双波长法测定硫高铁血红蛋白
作者:顾华强 王仁仪 游全程 朱月武 秦景香
单位:610041 成都,华西医科大学附属职业病医院
关键词:硫高铁血红蛋白;双波长法
双波长法测定硫高铁血红蛋白
【摘要】 目的 探讨建立硫高铁血红蛋白的测定方法以评价不同高铁血红蛋白形成剂对急性硫化氢中毒的解毒作用。 方法 采用标准方法、定值参考物进行质量控制。用硫化氢气体饱和高铁血红蛋白生成硫高铁血红蛋白样品,扫描吸收曲线。氰化高铁血红蛋白与硫高铁血红蛋白在各自特征吸收峰540 nm、654 nm处的毫摩尔消光系数,求得硫高铁血红蛋白百分比浓度。 结果 质控变异百分率V≤0.4%,各消光系数变异系数CV≤3.0%,平均回收率97.5%±4.1%;重复实验CV≤1.5%,n=10;线性范围0.0%~80.0%,直线回归方程为Y=0.973X+0.158、r=0.999。 结论 该方法灵敏、准确且简便、快速,适用于临床和科学研究。
, 百拇医药
Double wavelength method for the determination of sulfmethemoglobin
Gu Huaqing,Wang Renyi,You Quancheng,et al.Affiliated Hospital of Occupational Diseases,West China University of Medical Sciences,Chengdu 610041
【Abstract】 Objective To establish a method for the determination of sulfmethemoglobin(SMHb) so as to evaluate the detoxication effects of methemogobin formation agent on hydrogen sulfide poisoning. Methods The levels of sulfmethemoglobin in blood were measured accurately utilizing standard methods and instrument.Sulfmethemoglobin specimens were prepared from methemlglobin solution saturated with pure hydrogen sulfide.After scanning the optical absorption spectra of HICN and SMHb,the extinction coefficients were obtained under their respective characteristic absorbance peak(540 nm and 654 nm).The concentration of sulfmethenoglobin was then calculated according to the equations deduced from the Bears law. Results Quality control variation rate was:V≤0.4%;all extinction coefficient:CV≤3.0%;average recovery rate:97.5%±4.1%;repetition experiments:CV≤1.5%(n=10);linear range 0%~80%;regerssion equation Y=0.973X+0.158,r=0.999. Conclusion The method appears to be a sensitive,accurate and simple technique suitable for clinical and scientific research.
, 百拇医药
【Key words】 Sulfmethemoglobin Double wavelength
抢救急性硫化氢(H2S)中毒需有效的高铁血红蛋白形成剂(M),使血红蛋白(Hb)生成高铁血红蛋白(MHb),MHb可使硫化细胞色素氧化酶活化,同时生成硫高铁血红蛋白(SMHb)而解毒[1,2]。准确测定SMHb是评价M疗效的客观指标,为此探讨建立本方法。
材料与方法
1.原理:血液中Hb除SMHb及少量硫血红蛋白(SHb)、碳氧血红蛋白(HbCO)外,均可被高铁氰化钾氧化为MHb,MHb再与氰根(CN-)生成稳定的氰化高铁血红蛋白(HiCN)[3]。在HiCN与SMHb的特征吸收峰(540 nm、654 nm)测定吸光度,代入根据比尔定律推导的方程求得SMHb百分浓度。
, 百拇医药
2.仪器:日本岛津-UV260分光光度计,其它半自动生化仪经检定合格均可。
3.试剂:肝素抗凝瓶为干净小瓶加入125U/ml肝素液0.1ml,50℃烘干备用;HiCN转化液:K3Fe(CN)6 200mg、KCN50 mg、KH2PO 140mg,溶于800ml蒸馏水,加tritonX-100 1.0ml,用蒸馏水稀释至1 000ml。
4.测定:(1)取静脉血1.0ml加入抗凝瓶中混匀,取抗凝血30μl加入HiCN转化液5ml混匀,静置5分钟。(2)用HiCN转化液调零,在540nm测定吸光度A540,在654nm测定吸光度A654。
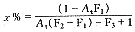
5.计算:SMHb百分浓度
×100%,式中;
F1=0.068;F2=0.714;F3=0.718。
, 百拇医药
6.饱和SMHb样品制备与SMHb吸收曲线特征[4]:(1)配制MHb转化液:从HiCN转化液配方除去KCN即得。(2)配制12 550 mg/L KCN溶液:1 255mg KCN加蒸馏水溶解稀释至100ml。(3)准备3份抗凝血,按测定方法测定,Hb含量分别为165、126、89g/L。(4)准备带橡胶盖的10ml干净小瓶15个,每瓶加MHb转化液5.0ml备用。H2S贮气瓶(压力0.8MPa)外接减压器,再接1m长乳胶管,一端扎紧。戴防毒罩,缓慢开气,用10ml注射器抽H2S气体10ml,用橡胶密封针头。取5个小瓶,向每瓶加入同一抗凝血30μl混匀,加盖,用胶布缠紧(此时形成MHb,其半减期仅数分钟)。立即用针头刺入小瓶,分别按每瓶1.0、1.5、2.0、2.5、3.0 ml加入H2S,混匀3分钟,静置5分钟(此时形成SMHb,半减期2小时)。去盖,每瓶加入12550mg/L的KCN液20μl混匀,静置10分钟(使剩余的MHb转化为HiCN)。(5)每瓶样品在光度仪上自380nm至700nm扫描吸收曲线。结果显示:每条曲线吸收峰位置相同,均为654、534、456、419nm。随加入H2S量的增加,654nm峰值逐渐增高而其余峰值下降,加入H2S超过2.5ml,A654不再增高,A540不再下降。(6)用步骤(3)的3份抗凝血重复上述实验得出相同结果。据此确定:按以上实验条件加入H2S 2.5ml可使血样中Hb全部转化为SMHb,此即为饱和SMHb样品,扫描得到SMHb吸收曲线。与HiCN吸收曲线比较,重叠吸收峰为534、456、419 nm,特征吸收峰为654nm(图1)。
, 百拇医药
波长(nm) Wavelength(nm)
图1 HiCN、SMHb吸收曲线
Fig 1 Optical absorption spectra of HiCN and SMHb
7.测定SMHb消光系数:(1)用2个批号定值参考物2份,按测定方法测定Hb含量。每份测10次,变异系数CV为0.4%、0.6%,实测均值与定值间变异百分率V为0.3%、0.4%。(2)选取10份抗凝血。每份制备3份HiCN样品、3份饱和SMHb样品。在540、654 nm及液层厚度1 cm比色,测得HiCN样品吸光度均值
H540、
H654及SMHb样品吸光度均值
S540、
S654。由
H540求得各份血样Hb含量:Hb g/L=
,式中:44.0为HiCN毫摩尔消光系数εH540,64458为Hb分子量,
把mmol/L换算为g/L,
为稀释倍数。根据比尔定律求得HiCN样品在654 nm的毫摩尔消光系数
。用抗凝血Hb含量表示SMHb含量,求得各SMHb样品在540 nm的毫摩尔消光系数
10807;654 nm的消光系数
×10807(表1)。(3)为了在备有546、630 nm滤光片的半自动生化仪上应用本方法,用以上样品在546、630 nm比色求得εH546、εH630、εS546、εS630各毫摩尔消光系数,见表2。 表1 HiCN、SMHb毫摩尔消光系数统计表
, 百拇医药
Table 1 Statistics of HiCN and SMHb mmol extinction coefficients
Hb(g/L)
AH540
AH654
εH654
AS540
εS540
AS654
εS654
, 百拇医药
1
165.0
0.671
0.045
2.95
0.484
31.7
0.480
31.4
2
159.0
0.647
0.043
, http://www.100md.com
2.92
0.447
30.4
0.453
30.8
3
151.0
0.615
0.042
2.93
0.444
31.8
0.436
, 百拇医药
31.2
4
134.0
0.546
0.039
3.06
0.405
32.7
0.396
31.9
5
123.0
0.501
, 百拇医药
0.033
2.90
0.364
32.0
0.361
31.7
6
110.0
0.448
0.031
3.04
0.337
33.1
, 百拇医药
0.330
32.4
7
104.0
0.423
0.028
2.91
0.302
31.4
0.301
31.3
8
98.2
, 百拇医药
0.400
0.027
2.97
0.274
30.2
0.278
30.6
9
91.6
0.373
0.026
3.06
0.267
, 百拇医药
31.5
0.266
31.4
10
89.6
0.365
0.023
2.77
0.256
30.9
0.255
30.8
ε
, http://www.100md.com
3.00
31.6
s
0.09
0.92
CV%
3.00
2.91
ε:毫摩尔消光系数均值 ε:Average value of mmol extinction coefficients 表2 HiCN、SMHb毫摩尔消光系数
Table 2 HiCN and SMHb mmol extintion coefficient
, http://www.100md.com
波长(nm)
Wavelength(nm)
εHiCN
εSMHB
540
44.00
31.6
546
43.80
29.9
630
4.70
27.4
, http://www.100md.com
654
3.00
31.4
εHiCN,εSMHb:HiCN和SMHb的毫摩尔消光系数
εHiCN,εSMHb:mmol extinction coefficients of HiCN and SMHb
8.推导方程[5]:设血样中Hb总浓度为C,SMHb分浓度为X,则HiCN分浓度为1-X。根据比尔定律A=ε C L,列出方程如下:
A540=[εH540(1-X)+εS540(X)C L…(1)
A654‘=[εH654(1-X)+εS654(X)C L…(2)
, 百拇医药
解联立方程式,得:
(3)
令
代入方程(3)
(4)
根据表2已知各F值,测得At即可从方程(4)求得SMHb百分浓度X%。
, http://www.100md.com
结 果
1.回收率实验:用同一抗凝血制备饱和SMHb样品与HiCN样品,按不同比例混合配成含SMHb 0.0%、5.0%、10.0%、30.0%、50.0%的比色液5份,每份测3次,计算平均回收率为98.1%。再用4份抗凝血重复测得总平均回收率为97.5%±4.1%。
2.精密度实验:将含10.0%、30.0%SMHb样品各重复测10次,CV分别为0.83%和1.50%。
3.线性实验:用同一抗凝血制备的HiCN样品与饱和SMHb样品按比例混合配成系列浓度。以SMHb浓度为X,实测值为Y,行回归分析,测定范围0.0%~80.0%,直线回归方程(^)/(Y)=0.973X+0.158,r=0.999。
4.应用:测定40例体检正常者,均未检出SMHb。
, 百拇医药
讨 论
1.制备不同浓度的SMHb样品及HiCN样品,在同一台仪器上扫描吸收曲线,两者特征吸收峰差别大且均呈突出的钝圆峰,可兼顾检测灵敏度与重现性。根据比尔定律用双波长法测定SMHb百分浓度是可行的。
2.本法定值参考物测定的变异小,测得HiCN浓度较为准确。据此测定各毫摩尔消光系数均有可接受的精密度(CV≤3.0%,n=10)。从计算方程可知:当各F值已定,如有少量Hb转化为SMHb,则AS654明显上升,At减小而X%上升。回收实验、精密度实验及线性实验表明本方法有较好的精确度与灵敏度。
3.需指出不同仪器即使经检定合格仍需验证F值有效性。如果要套用本法F值,则正常人样品在该仪器测得At应在14.0~16.0之间,若明显偏离,应参考本文实验方法第6、7步自行制备SMHb样品,测得适用于该仪器的F值[6]。
, http://www.100md.com
4.正常人血可含有0%~2%的SHb和HbCO,两者最大吸收峰不同(分别为620 nm和569 nm),HbCO对测SMHb干扰小可略去不计。正常人血不含SMHb,在抢救急性H2S中毒时选用不同的M及不同剂量就可形成不同浓度的SMHb。送检样品应在1小时内测定。本法简便、快速,适用于急性H2S中毒的临床与科学研究。
本文属全国卫生标准技术委员会职业病诊断标准分委会职业性急性硫化氢中毒诊断标准(修订)科研课题
参 考 文 献
[1] 倪为民.急性硫化氢中毒.中国工业医学杂志,1990,3(1):54-56.
[2] 孙晓红,于泽钦.四个高铁血红蛋白形成剂对狗氰化物中毒的对抗作用.中华预防医学会职业病专业委员会第十次学术交流会论文汇编.1996.30-33.
, 百拇医药
[3] 叶应妩,王敏三主编.全国临床检验操作规程.南京:东南大学出版社,1991.2.
[4] Zwatt A,Buursma A,van Kampen EJ,et al.A multi-wavelength spectrophotometric method for the simultaneous determination of five haemoglobin derivatives.J Clin Chem Bilchem,1981,19:457-463.
[5] Rodey FL,Hill TA,Pitts LL,et al.Spectrophotometric measurement of carboxyhemoglobin and methemogolbin in blood.Clin Chem,1979,25:1388-1393.
[6] Beutler E,West C.Simplified determination of carboxyhemoglobin.Chin Chem,1984,30:871-874.
(收稿:1997-12-09 修回:1998-07-01), http://www.100md.com
单位:610041 成都,华西医科大学附属职业病医院
关键词:硫高铁血红蛋白;双波长法
双波长法测定硫高铁血红蛋白
【摘要】 目的 探讨建立硫高铁血红蛋白的测定方法以评价不同高铁血红蛋白形成剂对急性硫化氢中毒的解毒作用。 方法 采用标准方法、定值参考物进行质量控制。用硫化氢气体饱和高铁血红蛋白生成硫高铁血红蛋白样品,扫描吸收曲线。氰化高铁血红蛋白与硫高铁血红蛋白在各自特征吸收峰540 nm、654 nm处的毫摩尔消光系数,求得硫高铁血红蛋白百分比浓度。 结果 质控变异百分率V≤0.4%,各消光系数变异系数CV≤3.0%,平均回收率97.5%±4.1%;重复实验CV≤1.5%,n=10;线性范围0.0%~80.0%,直线回归方程为Y=0.973X+0.158、r=0.999。 结论 该方法灵敏、准确且简便、快速,适用于临床和科学研究。
, 百拇医药
Double wavelength method for the determination of sulfmethemoglobin
Gu Huaqing,Wang Renyi,You Quancheng,et al.Affiliated Hospital of Occupational Diseases,West China University of Medical Sciences,Chengdu 610041
【Abstract】 Objective To establish a method for the determination of sulfmethemoglobin(SMHb) so as to evaluate the detoxication effects of methemogobin formation agent on hydrogen sulfide poisoning. Methods The levels of sulfmethemoglobin in blood were measured accurately utilizing standard methods and instrument.Sulfmethemoglobin specimens were prepared from methemlglobin solution saturated with pure hydrogen sulfide.After scanning the optical absorption spectra of HICN and SMHb,the extinction coefficients were obtained under their respective characteristic absorbance peak(540 nm and 654 nm).The concentration of sulfmethenoglobin was then calculated according to the equations deduced from the Bears law. Results Quality control variation rate was:V≤0.4%;all extinction coefficient:CV≤3.0%;average recovery rate:97.5%±4.1%;repetition experiments:CV≤1.5%(n=10);linear range 0%~80%;regerssion equation Y=0.973X+0.158,r=0.999. Conclusion The method appears to be a sensitive,accurate and simple technique suitable for clinical and scientific research.
, 百拇医药
【Key words】 Sulfmethemoglobin Double wavelength
抢救急性硫化氢(H2S)中毒需有效的高铁血红蛋白形成剂(M),使血红蛋白(Hb)生成高铁血红蛋白(MHb),MHb可使硫化细胞色素氧化酶活化,同时生成硫高铁血红蛋白(SMHb)而解毒[1,2]。准确测定SMHb是评价M疗效的客观指标,为此探讨建立本方法。
材料与方法
1.原理:血液中Hb除SMHb及少量硫血红蛋白(SHb)、碳氧血红蛋白(HbCO)外,均可被高铁氰化钾氧化为MHb,MHb再与氰根(CN-)生成稳定的氰化高铁血红蛋白(HiCN)[3]。在HiCN与SMHb的特征吸收峰(540 nm、654 nm)测定吸光度,代入根据比尔定律推导的方程求得SMHb百分浓度。
, 百拇医药
2.仪器:日本岛津-UV260分光光度计,其它半自动生化仪经检定合格均可。
3.试剂:肝素抗凝瓶为干净小瓶加入125U/ml肝素液0.1ml,50℃烘干备用;HiCN转化液:K3Fe(CN)6 200mg、KCN50 mg、KH2PO 140mg,溶于800ml蒸馏水,加tritonX-100 1.0ml,用蒸馏水稀释至1 000ml。
4.测定:(1)取静脉血1.0ml加入抗凝瓶中混匀,取抗凝血30μl加入HiCN转化液5ml混匀,静置5分钟。(2)用HiCN转化液调零,在540nm测定吸光度A540,在654nm测定吸光度A654。
5.计算:SMHb百分浓度
, 百拇医药
6.饱和SMHb样品制备与SMHb吸收曲线特征[4]:(1)配制MHb转化液:从HiCN转化液配方除去KCN即得。(2)配制12 550 mg/L KCN溶液:1 255mg KCN加蒸馏水溶解稀释至100ml。(3)准备3份抗凝血,按测定方法测定,Hb含量分别为165、126、89g/L。(4)准备带橡胶盖的10ml干净小瓶15个,每瓶加MHb转化液5.0ml备用。H2S贮气瓶(压力0.8MPa)外接减压器,再接1m长乳胶管,一端扎紧。戴防毒罩,缓慢开气,用10ml注射器抽H2S气体10ml,用橡胶密封针头。取5个小瓶,向每瓶加入同一抗凝血30μl混匀,加盖,用胶布缠紧(此时形成MHb,其半减期仅数分钟)。立即用针头刺入小瓶,分别按每瓶1.0、1.5、2.0、2.5、3.0 ml加入H2S,混匀3分钟,静置5分钟(此时形成SMHb,半减期2小时)。去盖,每瓶加入12550mg/L的KCN液20μl混匀,静置10分钟(使剩余的MHb转化为HiCN)。(5)每瓶样品在光度仪上自380nm至700nm扫描吸收曲线。结果显示:每条曲线吸收峰位置相同,均为654、534、456、419nm。随加入H2S量的增加,654nm峰值逐渐增高而其余峰值下降,加入H2S超过2.5ml,A654不再增高,A540不再下降。(6)用步骤(3)的3份抗凝血重复上述实验得出相同结果。据此确定:按以上实验条件加入H2S 2.5ml可使血样中Hb全部转化为SMHb,此即为饱和SMHb样品,扫描得到SMHb吸收曲线。与HiCN吸收曲线比较,重叠吸收峰为534、456、419 nm,特征吸收峰为654nm(图1)。
, 百拇医药
波长(nm) Wavelength(nm)
图1 HiCN、SMHb吸收曲线
Fig 1 Optical absorption spectra of HiCN and SMHb
7.测定SMHb消光系数:(1)用2个批号定值参考物2份,按测定方法测定Hb含量。每份测10次,变异系数CV为0.4%、0.6%,实测均值与定值间变异百分率V为0.3%、0.4%。(2)选取10份抗凝血。每份制备3份HiCN样品、3份饱和SMHb样品。在540、654 nm及液层厚度1 cm比色,测得HiCN样品吸光度均值
, 百拇医药
Table 1 Statistics of HiCN and SMHb mmol extinction coefficients
Hb(g/L)
AH540
AH654
εH654
AS540
εS540
AS654
εS654
, 百拇医药
1
165.0
0.671
0.045
2.95
0.484
31.7
0.480
31.4
2
159.0
0.647
0.043
, http://www.100md.com
2.92
0.447
30.4
0.453
30.8
3
151.0
0.615
0.042
2.93
0.444
31.8
0.436
, 百拇医药
31.2
4
134.0
0.546
0.039
3.06
0.405
32.7
0.396
31.9
5
123.0
0.501
, 百拇医药
0.033
2.90
0.364
32.0
0.361
31.7
6
110.0
0.448
0.031
3.04
0.337
33.1
, 百拇医药
0.330
32.4
7
104.0
0.423
0.028
2.91
0.302
31.4
0.301
31.3
8
98.2
, 百拇医药
0.400
0.027
2.97
0.274
30.2
0.278
30.6
9
91.6
0.373
0.026
3.06
0.267
, 百拇医药
31.5
0.266
31.4
10
89.6
0.365
0.023
2.77
0.256
30.9
0.255
30.8
ε
, http://www.100md.com
3.00
31.6
s
0.09
0.92
CV%
3.00
2.91
ε:毫摩尔消光系数均值 ε:Average value of mmol extinction coefficients 表2 HiCN、SMHb毫摩尔消光系数
Table 2 HiCN and SMHb mmol extintion coefficient
, http://www.100md.com
波长(nm)
Wavelength(nm)
εHiCN
εSMHB
540
44.00
31.6
546
43.80
29.9
630
4.70
27.4
, http://www.100md.com
654
3.00
31.4
εHiCN,εSMHb:HiCN和SMHb的毫摩尔消光系数
εHiCN,εSMHb:mmol extinction coefficients of HiCN and SMHb
8.推导方程[5]:设血样中Hb总浓度为C,SMHb分浓度为X,则HiCN分浓度为1-X。根据比尔定律A=ε C L,列出方程如下:
A540=[εH540(1-X)+εS540(X)C L…(1)
A654‘=[εH654(1-X)+εS654(X)C L…(2)
, 百拇医药
解联立方程式,得:
(3)
令
(4)
根据表2已知各F值,测得At即可从方程(4)求得SMHb百分浓度X%。
, http://www.100md.com
结 果
1.回收率实验:用同一抗凝血制备饱和SMHb样品与HiCN样品,按不同比例混合配成含SMHb 0.0%、5.0%、10.0%、30.0%、50.0%的比色液5份,每份测3次,计算平均回收率为98.1%。再用4份抗凝血重复测得总平均回收率为97.5%±4.1%。
2.精密度实验:将含10.0%、30.0%SMHb样品各重复测10次,CV分别为0.83%和1.50%。
3.线性实验:用同一抗凝血制备的HiCN样品与饱和SMHb样品按比例混合配成系列浓度。以SMHb浓度为X,实测值为Y,行回归分析,测定范围0.0%~80.0%,直线回归方程(^)/(Y)=0.973X+0.158,r=0.999。
4.应用:测定40例体检正常者,均未检出SMHb。
, 百拇医药
讨 论
1.制备不同浓度的SMHb样品及HiCN样品,在同一台仪器上扫描吸收曲线,两者特征吸收峰差别大且均呈突出的钝圆峰,可兼顾检测灵敏度与重现性。根据比尔定律用双波长法测定SMHb百分浓度是可行的。
2.本法定值参考物测定的变异小,测得HiCN浓度较为准确。据此测定各毫摩尔消光系数均有可接受的精密度(CV≤3.0%,n=10)。从计算方程可知:当各F值已定,如有少量Hb转化为SMHb,则AS654明显上升,At减小而X%上升。回收实验、精密度实验及线性实验表明本方法有较好的精确度与灵敏度。
3.需指出不同仪器即使经检定合格仍需验证F值有效性。如果要套用本法F值,则正常人样品在该仪器测得At应在14.0~16.0之间,若明显偏离,应参考本文实验方法第6、7步自行制备SMHb样品,测得适用于该仪器的F值[6]。
, http://www.100md.com
4.正常人血可含有0%~2%的SHb和HbCO,两者最大吸收峰不同(分别为620 nm和569 nm),HbCO对测SMHb干扰小可略去不计。正常人血不含SMHb,在抢救急性H2S中毒时选用不同的M及不同剂量就可形成不同浓度的SMHb。送检样品应在1小时内测定。本法简便、快速,适用于急性H2S中毒的临床与科学研究。
本文属全国卫生标准技术委员会职业病诊断标准分委会职业性急性硫化氢中毒诊断标准(修订)科研课题
参 考 文 献
[1] 倪为民.急性硫化氢中毒.中国工业医学杂志,1990,3(1):54-56.
[2] 孙晓红,于泽钦.四个高铁血红蛋白形成剂对狗氰化物中毒的对抗作用.中华预防医学会职业病专业委员会第十次学术交流会论文汇编.1996.30-33.
, 百拇医药
[3] 叶应妩,王敏三主编.全国临床检验操作规程.南京:东南大学出版社,1991.2.
[4] Zwatt A,Buursma A,van Kampen EJ,et al.A multi-wavelength spectrophotometric method for the simultaneous determination of five haemoglobin derivatives.J Clin Chem Bilchem,1981,19:457-463.
[5] Rodey FL,Hill TA,Pitts LL,et al.Spectrophotometric measurement of carboxyhemoglobin and methemogolbin in blood.Clin Chem,1979,25:1388-1393.
[6] Beutler E,West C.Simplified determination of carboxyhemoglobin.Chin Chem,1984,30:871-874.
(收稿:1997-12-09 修回:1998-07-01), http://www.100md.com