Hollander极端反应检验
作者:程琮 谷秀芳 程玮
单位:程琮 谷秀芳 泰山医学院(271000); 程玮 山东财政学院计算机应用教研室(250014)
关键词:
中国卫生统计990317 Hollander极端反应检验由Hollander在1963年提出,用来处理在两样本比较时,试验组出现极端反应的数据。研究人员在对试验组和对照组进行研究时发现,试验组在接受处理因素后出现的反应有时并不是倾向于一个方向的,而是倾向于出现向两个相反方向反应,称为极端反应。如一种药物可使某些观察对象出现抑制,而使另一些观察对象出现兴奋。检验极端反应,必须设置对照组并指定为X样本。应用条件包括:两个随机样本相互独立,总体分布连续,且X和Y两样本分别为X1,X2,…,Xn1和Y1,Y2,…,Yn2。检验方法和步骤如下。
, http://www.100md.com
(1)检验假设 H0:两样本来自两个相同总体;H1:一个总体的观察值在两个方向上产生极端反应。
(2)编排秩次 将两样本分别由小到大排列,然后统一编排秩次。
(3)计算对照组即X样本的平均秩次
和检验统计量G,计算公式为:
(1)
式中ri是第i位最大X值的秩次,
是X样本中n1个X值的平均秩次。
, 百拇医药
如果试验组的效应倾向于两方向极端反应,则对照组的反应相对集中,G值就相对较小。
(4)判断原则 根据n1,N=n1+n2和α查阅“Hollander极端反应检验近似界值Cα表”,得界值Cα值。如果计算的G值小于或等于表中相应的Cα值,则P≤α,在α水平上拒绝H0,接受H1,可认为试验组出现了两方向极端反应。如果计算的G值大于相应的界值Cα值,则P>α,接受H0,认为试验组并未产生两方向极端反应。
应用实例
例 研究人员进行一项试验来评价某种抗抑郁药的效果。将19名轻度抑郁症患者随机分为两组。一组接受试验药物,另一组接受安慰剂。研究人员猜测,药物可能对某些病人有抗抑郁作用,对另一些病人则产生抑郁作用。两组病人在服用药物和安慰剂以后,检测他们的抑郁水平,测量数据见表1。这些数据能否证实药物会产生极端反应?
, 百拇医药
表1 两组病人的抑郁水平 安慰剂组
(X)
83
80
73
86
82
79
70
81
76
用药组(Y)
85
, 百拇医药
96
97
58
84
67
72
74
75
54
检验方法及步骤如下:
(1)检验假设 H0:两样本来自相同总体,即用药组不产生极端反应;H1:用药组产生极端反应。α=0.05。
(2)编排秩次并计算检验统计量 本例X样本的n1=9,Y样本的n2=10,N=19。将两样本数据分别由小到大排序并将两样本统一编排秩次,求X样本的平均秩次
及其秩次的离均差平方和Σ(ri-
)2即检验统计量G,结果见表2。其中
=10.67。表2 两样本的秩次及Σ(ri-
)2计算结果 X组
, http://www.100md.com
(1)
秩次ri
(2)
Y组
(3)
秩次
(4)
(ri-
)2
(5)
70
4
, http://www.100md.com
54
1
44.49
73
6
58
2
21.81
76
9
67
3
2.79
79
, 百拇医药
10
72
5
0.4489
80
11
74
7
0.1089
81
12
75
8
1.77
, 百拇医药
82
13
84
15
5.43
83
14
85
16
11.09
86
17
96
18
, 百拇医药
40.07
97
19
Σri=96
Σ(ri-
)2=128.0
统计量G=128.0
(3)判断 根据n1=9,N=19,和α=0.05,查阅“Hollander极端反应检验近似界值Cα表”,得C0.05=148.90。G0.05,则P<0.05,在α=0.05水平上,拒绝H0,接受H1。结论:实验数据提供的证据显示,用药组病人可以产生极端反应。
, 百拇医药
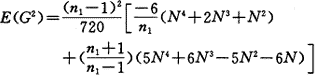
大样本近似法 当样本含量n1及N超出Hollander极端反应检验近似界值Cα表的范围时,G近似正态分布,其总体均数μG和方差为
,可利用大样本近似法,应用下列公式计算u值,并按照标准正态分布,取适当的u值,如双侧u0.05=1.96作出判断。计算公式如下:
(2)
(3)
(4)
, http://www.100md.com
(5)
以前面的资料作为计算实例来说明该检验的大样本近似法的计算过程及方法。尽管n1和N在Hollander检验用表的范围之内,但已接近该表的最大范围,故用来说明之。本例n1=9,N=19。
根据公式(2)~(5),计算得:u=1.97
取双侧u0.05=1.96,本例计算的u值为1.97,大于界值1.96,则P<0.05。在α=0.05水平上,拒绝H0,接受H1。结论:可以认为用药组病人会产生极端反应。
讨 论
极端反应在医学及心理学中是比较特殊的实验效应。应用极端反应检验时,显著性水平应取双侧α。当P≤α时,则拒绝H0,接受H1,其意义是指实验效应具有向两个相反方向出现极端反应的特征。如果实验效应只倾向于一个方向的,则不能使用该检验法,可使用一般的检验位置参数的方法。
, 百拇医药
参考文献
1.Daniel WW.Applied Nonparametric Statistics.Second Edition.PWS-KENT Publishing Company,1990:116~120.
2.Hollander M.A Nonparametric Test for the Two-Sample Problem.Psychometrika.1963,28:395~403.
3.Moses LE.A Two-Sample Test.Psychometrika.1952:17.239~247.
4.Arnold JC,Briley TS.A Distribution-Free Test for Exrtreme Reactions.Educ Psychol Measurement.1973,33:301~309.
, 百拇医药
附录 Hollander极端反应检验近似界值Cα表(上行界值:α=0.05;下行界值:α=0.01) N
n1
4
5
6
7
8
9
10
11
12
8
, 百拇医药
5.00
5.00
-
-
9
5.00
10.00
17.50
-
-
-
10
5.00
, http://www.100md.com 14.80
23.33
28.00
42.00
5.00
10.00
17.50
28.00
-
11
8.75
14.80
26.83
, http://www.100md.com
39.43
49.88
60.00
5.00
10.00
17.50
28.00
42.00
-
12
8.75
20.00
29.50
, 百拇医药
42.00
58.00
68.89
82.50
5.00
10.00
17.50
28.00
42.00
60.00
-
13
10.00
, 百拇医药
21.20
34.00
49.42
63.88
80.00
100.10
110.00
5.00
10.00
23.33
34.86
49.88
68.89
, http://www.100md.com
82.50
-
14
13.00
23.20
38.83
54.86
73.50
90.22
110.00
132.00
154.90
5.00
, 百拇医药
14.80
23.33
39.43
55.50
75.66
92.40
110.00
-
15
14.00
26.80
42.83
61.43
, 百拇医药
79.50
101.60
122.10
144.90
168.70
5.00
14.80
28.00
42.00
59.50
79.56
102.50
120.90
, 百拇医药
143.00
16
14.00
29.20
47.50
67.71
89.88
112.20
135.60
161.60
187.00
5.00
17.20
, 百拇医药
30.83
47.71
67.88
88.89
110.40
136.20
164.70
17
17.00
33.20
53.33
74.86
98.88
, 百拇医药
124.00
150.00
176.90
205.70
8.75
17.20
34.00
52.00
73.88
96.00
120.90
148.20
177.70
, 百拇医药
18
18.75
36.80
58.00
82.86
108.00
135.60
164.40
194.20
224.90
8.75
20.00
37.33
, 百拇医药
56.00
79.50
104.00
131.60
161.60
190.90
19
20.00
40.00
64.00
90.86
118.90
148.90
, 百拇医药
180.10
212.60
246.00
8.75
21.20
39.33
60.86
85.50
112.89
142.10
174.00
206.30
20
, http://www.100md.com
21.00
44.80
70.00
98.86
129.90
162.20
196.40
231.60
267.70
8.75
23.20
42.00
66.86
91.88
122.20
153.60
188.00
222.90, 百拇医药
单位:程琮 谷秀芳 泰山医学院(271000); 程玮 山东财政学院计算机应用教研室(250014)
关键词:
中国卫生统计990317 Hollander极端反应检验由Hollander在1963年提出,用来处理在两样本比较时,试验组出现极端反应的数据。研究人员在对试验组和对照组进行研究时发现,试验组在接受处理因素后出现的反应有时并不是倾向于一个方向的,而是倾向于出现向两个相反方向反应,称为极端反应。如一种药物可使某些观察对象出现抑制,而使另一些观察对象出现兴奋。检验极端反应,必须设置对照组并指定为X样本。应用条件包括:两个随机样本相互独立,总体分布连续,且X和Y两样本分别为X1,X2,…,Xn1和Y1,Y2,…,Yn2。检验方法和步骤如下。
, http://www.100md.com
(1)检验假设 H0:两样本来自两个相同总体;H1:一个总体的观察值在两个方向上产生极端反应。
(2)编排秩次 将两样本分别由小到大排列,然后统一编排秩次。
(3)计算对照组即X样本的平均秩次
(1)
式中ri是第i位最大X值的秩次,
, 百拇医药
如果试验组的效应倾向于两方向极端反应,则对照组的反应相对集中,G值就相对较小。
(4)判断原则 根据n1,N=n1+n2和α查阅“Hollander极端反应检验近似界值Cα表”,得界值Cα值。如果计算的G值小于或等于表中相应的Cα值,则P≤α,在α水平上拒绝H0,接受H1,可认为试验组出现了两方向极端反应。如果计算的G值大于相应的界值Cα值,则P>α,接受H0,认为试验组并未产生两方向极端反应。
应用实例
例 研究人员进行一项试验来评价某种抗抑郁药的效果。将19名轻度抑郁症患者随机分为两组。一组接受试验药物,另一组接受安慰剂。研究人员猜测,药物可能对某些病人有抗抑郁作用,对另一些病人则产生抑郁作用。两组病人在服用药物和安慰剂以后,检测他们的抑郁水平,测量数据见表1。这些数据能否证实药物会产生极端反应?
, 百拇医药
表1 两组病人的抑郁水平 安慰剂组
(X)
83
80
73
86
82
79
70
81
76
用药组(Y)
85
, 百拇医药
96
97
58
84
67
72
74
75
54
检验方法及步骤如下:
(1)检验假设 H0:两样本来自相同总体,即用药组不产生极端反应;H1:用药组产生极端反应。α=0.05。
(2)编排秩次并计算检验统计量 本例X样本的n1=9,Y样本的n2=10,N=19。将两样本数据分别由小到大排序并将两样本统一编排秩次,求X样本的平均秩次
, http://www.100md.com
(1)
秩次ri
(2)
Y组
(3)
秩次
(4)
(ri-
(5)
70
4
, http://www.100md.com
54
1
44.49
73
6
58
2
21.81
76
9
67
3
2.79
79
, 百拇医药
10
72
5
0.4489
80
11
74
7
0.1089
81
12
75
8
1.77
, 百拇医药
82
13
84
15
5.43
83
14
85
16
11.09
86
17
96
18
, 百拇医药
40.07
97
19
Σri=96
Σ(ri-
统计量G=128.0
(3)判断 根据n1=9,N=19,和α=0.05,查阅“Hollander极端反应检验近似界值Cα表”,得C0.05=148.90。G
, 百拇医药
大样本近似法 当样本含量n1及N超出Hollander极端反应检验近似界值Cα表的范围时,G近似正态分布,其总体均数μG和方差为
(2)
(3)
(4)
, http://www.100md.com
(5)
以前面的资料作为计算实例来说明该检验的大样本近似法的计算过程及方法。尽管n1和N在Hollander检验用表的范围之内,但已接近该表的最大范围,故用来说明之。本例n1=9,N=19。
根据公式(2)~(5),计算得:u=1.97
取双侧u0.05=1.96,本例计算的u值为1.97,大于界值1.96,则P<0.05。在α=0.05水平上,拒绝H0,接受H1。结论:可以认为用药组病人会产生极端反应。
讨 论
极端反应在医学及心理学中是比较特殊的实验效应。应用极端反应检验时,显著性水平应取双侧α。当P≤α时,则拒绝H0,接受H1,其意义是指实验效应具有向两个相反方向出现极端反应的特征。如果实验效应只倾向于一个方向的,则不能使用该检验法,可使用一般的检验位置参数的方法。
, 百拇医药
参考文献
1.Daniel WW.Applied Nonparametric Statistics.Second Edition.PWS-KENT Publishing Company,1990:116~120.
2.Hollander M.A Nonparametric Test for the Two-Sample Problem.Psychometrika.1963,28:395~403.
3.Moses LE.A Two-Sample Test.Psychometrika.1952:17.239~247.
4.Arnold JC,Briley TS.A Distribution-Free Test for Exrtreme Reactions.Educ Psychol Measurement.1973,33:301~309.
, 百拇医药
附录 Hollander极端反应检验近似界值Cα表(上行界值:α=0.05;下行界值:α=0.01) N
n1
4
5
6
7
8
9
10
11
12
8
, 百拇医药
5.00
5.00
-
-
9
5.00
10.00
17.50
-
-
-
10
5.00
, http://www.100md.com 14.80
23.33
28.00
42.00
5.00
10.00
17.50
28.00
-
11
8.75
14.80
26.83
, http://www.100md.com
39.43
49.88
60.00
5.00
10.00
17.50
28.00
42.00
-
12
8.75
20.00
29.50
, 百拇医药
42.00
58.00
68.89
82.50
5.00
10.00
17.50
28.00
42.00
60.00
-
13
10.00
, 百拇医药
21.20
34.00
49.42
63.88
80.00
100.10
110.00
5.00
10.00
23.33
34.86
49.88
68.89
, http://www.100md.com
82.50
-
14
13.00
23.20
38.83
54.86
73.50
90.22
110.00
132.00
154.90
5.00
, 百拇医药
14.80
23.33
39.43
55.50
75.66
92.40
110.00
-
15
14.00
26.80
42.83
61.43
, 百拇医药
79.50
101.60
122.10
144.90
168.70
5.00
14.80
28.00
42.00
59.50
79.56
102.50
120.90
, 百拇医药
143.00
16
14.00
29.20
47.50
67.71
89.88
112.20
135.60
161.60
187.00
5.00
17.20
, 百拇医药
30.83
47.71
67.88
88.89
110.40
136.20
164.70
17
17.00
33.20
53.33
74.86
98.88
, 百拇医药
124.00
150.00
176.90
205.70
8.75
17.20
34.00
52.00
73.88
96.00
120.90
148.20
177.70
, 百拇医药
18
18.75
36.80
58.00
82.86
108.00
135.60
164.40
194.20
224.90
8.75
20.00
37.33
, 百拇医药
56.00
79.50
104.00
131.60
161.60
190.90
19
20.00
40.00
64.00
90.86
118.90
148.90
, 百拇医药
180.10
212.60
246.00
8.75
21.20
39.33
60.86
85.50
112.89
142.10
174.00
206.30
20
, http://www.100md.com
21.00
44.80
70.00
98.86
129.90
162.20
196.40
231.60
267.70
8.75
23.20
42.00
66.86
91.88
122.20
153.60
188.00
222.90, 百拇医药