20~60步即可使全部节点进入死区,达到新的平衡态。
常数-线性和常数-抛物线中系数S,uc和β的选取,要根据活体实际临床观测骨再造的结果来确定。目前国内外还没有见到这种系统的临床观测资料,分析其原因是这种观测资料的获取难度很大。我们通过算例计算和临床的初步观测结果作初步的分析。
对于S,约在0.2~0.4之间,S=0.4时,外荷改变50%时,再造量很小。S<0.2时,很难达到全部再造节点同时进入死区,达到新的平衡态。对于uc,我们试验的结果是首先uc=u0开始较好,u0是平衡态全部再造节点的应变能密度的平均值。一般说在此值时都能收敛。然后再根据具体问题适当的减小。常数-抛物线模型中,β值的选取,算例试验结果一般在2~4之间。
, http://www.100md.com
现仅就能收集到的国外资料和我们的实验结果加以分析对比。Kiratli(1991)[8]用更精细的X射线法,对人工股骨头植入后的骨再造进行了长期观测,植入后5年,股骨截面损失可达40%。我们采用BRSS97程序,对人工股骨头植入后,股骨的再造行为进行预测,三维有限元模型共7569个自由度,选用线性-抛物线模型,当s=0.25,uc=u0,β=2.63时,股骨截面损失最大值为35%;当β=3.4时,股骨截面损失最大值为41%。我们作了5例成人股骨骨折钢板内固定治疗后,一年取出钢板的CT扫描,测得结果是,外膜基本不动,内膜向外移动,髓腔扩大,面积损失15~37%,平均为22%。采用BRSS97程序对内固定钢板固定后的股骨再造行为进行预测,三维有限元模型共10848个自由度,选用常数-线性模型当s=0.3,uc=u0时,股骨截面损失率为20.2%。可见,该死区模型能较好地对骨的再造行为进行预测模拟,并与实验结果表现出良好的一致性。
, http://www.100md.com
由常数-线性模型和常数-抛物线模型的控制方程(5)、(6)式可见,当β>1时
β越大,其值越小,β→∝时,其值为零。这时常数-抛物线模型变为常数-线性模型。可见常数-抛物线模型的死区范围大于常数-线性模型。以算例结果看,常数-线性模型有时在应变能密度u0较大,且(u-u0)也较大的局部区域骨再造特别敏感,见图5(b),这与动物试验不符[3~5],而常数-抛物线模型,在这两类(8种)算例中均未出现上述现象(见图6)。这似乎是比较合理。
总之我们提出的两种死区控制模型,因有S,uc,β这三个系数可以调整,经过两类引起骨再造的8种算例实验和临床初步观测结果,定出了这些值的范围,对于长骨再造实际问题的仿真是能够满足要求的。可以用于各种植入物应力遮挡效应的评价、对比,以及植入物设计方案的对比分析,从而为植入物优化设计打下基础。
, 百拇医药
国家自然科学基金资助项目(39570199);吉林省科委基金资助项目(953513-1)
参考文献
[1] Huiskes R, et al. Adaptive bone-remodeling theory applied to prosthetic-design analysis. J. Bomechanics, 1987,20(11/12):1135~1150
[2] Weinans H, et al. The behavior of adaptive bone-remodeling simulation models. J. Biomechanics, 1992,25(12):1425~1441
[3] Cowin SC, et al. Functional adapzation on long bone: establishing in-vivo values for surfce remodeling rate coefficients. J. Biomechanics, 1985,18(9):665~684
, http://www.100md.com
[4] 朱兴华等.长骨的功能适应性研究.中国生物医学工程学报,1993,12(2):106~110
[5] 朱兴华等.长时间增加运动量对长骨表面再造的影响.中国生物医学工程学报,1994,13(2):181~183
[6] Rietbergen BV, et al. The mechanism of bone remodeling and resorption around press-fitted the stems. J. Biomechanics, 1993,26(4/5):369~382
[7] Cowin SC. The cellular mechanosensory mechanism for new bone formation. 1995,Proceedings of the Fourth China-Japan-USA-Singapore Confernce on Biomechanics, pp53~56
, 百拇医药
[8] Kiratli BJ, et al. Bone mineral density of the proximal femer after uncemented total hip arthroplasty. Tran 37 th ORC, Anaheim. CA.P.545
[9] 朱东等.青少年股骨骨折内固定后骨再造的试验研究.试验技术与试验机,1998,36(3/4)52~54
[10] 朱伟民等.骨折内固定后骨损失的在体试验研究.吉林工业大学学报,1999,29(1):91~93
[11] 朱兴华等.应变能密度作控制变量的骨干表面再造理论预测.中国生物医学工程学报,1999,18(4):426~431
收稿日期:1998-11-08
修稿日期:1999-06-07, 百拇医药